Citation: Xiaosong PU, Hangkai WU, Taohong LI, Huijuan LI, Shouqing LIU, Yuanbo HUANG, Xuemei LI. Adsorption performance and removal mechanism of Cd(Ⅱ) in water by magnesium modified carbon foam[J]. Chinese Journal of Inorganic Chemistry, ;2024, 40(8): 1537-1548. doi: 10.11862/CJIC.20240030 shu

Adsorption performance and removal mechanism of Cd(Ⅱ) in water by magnesium modified carbon foam

Figures(12)

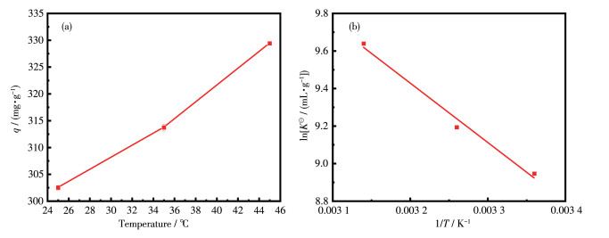
  • This study displayed a preparation method of efficient and environmentally friendly adsorbent for the removal of Cd(Ⅱ) from water. By directly mixing the modifier Mg(NO3)2 with the precursor resin derived from enzymatic hydrolysis lignin liquefied product resin (LP resin), followed by microwave-foaming and carbonization, a magnesium-modified carbon foam (Mg/CF) was successfully fabricated. The surface functional groups and phase composition of Mg/CF composite adsorbent material were analyzed using an infrared spectrum, X-ray polycrystalline diffractometer, X-ray photoelectron spectroscopy, and other characterization methods. The results revealed that the loaded MgO was evenly distributed on the cell wall of carbon foam in the form of nanoparticles after carbonization. The presence of MgO had a negligible effect on the specific surface area of carbon foam but increased the micropore volume instead. Furthermore, to evaluate the Cd(Ⅱ) removal ability of Mg/CF composite in water, batch adsorption experiments were carried out. The findings indicated that this adsorbent exhibited excellent removal ability for Cd(Ⅱ) in water, with a theoretical maximum adsorption capacity of 308.51 mg·g-1, which was approximately 2.0 times as neat as MgO adsorbent. Further, the equilibrium time (12 h) of this adsorbent was significantly shorter than that of MgO (24 h). Meanwhile, the thermodynamic analysis showed that the Cd(Ⅱ) removal was a spontaneous, endothermic, and entropy-increasing process. The removal behavior of Mg/CF for Cd(Ⅱ) satisfied the pseudo-second-order kinetic equation and Langmuir adsorption isotherm model. It was proposed that the Cd(Ⅱ) removal by Mg/CF composite adsorbent could be mainly attributed to ion exchange and chemical precipitation, accompanied by physisorption.
  • 加载中
    1. [1]

      Cao C Y, Qu J, Wei F, Liu H, Song W G. Superb adsorption capacity and mechanism of flowerlike magnesium oxide nanostructures for lead and cadmium ions[J]. ACS Appl. Mater. Interfaces, 2012,4(8):4283-4287. doi: 10.1021/am300972z

    2. [2]

      Pinto M D C E, Silva D D D, Gomes A L A, Santos R M M D, Couto R A A D, Novais R F D, Constantino V R L, Tronto J, Pinto F G. Biochar from carrot residues chemically modified with magnesium for removing phosphorus from aqueous solution[J]. J. Clean. Prod., 2019,222:36-46. doi: 10.1016/j.jclepro.2019.03.012

    3. [3]

      Liu W J, Jiang H, Tian K, Ding Y W, Yu H Q. Mesoporous carbon stabilized MgO nanoparticles synthesized by pyrolysis of MgCl2 preloaded waste biomass for highly efficient CO2 capture[J]. Environ. Sci. Technol., 2013,47(16):9397-9403. doi: 10.1021/es401286p

    4. [4]

      Cheng N, Wang B, Wu P, Lee X Q, Xing Y, Chen M, Gao B. Adsorption of emerging contaminants from water and wastewater by modified biochar: A review[J]. Environ. Pollut., 2021,273116448. doi: 10.1016/j.envpol.2021.116448

    5. [5]

      Liu J W, Jiang J G, Meng Y, Aihemaiti A, Xu Y W, Xiang H L, Gao Y C, Chen X J. Preparation, environmental application and prospect of biochar-supported metal nanoparticles: A review[J]. J. Hazard. Mater., 2020,388122026. doi: 10.1016/j.jhazmat.2020.122026

    6. [6]

      Li A Y, Deng H, Jiang Y H, Ye C H, Yu B G, Zhou X L, Ma A Y. Superefficient removal of heavy metals from wastewater by Mg-loaded biochars: Adsorption characteristics and removal mechanisms[J]. Langmuir, 2020,36(31):9160-9174. doi: 10.1021/acs.langmuir.0c01454

    7. [7]

      Shojaei M, Esmaeili H. Ultrasonic-assisted synthesis of zeolite/activated carbon@MnO2 composite as a novel adsorbent for treatment of wastewater containing methylene blue and brilliant blue[J]. Environ. Monit. Assess., 2022,194(4)279. doi: 10.1007/s10661-022-09930-9

    8. [8]

      Borthakur P, Aryafard M, Zara Z, David Ř, Minofar B, Das M R, Vithanage M. Computational and experimental assessment of pH and specific ions on the solute solvent interactions of clay-biochar composites towards tetracycline adsorption: Implications on wastewater treatment[J]. J. Environ. Manage., 2021,283111989. doi: 10.1016/j.jenvman.2021.111989

    9. [9]

      Zhang X F, Ou Z, Xiang J X. Fabrication of magnetic activated carbon from waste macroporous resin via Fenton's reagent impregnation[J]. J. Porous Mater., 2021,28(1):165-170. doi: 10.1007/s10934-020-00980-3

    10. [10]

      Zhao H X, Zhang S, Zhang T Y, Zhu Y P, Pan R J, Xu M Y, Zheng Z X, Hu C Y, Tang Y L, Xu B. Comparison of four pre-oxidants coupled powdered activated carbon adsorption for odor compounds and algae removal: Kinetics, process optimization, and formation of disinfection byproducts[J]. Sci. Total Environ., 2024,912168920. doi: 10.1016/j.scitotenv.2023.168920

    11. [11]

      Zhang X L, Lin L W, Gao W, Zhou Y H, Lin Q L. A novel Fe-containing carbon foam with hierarchical porous structure for efficient removal of organic dyes[J]. Diam. Relat. Mater., 2023,140110492. doi: 10.1016/j.diamond.2023.110492

    12. [12]

      Raiskaya E A, Belskaya O B, Krivonos O I, Trenikhin M V, Babenko A V, Likholobov V A. Synthesis and properties of cellular carbon foam obtained from the pyrolysis products of a propane/butane fuel mix[J]. J. Anal. Appl. Pyrolysis, 2023,175106189. doi: 10.1016/j.jaap.2023.106189

    13. [13]

      Liu R J, Wan Q Y, Yu Y H, Zhang X, Liu L C, Wang H, Yue C T. Polyacrylate/phytic acid hydrogel derived phosphate-rich macroporous carbon foam for high-efficiency uranium adsorption[J]. J. Water Process Eng., 2023,53103659. doi: 10.1016/j.jwpe.2023.103659

    14. [14]

      Yargic A S, Meric G G, Yarbay R Z, Ozbay N. Investigation of CO2 sequestration performance and statistical analysis of dye removal efficiency of liquefied hornbeam based carbon foams: Effects of biomass/solvent weight ratio, tar contribution, and chemical activation[J]. Mater. Today Sustain., 2023,24100517. doi: 10.1016/j.mtsust.2023.100517

    15. [15]

      Li X M, Liu S Q, Huang Y B, Zheng Y W, Harper D P, Zheng Z F. Preparation and foaming mechanism of pyrocarbon foams controlled by activated carbon as the transplantation core[J]. ACS Sustain. Chem. Eng., 2018,6(3):3515-3524. doi: 10.1021/acssuschemeng.7b03826

    16. [16]

      Pawar R R, Gupta P, Lalhmunsiama , Bajaj H C, Lee S M. Al‑ intercalated acid activated bentonite beads for the removal of aqueous phosphate[J]. Sci. Total Environ., 2016,572:1222-1230. doi: 10.1016/j.scitotenv.2016.08.040

    17. [17]

      Banerjee C, Chandaliya V K, Dash P S, Meikap B C. Effect of different parameters on porosity and compressive strength of coal tar pitch derived carbon foam[J]. Diam. Relat. Mater., 2019,95:83-90. doi: 10.1016/j.diamond.2019.04.009

    18. [18]

      Wang Y, Wang L, Li Z T, Yang D, Xu J M, Liu X M. MgO-laden biochar enhances the immobilization of Cd/Pb in aqueous solution and contaminated soil[J]. Biochar, 2021,3(2):175-188. doi: 10.1007/s42773-020-00080-0

    19. [19]

      Xiang J X, Lin Q T, Cheng S L, Guo J L, Yao X S, Liu Q J, Yin G C, Liu D F. Enhanced adsorption of Cd(Ⅱ) from aqueous solution by a magnesium oxide-rice husk biochar composite[J]. Environ. Sci. Pollut. Res., 2018,25(14):14032-14042. doi: 10.1007/s11356-018-1594-1

    20. [20]

      Mei Y Y, Yang Q, Yang H P, Lin G Y, Li J S, Chen Y Q, Zhang S H, Chen H P. Low temperature deoxidization of biomass and its release characteristics of gas products[J]. Ind. Crops Prod., 2018,123:142-153. doi: 10.1016/j.indcrop.2018.06.063

    21. [21]

      Shi Q L, Zhang H, Shahab A, Zeng H H, Zeng H T, Bacha A U R, Nabi I, Siddique J, Ullah H. Efficient performance of magnesium oxide loaded biochar for the significant removal of Pb2+ and Cd2+ from aqueous solution[J]. Ecotox. Environ. Safe., 2021,221112426. doi: 10.1016/j.ecoenv.2021.112426

    22. [22]

      Zhang P, He T, Li P, Zeng X Z, Huang Y. New insight into the hierarchical microsphere evolution of organic three-dimensional layer double hydroxide: The key role of the surfactant template[J]. Langmuir, 2019,35(42):13562-13569. doi: 10.1021/acs.langmuir.9b02465

    23. [23]

      Qiu S, Qiu T S, Yan H S, Long Q B, Wu H, Li X B, Zhu D M. Investigation of protonation and deprotonation processes of kaolinite and its effect on the adsorption stability of rare earth elements[J]. Colloid Surf. A-Physicochem. Eng. Asp., 2022,642128596. doi: 10.1016/j.colsurfa.2022.128596

    24. [24]

      Pawar R R, Lalhmunsiama , Kim M, Kim J G, Hong S M, Sawant S Y, Lee S M. Efficient removal of hazardous lead, cadmium, and arsenic from aqueous environment by iron oxide modified clay-activated carbon composite beads[J]. Appl. Clay Sci., 2018,162:339-350. doi: 10.1016/j.clay.2018.06.014

    25. [25]

      Kragović M, Stojmenović M, Petrović J, Loredo J, Pašalić S, Nedeljković A, Ristović I. Influence of alginate encapsulation on point of zero charge (pHpzc) and thermodynamic properties of the natural and Fe(III)-modified zeolite[J]. Procedia Manuf., 2019,32:286-293. doi: 10.1016/j.promfg.2019.02.216

    26. [26]

      Liang H, Feng X Y, Zuo X Y, Zhu Z H, Yang S M, Zhu B W, Wang W T, Zhang J J, Li G. Facile fabrication of highly porous MgO-modified biochar derived from agricultural residue for efficient Cd(Ⅱ) removal from wastewater[J]. Inorg. Chem. Commun., 2023,154110900. doi: 10.1016/j.inoche.2023.110900

    27. [27]

      Meng J, Feng X L, Dai Z M, Liu X M, Wu J J, Xu J M. Adsorption characteristics of Cu(Ⅱ) from aqueous solution onto biochar derived from swine manure[J]. Environ. Sci. Pollut. Res., 2014,21(11):7035-7046. doi: 10.1007/s11356-014-2627-z

    28. [28]

      Li Y R, Liu Y Y, Liu C Y, Feng L, Yang S A, Shan Y X, Xiao F. Quantitatively ion-exchange between Mg(Ⅱ) and Pb(Ⅱ)/Cd(Ⅱ) during the highly efficient adsorption by MgO-loaded lotus stem biochar[J]. J. Taiwan Inst. Chem. Eng., 2023,144104736. doi: 10.1016/j.jtice.2023.104736

    29. [29]

      Depci T, Kul A R, Önal Y. Competitive adsorption of lead and zinc from aqueous solution on activated carbon prepared from van apple pulp: Study in single- and multi-solute systems[J]. Chem. Eng. J., 2012,200-202:224-236. doi: 10.1016/j.cej.2012.06.077

    30. [30]

      Zhao R, Jia L, Yao Y X, Huo R P, Qiao X L, Fan B G. Study of the effect of adsorption temperature on elemental mercury removal performance of iron-based modified biochar[J]. Energy Fuels, 2019,33(11):11408-11419. doi: 10.1021/acs.energyfuels.9b02468

    31. [31]

      Švábová M, Bičáková O, Vorokhta M. Biochar as an effective material for acetone sorption and the effect of surface area on the mechanism of sorption[J]. J. Environ. Manage., 2023,348119205. doi: 10.1016/j.jenvman.2023.119205

    32. [32]

      Xiong C M, Wang W, Tan F T, Luo F, Chen J G, Qiao X L. Investigation on the efficiency and mechanism of Cd(Ⅱ) and Pb(Ⅱ) removal from aqueous solutions using MgO nanoparticles[J]. J. Hazard. Mater., 2015,299:664-674. doi: 10.1016/j.jhazmat.2015.08.008

    33. [33]

      Zhu Z, Li W. Effect of magnesium oxide on adsorption of Cd2+ from aqueous solution[J]. RSC Adv., 2012,2(12)5178. doi: 10.1039/c2ra20394d

  • 加载中
    1. [1]

      Xuejiao WangSuiying DongKezhen QiVadim PopkovXianglin Xiang . Photocatalytic CO2 Reduction by Modified g-C3N4. Acta Physico-Chimica Sinica, 2024, 40(12): 2408005-0. doi: 10.3866/PKU.WHXB202408005

    2. [2]

      Xiaotian ZHUFangding HUANGWenchang ZHUJianqing ZHAO . Layered oxide cathode for sodium-ion batteries: Surface and interface modification and suppressed gas generation effect. Chinese Journal of Inorganic Chemistry, 2025, 41(2): 254-266. doi: 10.11862/CJIC.20240260

    3. [3]

      Shuang CaoBo ZhongChuanbiao BieBei ChengFeiyan Xu . Insights into Photocatalytic Mechanism of H2 Production Integrated with Organic Transformation over WO3/Zn0.5Cd0.5S S-Scheme Heterojunction. Acta Physico-Chimica Sinica, 2024, 40(5): 2307016-0. doi: 10.3866/PKU.WHXB202307016

    4. [4]

      Yang ZHOULili YANWenjuan ZHANGPinhua RAO . Thermal regeneration of biogas residue biochar and the ammonia nitrogen adsorption properties. Chinese Journal of Inorganic Chemistry, 2025, 41(8): 1574-1588. doi: 10.11862/CJIC.20250032

    5. [5]

      Qingqing SHENXiangbowen DUKaicheng QIANZhikang JINZheng FANGTong WEIRenhong LI . Self-supporting Cu/α-FeOOH/foam nickel composite catalyst for efficient hydrogen production by coupling methanol oxidation and water electrolysis. Chinese Journal of Inorganic Chemistry, 2024, 40(10): 1953-1964. doi: 10.11862/CJIC.20240028

    6. [6]

      Kexin YanZhaoqi YeLingtao KongHe LiXue YangYahong ZhangHongbin ZhangYi Tang . Seed-Induced Synthesis of Disc-Cluster Zeolite L Mesocrystals with Ultrashort c-Axis: Morphology Control, Decoupled Mechanism, and Enhanced Adsorption. Acta Physico-Chimica Sinica, 2024, 40(9): 2308019-0. doi: 10.3866/PKU.WHXB202308019

    7. [7]

      Ping ZHANGChenchen ZHAOXiaoyun CUIBing XIEYihan LIUHaiyu LINJiale ZHANGYu'nan CHEN . Preparation and adsorption-photocatalytic performance of ZnAl@layered double oxides. Chinese Journal of Inorganic Chemistry, 2024, 40(10): 1965-1974. doi: 10.11862/CJIC.20240014

    8. [8]

      Xiaonan LIHui HANYihan ZHANGJing XIONGTingting GUOJuanzhi YAN . A viologen‐based Cd(Ⅱ) coordination polymer: Self‐assembly, thermochromism, and electrochemical property. Chinese Journal of Inorganic Chemistry, 2025, 41(7): 1439-1444. doi: 10.11862/CJIC.20240376

    9. [9]

      Huiwei DingBo PengZhihao WangQiaofeng Han . Advances in Metal or Nonmetal Modification of Bismuth-Based Photocatalysts. Acta Physico-Chimica Sinica, 2024, 40(4): 2305048-0. doi: 10.3866/PKU.WHXB202305048

    10. [10]

      Yan XinYunnian GeZezhong LiQiaobao ZhangHuajun Tian . Research Progress on Modification Strategies of Organic Electrode Materials for Energy Storage Batteries. Acta Physico-Chimica Sinica, 2024, 40(2): 2303060-0. doi: 10.3866/PKU.WHXB202303060

    11. [11]

      Lulu DONGJie LIUHua YANGYupei FUHongli LIUXiaoli CHENHuali CUILin LIUJijiang WANG . Synthesis, crystal structure, and fluorescence properties of Cd-based complex with pcu topology. Chinese Journal of Inorganic Chemistry, 2025, 41(4): 809-820. doi: 10.11862/CJIC.20240171

    12. [12]

      Wei GUOZhuoyi GUOXiaoxin LIWei ZHANGJuanzhi YANTingting GUO . Electrochemical sensor based on a Co(Ⅱ)-based metal-organic framework for the detection of Cd2+ and Pb2+. Chinese Journal of Inorganic Chemistry, 2025, 41(9): 1889-1902. doi: 10.11862/CJIC.20250097

    13. [13]

      Limei CHENMengfei ZHAOLin CHENDing LIWei LIWeiye HANHongbin WANG . Preparation and performance of paraffin/alkali modified diatomite/expanded graphite composite phase change thermal storage material. Chinese Journal of Inorganic Chemistry, 2024, 40(3): 533-543. doi: 10.11862/CJIC.20230312

    14. [14]

      Bao Jia Yunzhe Ke Shiyue Sun Dongxue Yu Ying Liu Shuaishuai Ding . Innovative Experimental Teaching for the Preparation and Modification of Conductive Organic Polymer Thin Films in Undergraduate Courses. University Chemistry, 2024, 39(10): 271-282. doi: 10.12461/PKU.DXHX202404121

    15. [15]

      Yingtong ShiGuotong XuGuizeng LiangDi LanSiyuan ZhangYanru WangDaohao LiGuanglei Wu . PEG-VN改性PP隔膜用于高稳定性高效率锂硫电池. Acta Physico-Chimica Sinica, 2025, 41(7): 100082-0. doi: 10.1016/j.actphy.2025.100082

    16. [16]

      Tiantian MASumei LIChengyu ZHANGLu XUYiyan BAIYunlong FUWenjuan JIHaiying YANG . Methyl-functionalized Cd-based metal-organic framework for highly sensitive electrochemical sensing of dopamine. Chinese Journal of Inorganic Chemistry, 2024, 40(4): 725-735. doi: 10.11862/CJIC.20230351

    17. [17]

      Ke GongJinghan LiaoJiangtao LinQuan WangZhihua WuLiting WangJiali ZhangYi DongYourong DuanJianhua Chen . Mitochondria-targeted nanoparticles overcome chemoresistance via downregulating BACH1/CD47 axis in ovarian carcinoma. Chinese Chemical Letters, 2024, 35(5): 108888-. doi: 10.1016/j.cclet.2023.108888

    18. [18]

      Lu LIUHuijie WANGHaitong WANGYing LI . Crystal structure of a two-dimensional Cd(Ⅱ) complex and its fluorescence recognition of p-nitrophenol, tetracycline, 2, 6-dichloro-4-nitroaniline. Chinese Journal of Inorganic Chemistry, 2024, 40(6): 1180-1188. doi: 10.11862/CJIC.20230489

    19. [19]

      Junying LIXinyan CHENXihui DIAOMuhammad YaseenChao CHENHao WANGChuansong QIWei LI . Chiral fluorescent sensor Tb3+@Cd-CP based on camphoric acid for the enantioselective recognition of R- and S-propylene glycol. Chinese Journal of Inorganic Chemistry, 2024, 40(12): 2497-2504. doi: 10.11862/CJIC.20240084

    20. [20]

      Pengyu ChenBeibei ChenMan HeYuxi ZhouLei LeiJian HanBingsheng ZhouLigang HuBin Hu . Nanoplastics and nano-ZnO facilitate Cd accumulation in zebrafish larvae via a distinct pathway: Revelation by LA-ICP-MS imaging. Chinese Chemical Letters, 2025, 36(2): 109908-. doi: 10.1016/j.cclet.2024.109908

Metrics
  • PDF Downloads(3)
  • Abstract views(1083)
  • HTML views(124)

通讯作者: 陈斌, bchen63@163.com
  • 1. 

    沈阳化工大学材料科学与工程学院 沈阳 110142

  1. 本站搜索
  2. 百度学术搜索
  3. 万方数据库搜索
  4. CNKI搜索
Address:Zhongguancun North First Street 2,100190 Beijing, PR China Tel: +86-010-82449177-888
Powered By info@rhhz.net

/

DownLoad:  Full-Size Img  PowerPoint
Return