Citation: Xingyang LI, Tianju LIU, Yang GAO, Dandan ZHANG, Yong ZHOU, Meng PAN. A superior methanol-to-propylene catalyst: Construction via synergistic regulation of pore structure and acidic property of high-silica ZSM-5 zeolite[J]. Chinese Journal of Inorganic Chemistry, ;2024, 40(7): 1279-1289. doi: 10.11862/CJIC.20240026 shu

A superior methanol-to-propylene catalyst: Construction via synergistic regulation of pore structure and acidic property of high-silica ZSM-5 zeolite

Figures(8)

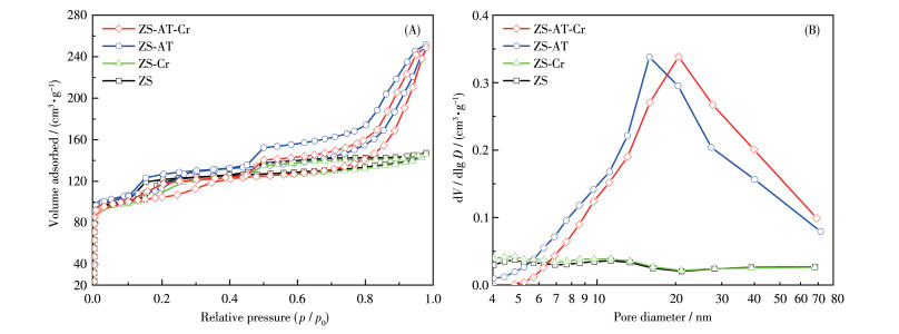
  • Combined strategy of alkali treatment and chromium modification was used to synergistically regulate the pore structure and acidic property of the high-silica ZSM-5 zeolite. During the alkaline treatment, the abundant intergrowth boundaries constructed by adjusting the composition of the synthesis gel induced the formation of meso-pores. Thereby, the limitation of the conventional alkali treatment method coming from the framework Si/Al ratio of parent zeolite was circumvented. In the process of chromium modification, the unique hierarchical pore structure promoted the dispersion of chromium species in the catalyst. Thus, a deep modification of the acidic property was realized. As a result, a high-silica hierarchical zeolite catalyst with suitable acidities was obtained. During the catalytic conversion of methanol to propylene, the variation of the pore structure and acidic property caused obvious changes in the coke deposition behavior of the catalyst and the mass transfer of products. Consequently, the prepared catalyst exhibited excellent catalytic stability and a high selectivity towards propylene and total light olefins.
  • 加载中
    1. [1]

      Cui T L, Lv L B, Zhang W B, Li X H, Chen J S. Programmable synthesis of mesoporous ZSM-5 nanocrystals as selective and stable catalysts for the methanol-to-propylene process[J]. Catal. Sci. Technol., 2016,6(14):5262-5266. doi: 10.1039/C6CY00379F

    2. [2]

      Kim H Y, Lee B, Lim D J, Choe C G, Lim H K. What is the best green propylene production pathway?: Technical, economic, and environmental assessment[J]. Green Chem., 2021,23(19):7635-7645. doi: 10.1039/D1GC01791H

    3. [3]

      Yarulina I, Chowdhury A D, Meirer F, Weckhuysen B M, Gascon J. Recent trends and fundamental insights in the methanol-to-hydrocarbons process[J]. Nat. Catal., 2018,1(6):398-411. doi: 10.1038/s41929-018-0078-5

    4. [4]

      Hwang A, Le T T, Shi Z, Dai H, Rimer J D, Bhan A. Effects of diffusional constraints on lifetime and selectivity in methanol-to-olefins catalysis on HSAPO-34[J]. J. Catal., 2019,369:122-132. doi: 10.1016/j.jcat.2018.10.031

    5. [5]

      Khanmohammadi M, Amani S, Garmarudi A B, Niaei A. Methanol-to-propylene process: Perspective of the most important catalysts and their behavior[J]. Chin. J. Catal., 2016,37(3):325-339. doi: 10.1016/S1872-2067(15)61031-2

    6. [6]

      Zhang W N, Zhi Y C, Huang J D, Wu X Q, Zeng S, Xu S T, Zheng A M, Wei Y X, Liu Z M. Methanol to olefins reaction route based on methylcyclopentadienes as critical intermediates[J]. ACS Catal., 2019,9(8):7373-7379. doi: 10.1021/acscatal.9b02487

    7. [7]

      REN K, ZHANG L L, LI Z, FU Y J. Structure-activity relationship and reaction characteristics of propene aromatization catalyzed by ZSM-5[J]. Chinese J. Inorg. Chem., 2022,38(6):1090-1102.  

    8. [8]

      Yarulina I, De Wispelaere K, Bailleul S, Goetze J, Radersma M, Abou-Hamad E, Vollmer I, Goesten M, Mezari B, Hensen E J M, Martínez-Espín J S, Morten M, Mitchell S, Perez-Ramirez J, Olsbye U, Weckhuysen B M, Van Speybroeck V, Kapteijn F, Gascon J. Structure-performance descriptors and the role of Lewis acidity in the methanol-to-propylene process[J]. Nat. Chem., 2018,10(8):804-812. doi: 10.1038/s41557-018-0081-0

    9. [9]

      Li H Y, Wang Y Q, Fan C Y, Sun C, Wang X, Wang C, Zhang X, Wang S H. Facile synthesis of a superior MTP catalyst: Hierarchical micro-meso-macroporous ZSM-5 zeolites[J]. Appl. Catal. A-Gen., 2018,551:34-48. doi: 10.1016/j.apcata.2017.12.007

    10. [10]

      Kerstens D, Smeyers B, Van Waeyenberg J, Zhang Q, Yu J H, Sels B F. State of the art and perspectives of hierarchical zeolites: Practical overview of synthesis methods and use in catalysis[J]. Adv. Mater., 2020,32(44)e2004690. doi: 10.1002/adma.202004690

    11. [11]

      Bai R S, Song Y, Li Y, Yu J H. Creating hierarchical pores in zeolite catalysts[J]. Trends Chem., 2019,1(6):601-611. doi: 10.1016/j.trechm.2019.05.010

    12. [12]

      Qi R Y, Fu T J, Wan W L, Li Z. Pore fabrication of nano-ZSM-5 zeolite by internal desilication and its influence on the methanol to hydrocarbon reaction[J]. Fuel Process. Technol., 2017,155:191-199. doi: 10.1016/j.fuproc.2016.05.046

    13. [13]

      Groen J C, Moulijn J A, Pérez-Ramírez J. Desilication: On the controlled generation of mesoporosity in MFI zeolites[J]. J. Mater. Chem., 2006,16(22):2121-2131. doi: 10.1039/B517510K

    14. [14]

      Groen J C, Jansen J C, Moulijn J A, Pérez-Ramírez J. Optimal aluminum-assisted mesoporosity development in MFI zeolites by desilication[J]. J. Phys. Chem. B, 2004,108(35):13062-13065. doi: 10.1021/jp047194f

    15. [15]

      Kalantari N, F Bekheet M, Nezhad P D F, Back J O, Farzi A, Penner S, Delibaş N, Schwarz S, Bernardi J, Salari D, Niaei A. Effect of chromium and boron incorporation methods on structural and catalytic properties of hierarchical ZSM-5 in the methanol-to-propylene process[J]. J. Ind. Eng. Chem., 2022,111:168-182. doi: 10.1016/j.jiec.2022.03.049

    16. [16]

      Westgård Erichsen M, Svelle S, Olsbye U. The influence of catalyst acid strength on the methanol to hydrocarbons (MTH) reaction[J]. Catal. Today, 2013,215:216-223. doi: 10.1016/j.cattod.2013.03.017

    17. [17]

      Zhang L, Tu R, Ren G Q, Li Z, Zhai S L, Xu Y C, Yu T. Manipulate the acidity of gallium doped silicalite-1 to optimize methanol to propene performance[J]. Chem. Eng. J., 2023,458141447. doi: 10.1016/j.cej.2023.141447

    18. [18]

      Yarulina I, Bailleul S, Pustovarenko A, Martinez J R, Wispelaere K D, Hajek J, Weckhuysen B M, Houben K, Baldus M, Van Speybroeck V, Kapteijn F, Gascon J. Suppression of the aromatic cycle in methanol-to-olefins reaction over ZSM-5 by post-synthetic modification using calcium[J]. ChemCatChem, 2016,8(19):3057-3063. doi: 10.1002/cctc.201600650

    19. [19]

      Groen J C, Peffer L A A, Moulijn J A, Pérez-Ramírez J. Mesoporosity development in ZSM-5 zeolite upon optimized desilication conditions in alkaline medium[J]. Colloid Surf. A-Physicochem. Eng. Asp., 2004,241(1):53-58.

    20. [20]

      Janssens T V W. A new approach to the modeling of deactivation in the conversion of methanol on zeolite catalysts[J]. J. Catal., 2009,264(2):130-137. doi: 10.1016/j.jcat.2009.03.004

    21. [21]

      Lee S, Choi M. Unveiling coke formation mechanism in MFI zeolites during methanol-to-hydrocarbons conversion[J]. J. Catal., 2019,375:183-192. doi: 10.1016/j.jcat.2019.05.030

    22. [22]

      Armaroli T, Simon L J, Digne M, Montanari T, Bevilacqua M, Valtchev V, Patarin J, Busca G. Effects of crystal size and Si/Al ratio on the surface properties of H-ZSM-5 zeolites[J]. Appl. Catal. A-Gen., 2006,306:78-84. doi: 10.1016/j.apcata.2006.03.030

    23. [23]

      Mozgawa W. The relation between structure and vibrational spectra of natural zeolites[J]. J. Mol. Struct., 2001,596(1):129-137.

    24. [24]

      Mambrim J S T, Pastore H O, Davanzo C U, Vichi E J S, Nakamura O, Vargas H. Synthesis and characterization of chromium silicalite[J]. Chem. Mater., 1993,5(2):66-173.

    25. [25]

      Svelle S, Sommer L, Barbera K, Vennestrøm P N R, Olsbye U, Lillerud K P, Bordiga S, Pan Y H, Beato P. How defects and crystal morphology control the effects of desilication[J]. Catal. Today, 2011,168(1):38-47. doi: 10.1016/j.cattod.2010.12.013

    26. [26]

      Groen J C, Peffer L A A, Pérez-Ramı́rez J. Pore size determination in modified micro- and mesoporous materials[J]. Pitfalls and limitations in gas adsorption data analysis. Microporous Mesoporous Mat., 2003,60(1):1-17.

    27. [27]

      Zhang R Z, Zhao P R, Han L N, Wang J C, Zhao L F. Seed-assisted template-free synthesis of nano-sized ZSM-5 via two-stage crystallization with related investigation of mechanism[J]. Microporous Mesoporous Mat., 2021,312110754. doi: 10.1016/j.micromeso.2020.110754

    28. [28]

      Pan M, Jiang X B, Pang Y H, Pan X F, Zhang Q H, Yang R C, Zheng J J. One-step synthesis of hierarchical ZSM-5 zeolites with low defect density as long-lived MTH catalysts[J]. Appl. Catal. A-Gen., 2023,656:119132-119140. doi: 10.1016/j.apcata.2023.119132

    29. [29]

      Verboekend D, Pérez-Ramírez J. Design of hierarchical zeolite catalysts by desilication[J]. Catal. Sci. Technol., 2011,1(6):879-890. doi: 10.1039/c1cy00150g

    30. [30]

      Palčić A, Moldovan S, El Siblani H, Vicente A, Valtchev V. Defect sites in zeolites: Origin and healing[J]. Adv. Sci., 2022,9(4)2104414. doi: 10.1002/advs.202104414

    31. [31]

      Liu Y H, Zhang Q, Li J Y, Wang X X, Terasaki O, Xu J, Yu J H. Protozeolite-seeded synthesis of single-crystalline hierarchical zeolites with facet-shaped mesopores and their catalytic application in methanol-to-propylene conversion[J]. Angew. Chem. Int. Ed., 2022,61(34)e202205716. doi: 10.1002/anie.202205716

    32. [32]

      Kim J, Choi M, Ryoo R. Effect of mesoporosity against the deactivation of MFI zeolite catalyst during the methanol-to-hydrocarbon conversion process[J]. J. Catal., 2010,269(1):219-228. doi: 10.1016/j.jcat.2009.11.009

  • 加载中
    1. [1]

      Siyu HOUWeiyao LIJiadong LIUFei WANGWensi LIUJing YANGYing ZHANG . Preparation and catalytic performance of magnetic nano iron oxide by oxidation co-precipitation method. Chinese Journal of Inorganic Chemistry, 2024, 40(8): 1577-1582. doi: 10.11862/CJIC.20230469

    2. [2]

      Haiqiang Lin Weizheng Weng Jingdong Lin Mingshu Chen Xueming Fang Lefu Yang . Diverse Variables-Driven Catalytic Optimization: Experimental Enhancement and Instructional Design for Selective Methane Oxidation on Supported Nickel-based Catalysts. University Chemistry, 2025, 40(11): 327-336. doi: 10.12461/PKU.DXHX202505106

    3. [3]

      Yi RUTao MENGZhaoteng XUEDongsen MAO . Synergistic catalysis of Al distribution and pore structure in ZSM-5 zeolite for bioethanol-to-propylene. Chinese Journal of Inorganic Chemistry, 2026, 42(2): 247-262. doi: 10.11862/CJIC.20250255

    4. [4]

      Min WANGDehua XINYaning SHIWenyao ZHUYuanqun ZHANGWei ZHANG . Construction and full-spectrum catalytic performance of multilevel Ag/Bi/nitrogen vacancy g-C3N4/Ti3C2Tx Schottky junction. Chinese Journal of Inorganic Chemistry, 2024, 40(6): 1123-1134. doi: 10.11862/CJIC.20230477

    5. [5]

      Ning CHENJingle CHENHongyuan ZHUHuali CHENLiguang WUTing WANG . Mechanism and performance regulation of Co/Zr-doped mesoporous TiO2 catalysts in activating sodium persulfate for tetracycline degradation. Chinese Journal of Inorganic Chemistry, 2026, 42(3): 507-518. doi: 10.11862/CJIC.20250275

    6. [6]

      Yongmei Liu Lisen Sun Zhen Huang Tao Tu . Curriculum-Based Ideological and Political Design for the Experiment of Methanol Oxidation to Formaldehyde Catalyzed by Electrolytic Silver. University Chemistry, 2024, 39(2): 67-71. doi: 10.3866/PKU.DXHX202308020

    7. [7]

      Qingqing SHENXiangbowen DUKaicheng QIANZhikang JINZheng FANGTong WEIRenhong LI . Self-supporting Cu/α-FeOOH/foam nickel composite catalyst for efficient hydrogen production by coupling methanol oxidation and water electrolysis. Chinese Journal of Inorganic Chemistry, 2024, 40(10): 1953-1964. doi: 10.11862/CJIC.20240028

    8. [8]

      Xue LiuLipeng WangLuling LiKai WangWenju LiuBiao HuDaofan CaoFenghao JiangJunguo LiKe Liu . Research on Cu-Based and Pt-Based Catalysts for Hydrogen Production through Methanol Steam Reforming. Acta Physico-Chimica Sinica, 2025, 41(5): 100049-0. doi: 10.1016/j.actphy.2025.100049

    9. [9]

      Feifei YangWei ZhouChaoran YangTianyu ZhangYanqiang Huang . Enhanced Methanol Selectivity in CO2 Hydrogenation by Decoration of K on MoS2 Catalyst. Acta Physico-Chimica Sinica, 2024, 40(7): 2308017-0. doi: 10.3866/PKU.WHXB202308017

    10. [10]

      Junqing WENRuoqi WANGJianmin ZHANG . Regulation of photocatalytic hydrogen production performance in GaN/ZnO heterojunction through doping with Li and Au. Chinese Journal of Inorganic Chemistry, 2025, 41(5): 923-938. doi: 10.11862/CJIC.20240243

    11. [11]

      Wuxin BaiQianqian ZhouZhenjie LuYe SongYongsheng Fu . Co-Ni Bimetallic Zeolitic Imidazolate Frameworks Supported on Carbon Cloth as Free-Standing Electrode for Highly Efficient Oxygen Evolution. Acta Physico-Chimica Sinica, 2024, 40(3): 2305041-0. doi: 10.3866/PKU.WHXB202305041

    12. [12]

      Kai CHENFengshun WUShun XIAOJinbao ZHANGLihua ZHU . PtRu/nitrogen-doped carbon for electrocatalytic methanol oxidation and hydrogen evolution by water electrolysis. Chinese Journal of Inorganic Chemistry, 2024, 40(7): 1357-1367. doi: 10.11862/CJIC.20230350

    13. [13]

      Xinyu XuJiale LuBo SuJiayi ChenXiong ChenSibo Wang . Steering charge dynamics and surface reactivity for photocatalytic selective methane oxidation to ethane over Au/Ti-CeO2. Acta Physico-Chimica Sinica, 2025, 41(11): 100153-0. doi: 10.1016/j.actphy.2025.100153

    14. [14]

      Chuanming GUOKaiyang ZHANGYun WURui YAOQiang ZHAOJinping LIGuang LIU . Performance of MnO2-0.39IrOx composite oxides for water oxidation reaction in acidic media. Chinese Journal of Inorganic Chemistry, 2024, 40(6): 1135-1142. doi: 10.11862/CJIC.20230459

    15. [15]

      Zhiwen HUWeixia DONGQifu BAOPing LI . Low-temperature synthesis of tetragonal BaTiO3 for piezocatalysis. Chinese Journal of Inorganic Chemistry, 2024, 40(5): 857-866. doi: 10.11862/CJIC.20230462

    16. [16]

      Guimin ZHANGWenjuan MAWenqiang DINGZhengyi FU . Synthesis and catalytic properties of hollow AgPd bimetallic nanospheres. Chinese Journal of Inorganic Chemistry, 2024, 40(5): 963-971. doi: 10.11862/CJIC.20230293

    17. [17]

      Zhuo WANGJunshan ZHANGShaoyan YANGLingyan ZHOUYedi LIYuanpei LAN . Preparation and photocatalytic performance of CeO2-reduced graphene oxide by thermal decomposition. Chinese Journal of Inorganic Chemistry, 2024, 40(9): 1708-1718. doi: 10.11862/CJIC.20240067

    18. [18]

      Ping ZHANGChenchen ZHAOXiaoyun CUIBing XIEYihan LIUHaiyu LINJiale ZHANGYu'nan CHEN . Preparation and adsorption-photocatalytic performance of ZnAl@layered double oxides. Chinese Journal of Inorganic Chemistry, 2024, 40(10): 1965-1974. doi: 10.11862/CJIC.20240014

    19. [19]

      Zijian Jiang Yuang Liu Yijian Zong Yong Fan Wanchun Zhu Yupeng Guo . Preparation of Nano Zinc Oxide by Microemulsion Method and Study on Its Photocatalytic Activity. University Chemistry, 2024, 39(5): 266-273. doi: 10.3866/PKU.DXHX202311101

    20. [20]

      Zhiwen HUPing LIYulong YANGWeixia DONGQifu BAO . Morphology effects on the piezocatalytic performance of BaTiO3. Chinese Journal of Inorganic Chemistry, 2025, 41(2): 339-348. doi: 10.11862/CJIC.20240172

Metrics
  • PDF Downloads(24)
  • Abstract views(3222)
  • HTML views(497)

通讯作者: 陈斌, bchen63@163.com
  • 1. 

    沈阳化工大学材料科学与工程学院 沈阳 110142

  1. 本站搜索
  2. 百度学术搜索
  3. 万方数据库搜索
  4. CNKI搜索
Address:Zhongguancun North First Street 2,100190 Beijing, PR China Tel: +86-010-82449177-888
Powered By info@rhhz.net

/

DownLoad:  Full-Size Img  PowerPoint
Return