Citation: Hao BAI, Weizhi JI, Jinyan CHEN, Hongji LI, Mingji LI. Preparation of Cu2O/Cu-vertical graphene microelectrode and detection of uric acid/electroencephalogram[J]. Chinese Journal of Inorganic Chemistry, ;2024, 40(7): 1309-1319. doi: 10.11862/CJIC.20240001 shu

Preparation of Cu2O/Cu-vertical graphene microelectrode and detection of uric acid/electroencephalogram

Figures(10)

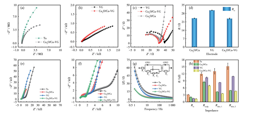
  • A Cu2O/Cu-vertical graphene microelectrode was prepared by combining Cu(Ⅱ) ion impregnation adsorption and direct current (DC) arc plasma jet chemical vapor deposition methods for dual functions including electro-chemical detection of uric acid and recording electroencephalogram (EEG) signals. The morphology, microstructure, and crystal composition of the microelectrode were characterized using scanning electron microscopy, transmission electron microscopy, and X-ray diffraction, and the electrochemical and EEG recording capabilities were evaluated. The microelectrode was composed of vertically grown graphene nanosheets embedded with Cu2O/Cu nanoparticles, with a diameter of approximately 200 μm. Because these nanosheets are arranged into a three-dimensional porous structure, the microelectrode has a short ion diffusion path and a long conductive network, which promotes high elec-trocatalytic activity and electrical performance. The scalp-contact resistance of the microelectrode with physiological saline was as low as 7.05 kΩ. The signal-to-noise ratios of electromyography (EMG), electrooculogram (EOG), and EEG of the microelectrode were close to or exceeded those of a commercial wet electrode coated with conductive gel. In addition, the microelectrode also electrochemically responded to uric acid, with a wide concentration range of 0.5-500 μmol·L-1 and a low detection limit of 0.024 μmol·L-1, as well as excellent anti-interference and long-term stability.
  • 加载中
    1. [1]

      Rezaei H, Jouyban A, Rahimpour E. Development of a new method based on gold nanoparticles for determination of uric acid in urine samples[J]. Spectroc. Acta Pt. A-Molec. Biomolec. Spectr., 2022,272120995. doi: 10.1016/j.saa.2022.120995

    2. [2]

      Siemińska E, Sobczak P, Skibińska N, Sikora J. The differential role of uric acid: The purpose or cause of cardiovascular diseases?[J]. Med. Hypotheses, 2020,142109791. doi: 10.1016/j.mehy.2020.109791

    3. [3]

      FANG Z L, WANG P, LIU S D, WANG X, NIE Q X, YANG S M, XU W Y, ZHOU M H. Simultaneous detection of dopamine and uric acid based on chiral MOF and acetylene black modified electrode[J]. Chinese J. Inorg. Chem., 2020,36(1):139-147.  

    4. [4]

      Cutler R G, Camandola S, Feldman N H, Yoon J S, Haran J B, Arguelles S, Mattson M P. Uric acid enhances longevity and endurance and protects the brain against ischemia[J]. Neurobiol. Aging, 2019,75:159-168. doi: 10.1016/j.neurobiolaging.2018.10.031

    5. [5]

      Zhou C B, Gu M J, Yin L, Yin W F, Liu J, Zhu Y Y, Yin K F, Lei C Y, Xu Z, Yang X L. Low serum uric acid levels may be a potential biomarker of poor sleep quality in patients with Parkinson's disease[J]. Sleep Med., 2023,105:9-13. doi: 10.1016/j.sleep.2023.03.011

    6. [6]

      Lin S, Liu J C, Li W Z, Wang D, Huang Y, Jia C, Li Z W, Murtaza M, Wang H Y, Song J N, Liu Z L, Huang K, Zu D, Lei M, Hong B, Wu H. A flexible, robust, and gel-free electroencephalogram electrode for noninvasive brain-computer interfaces[J]. Nano Lett., 2019,19(10):6853-6861. doi: 10.1021/acs.nanolett.9b02019

    7. [7]

      Aafria S, Kumari P, Sharma S, Yadav S, Batra B, Rana J S, Sharma M. Electrochemical biosensing of uric acid: A review[J]. Microchem J., 2022,182107945. doi: 10.1016/j.microc.2022.107945

    8. [8]

      Walcarius A. Mesoporous materials-based electrochemical sensors[J]. Electroanalysis, 2015,27(6):1303-1340. doi: 10.1002/elan.201400628

    9. [9]

      Delgado-Avilez J, Huerta-Miranda G A, Jaimes-López R, Miranda-Hernández M. Theoretical study of the chemical interactions between carbon fiber ultramicroelectrodes and the dihydroxybenzene isomers for electrochemical sensor understanding[J]. Electrochim. Acta, 2022,402139576. doi: 10.1016/j.electacta.2021.139576

    10. [10]

      LI K K, WANG S L, LUO R M, MA L, LIU L, WEI P Y, ZHANG Y. Nickel bicarbonate nanoparticles loadded on carbon paper for enzyme-free glucose electrochemical sensor[J]. Chinese J. Inorg. Chem., 2021,37(11):2002-2010. doi: 10.11862/CJIC.2021.239

    11. [11]

      Hinrichs H, Scholz M, Baum A K, Kam J W Y, Knight R T, Heinze H J. Comparison between a wireless dry electrode EEG system with a conventional wired wet electrode EEG system for clinical applications[J]. Sci. Rep, 2020,10(1)5218. doi: 10.1038/s41598-020-62154-0

    12. [12]

      Shao L, Guo Y F, Liu W J, Sun T, Wei D P. A flexible dry electroencephalogram electrode based on graphene materials[J]. Mater. Res. Express, 2019,6(8):085619-085619. doi: 10.1088/2053-1591/ab20a7

    13. [13]

      Wu S X, He Q Y, Tan C L, Wang Y D, Zhang H. Graphene-based electrochemical sensors[J]. Small, 2013,9(8):1160-1172. doi: 10.1002/smll.201202896

    14. [14]

      HUANG H P, ZHU J J. Preparation of novel carbon-based nanomaterial of graphene and its applications for electrochemistry[J]. Chinese J. Anal. Chem., 2011,39(7):963-971.  

    15. [15]

      CHEN Z, ZHAI N N, GAO S H, LI M J, LI H J. Preparation of boron-nitrogen co-doped vertical graphene electrode for glucose detection[J]. Chinese J. Inorg. Chem., 2023,39(5):785-793.  

    16. [16]

      Putra B R, Nisa U, Heryanto R, Khalil M, Khoerunnisa F, Ridhova A, Thaha Y N, Marken F, Wahyuni W T. Selective non-enzymatic uric acid sensing in the presence of dopamine: Electropolymerized poly-pyrrole modified with a reduced graphene oxide/PEDOT: PSS composite[J]. Analyst, 2022,147(23):5334-5346. doi: 10.1039/D2AN01463G

    17. [17]

      Jiang J J, Ding D, Wang J, Lin X Y, Diao G W. Three-dimensional nitrogen-doped graphene-based metal-free electrochemical sensors for simultaneous determination of ascorbic acid, dopamine, uric acid, and acetaminophen[J]. Analyst, 2021,146(3):964-970. doi: 10.1039/D0AN01912G

    18. [18]

      He W Z, Ye X Y, Cui T H. Flexible electrochemical sensor with graphene and gold nanoparticles to detect dopamine and uric acid[J]. IEEE Sens. J., 2021,21(23):26556-26565. doi: 10.1109/JSEN.2021.3122326

    19. [19]

      Sun Y X, Li H J, Li C P, Wang L T, Xuan X W, Li M J. Preparation of a Cu/CuO-vertical graphene microelectrode for the simultaneous determination of epinephrine and 2-aminoadenosine[J]. Mater. Today Chem., 2023,33101685. doi: 10.1016/j.mtchem.2023.101685

    20. [20]

      Wang Z Z, Zhao N, Shen G C, Jiang C P, Liu J Q. MEMS-based flexible wearable tri-polar concentric ring electrode array with self-adhesive graphene gel for EEG monitoring[J]. IEEE Sens. J., 2023,23(3):3137-3146. doi: 10.1109/JSEN.2022.3230679

    21. [21]

      Li Z, Guo W, Huang Y Y, Zhu K H, Yi H K, Wu H. On-skin graphene electrodes for large area electrophysiological monitoring and human-machine interfaces[J]. Carbon, 2020,164:164-170. doi: 10.1016/j.carbon.2020.03.058

    22. [22]

      Du X J, Jiang W C, Zhang Y, Qiu J K, Zhao Y, Tan Q S, Qi S Y, Ye G, Zhang W F, Liu N. Transparent and stretchable graphene electrode by intercalation dopineg for epidermal electrophysiology[J]. ACS Appl. Mater. Interfaces, 2020,12(50):56361-56371. doi: 10.1021/acsami.0c17658

    23. [23]

      Das P S, Park S H, Baik K Y, Lee J W, Park J Y. Thermally reduced graphene oxide-nylon membrane based epidermal sensor using vacuum filtration for wearable electrophysiological signals and human motion monitoring[J]. Carbon, 2020,158:386-393. doi: 10.1016/j.carbon.2019.11.001

    24. [24]

      Zhai P F, Xuan X W, Li H J, Li C P, Li P H, Li M J. Boron and nitrogen co-doped vertical graphene electrodes for scalp electroencephalogram recording[J]. Carbon, 2022,189:71-80. doi: 10.1016/j.carbon.2021.12.056

    25. [25]

      Li P H, Wang C, Li M J, Xuan X W, Zhou B Z, Li H J. Flexible silver/carbon nanotube-graphene oxide-polydimethylsiloxane electrode patch for electroencephalography language[J]. Adv. Intell. Syst., 2023,52300018. doi: 10.1002/aisy.202300018

    26. [26]

      Ge C, Li H J, Li M J, Li C P, Wu X G, Yang B H. Synthesis of a ZnO nanorod/CVD graphene composite for simultaneous sensing of dihydroxybenzene isomers[J]. Carbon, 2015,95:1-9. doi: 10.1016/j.carbon.2015.08.006

    27. [27]

      Yuan M J, Guo X T, Pang H. Derivatives (Cu/CuO, Cu/Cu2O, and CuS) of Cu superstructures reduced by biomass reductants[J]. Mater. Today Chem., 2021,21100519. doi: 10.1016/j.mtchem.2021.100519

    28. [28]

      Ramos M K, Zarbin A J G. Graphene/copper oxide nanoparticles thin films as precursor for graphene/copper hexacyanoferrate nanocomposites[J]. Appl. Surf. Sci., 2020,515146000. doi: 10.1016/j.apsusc.2020.146000

    29. [29]

      Oliveira P R, Kalinke C, Mangrich A S, Marcolino-Junior L H, Bergamini M F. Copper hexacyanoferrate nanoparticles supported on biochar for amperometric determination of isoniazid[J]. Electrochim. Acta, 2018,285:373-380. doi: 10.1016/j.electacta.2018.08.004

    30. [30]

      Sharma M K, Aggarwal S K. Simultaneous formation of Prussian blue and copper hexacyanoferrate from a solution of Cu2+ and K3[Fe(CN)6] in presence of HAuCl4[J]. J. Electroanal. Chem., 2013,705:64-67. doi: 10.1016/j.jelechem.2013.07.023

    31. [31]

      Randles J E B. A cathode ray polarograph. Part Ⅱ: The current- voltage curves[J]. Trans. Faraday Soc., 1948,44:327-338. doi: 10.1039/TF9484400327

    32. [32]

      Laviron E. General expression of the linear potential sweep voltammogram in the case of diffusionless electrochemical systems[J]. J. Electroanal. Chem. Interfacial Electrochem., 1979,101(1):19-28. doi: 10.1016/S0022-0728(79)80075-3

    33. [33]

      Iranmanesh T, Foroughi M M, Jahani S, Zandi M S, Nadiki H H. Green and facile microwave solvent-free synthesis of CeO2 nanoparticle-decorated CNTs as a quadruplet electrochemical platform for ultrasensitive and simultaneous detection of ascorbic acid, dopamine, uric acid and acetaminophen[J]. Talanta, 2020,207120318. doi: 10.1016/j.talanta.2019.120318

    34. [34]

      Lavanya N, Fazio E, Neri F, Bonavita A, Leonardi S G, Neri G, Sekar C. Simultaneous electrochemical determination of epinephrine and uric acid in the presence of ascorbic acid using SnO2/graphene nanocomposite modified glassy carbon electrode[J]. Sens. Actuators B-Chem., 2015,221:1412-1422. doi: 10.1016/j.snb.2015.08.020

  • 加载中
    1. [1]

      Lin′an CAODengyue MAGang XU . Research advances in electrically conductive metal-organic frameworks-based electrochemical sensors. Chinese Journal of Inorganic Chemistry, 2025, 41(10): 1953-1972. doi: 10.11862/CJIC.20250160

    2. [2]

      Jiarong Feng Yejie Duan Chu Chu Dezhen Xie Qiu'e Cao Peng Liu . Preparation and Application of a Streptomycin Molecularly Imprinted Electrochemical Sensor: A Suggested Comprehensive Analytical Chemical Experiment. University Chemistry, 2024, 39(8): 295-305. doi: 10.3866/PKU.DXHX202401016

    3. [3]

      Jun LUOBaoshu LIUYunchang ZHANGBingkai WANGBeibei GUOLan SHETianheng CHEN . Europium(Ⅲ) metal-organic framework as a fluorescent probe for selectively and sensitively sensing Pb2+ in aqueous solution. Chinese Journal of Inorganic Chemistry, 2024, 40(12): 2438-2444. doi: 10.11862/CJIC.20240240

    4. [4]

      Lu XUChengyu ZHANGWenjuan JIHaiying YANGYunlong FU . Zinc metal-organic framework with high-density free carboxyl oxygen functionalized pore walls for targeted electrochemical sensing of paracetamol. Chinese Journal of Inorganic Chemistry, 2024, 40(5): 907-918. doi: 10.11862/CJIC.20230431

    5. [5]

      Jing SUBingrong LIYiyan BAIWenjuan JIHaiying YANGZhefeng Fan . Highly sensitive electrochemical dopamine sensor based on a highly stable In-based metal-organic framework with amino-enriched pores. Chinese Journal of Inorganic Chemistry, 2024, 40(7): 1337-1346. doi: 10.11862/CJIC.20230414

    6. [6]

      Shuhui Li Xucen Wang Yingming Pan . Exploring the Role of Electrochemical Technologies in Everyday Life. University Chemistry, 2025, 40(3): 302-307. doi: 10.12461/PKU.DXHX202406059

    7. [7]

      Cun WANGShaohan XUYuqian ZHANGYaoyao ZHANGTao GONGRong WENYuhang LIAOYanrong REN . Terbium complex electrochemiluminescent emitters: Synthesis and application in the detection of epinephrine. Chinese Journal of Inorganic Chemistry, 2025, 41(7): 1351-1360. doi: 10.11862/CJIC.20240427

    8. [8]

      Ke ZhaoZhen LiuLuyao LiuChangyuan YuJingshun PanXuguang Huang . Functionalized Reflective Structure Fiber-Optic Interferometric Sensor for Trace Detection of Lead Ions. Acta Physico-Chimica Sinica, 2024, 40(4): 2304029-0. doi: 10.3866/PKU.WHXB202304029

    9. [9]

      Zhihuan XUQing KANGYuzhen LONGQian YUANCidong LIUXin LIGenghuai TANGYuqing LIAO . Effect of graphene oxide concentration on the electrochemical properties of reduced graphene oxide/ZnS. Chinese Journal of Inorganic Chemistry, 2024, 40(7): 1329-1336. doi: 10.11862/CJIC.20230447

    10. [10]

      Huaihao CHENLingwen ZHANGYukun CHENJianjun ZHANG . A water-stable metal-organic framework probe for Al3+/Ga3+/In3+ detection. Chinese Journal of Inorganic Chemistry, 2025, 41(12): 2601-2608. doi: 10.11862/CJIC.20250184

    11. [11]

      Yang MeiqingLu WangHaozi LuYaocheng YangSong Liu . Recent Advances of Functional Nanomaterials for Screen-Printed Photoelectrochemical Biosensors. Acta Physico-Chimica Sinica, 2025, 41(2): 100018-0. doi: 10.3866/PKU.WHXB202310046

    12. [12]

      Chaolin MiYuying QinXinli HuangYijie LuoZhiwei ZhangChengxiang WangYuanchang ShiLongwei YinRutao Wang . Galvanic Replacement Synthesis of Graphene Coupled Amorphous Antimony Nanoparticles for High-Performance Sodium-Ion Capacitor. Acta Physico-Chimica Sinica, 2024, 40(5): 2306011-0. doi: 10.3866/PKU.WHXB202306011

    13. [13]

      Wei GUOZhuoyi GUOXiaoxin LIWei ZHANGJuanzhi YANTingting GUO . Electrochemical sensor based on a Co(Ⅱ)-based metal-organic framework for the detection of Cd2+ and Pb2+. Chinese Journal of Inorganic Chemistry, 2025, 41(9): 1889-1902. doi: 10.11862/CJIC.20250097

    14. [14]

      Huirong BAOJun YANGXiaomiao FENG . Preparation and electrochemical properties of NiCoP/polypyrrole/carbon cloth by electrodeposition. Chinese Journal of Inorganic Chemistry, 2025, 41(6): 1083-1093. doi: 10.11862/CJIC.20250008

    15. [15]

      Yuanchun Pan Xinyun Lin Leyi Yang Wenya Hu Dekui Song Nan Liu . Artificial Intelligence Science Practice: Preparation of Electronic Skin by Chemical Vapor Deposition of Graphene. University Chemistry, 2025, 40(11): 272-280. doi: 10.12461/PKU.DXHX202412052

    16. [16]

      Hongyao Li Youyan Liu Luwei Dai Min Yang Qihui Wang . The Blessing of Indium Sulfide:Confronting the Narrow Path with Uric Acid. University Chemistry, 2024, 39(5): 325-335. doi: 10.3866/PKU.DXHX202311104

    17. [17]

      Shengbiao Zheng Liang Li Nini Zhang Ruimin Bao Ruizhang Hu Jing Tang . Metal-Organic Framework-Derived Materials Modified Electrode for Electrochemical Sensing of Tert-Butylhydroquinone: A Recommended Comprehensive Chemistry Experiment for Translating Research Results. University Chemistry, 2024, 39(7): 345-353. doi: 10.3866/PKU.DXHX202310096

    18. [18]

      Shuixing Dai Jilei Jiang Yuxiao Wang Jinqi Hu Minghua Huang . Application of Knoevenagel Reaction in Organic Chemistry Teaching. University Chemistry, 2025, 40(5): 334-341. doi: 10.12461/PKU.DXHX202405208

    19. [19]

      Min Gu Huiwen Xiong Liling Liu Jilie Kong Xueen Fang . Rapid Quantitative Detection of Procalcitonin by Microfluidics: An Instrumental Analytical Chemistry Experiment. University Chemistry, 2024, 39(4): 87-93. doi: 10.3866/PKU.DXHX202310120

    20. [20]

      Chenfei Li Xu Han Qimeng Zhang Ben Zhang Xinyao Huang Mingxiao Deng Caixia Zheng Haizhu Sun . Measurement of Stress-Strain Curves of Polymeric Materials Using a Non-Contact Displacement Detector. University Chemistry, 2026, 41(1): 179-187. doi: 10.12461/PKU.DXHX202505101

Metrics
  • PDF Downloads(4)
  • Abstract views(2093)
  • HTML views(221)

通讯作者: 陈斌, bchen63@163.com
  • 1. 

    沈阳化工大学材料科学与工程学院 沈阳 110142

  1. 本站搜索
  2. 百度学术搜索
  3. 万方数据库搜索
  4. CNKI搜索
Address:Zhongguancun North First Street 2,100190 Beijing, PR China Tel: +86-010-82449177-888
Powered By info@rhhz.net

/

DownLoad:  Full-Size Img  PowerPoint
Return