Citation: Xiaoxia WANG, Ya'nan GUO, Feng SU, Chun HAN, Long SUN. Synthesis, structure, and electrocatalytic oxygen reduction reaction properties of metal antimony-based chalcogenide clusters[J]. Chinese Journal of Inorganic Chemistry, ;2024, 40(6): 1201-1208. doi: 10.11862/CJIC.20230478 shu

Synthesis, structure, and electrocatalytic oxygen reduction reaction properties of metal antimony-based chalcogenide clusters

  • Corresponding author: Long SUN, sxsunlong@163.com
  • Received Date: 19 December 2023
    Revised Date: 16 February 2024

Figures(7)

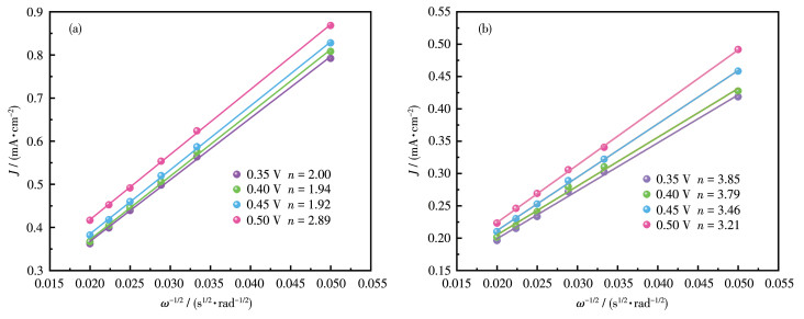
  • To explore the diversity of structure and optoelectronic applications of metal chalcogenide cluster materials, two Sb-based chalcogenide cluster compounds [Sb4S5(S3)]·C5H11N (1) and (C5H12N)2[In2Sb2S7] (2) have been synthesized through solvothermal method using asymmetric coordination geometry with Sb(Ⅲ) containing lone pair electrons and sulfur. The two compounds consist of combinations between {SbS3} or {InS4} coordination units in a vertex-sharing manner, respectively. The electrocatalytic oxygen reduction reaction (ORR) studies showed that the limit current density and half-wave potential of compound 2 were higher than those of compound 1, indicating better ORR performance. The Koutecky-Levich plot analysis showed that the ORR catalytic process of layered compound 2 constructed from mixed metals is mainly through a four-electron pathway.
  • 加载中
    1. [1]

      Tang J H, Jin J C, Li W A, Zeng X, Ma W, Li J L, Lv T T, Peng Y C, Feng M L, Huang X Y. Highly selective cesium(Ⅰ) capture under acidic conditions by a layered sulfide[J]. Nat. Commun., 2022,13(1)658. doi: 10.1038/s41467-022-28217-8

    2. [2]

      Wang K Y, Sun M, Ding D, Liu H W, Cheng L, Wang C. Di-lacunary[In6S15]12- cluster: The building block of a highly negatively charged framework for superior Sr2+ adsorption capacities[J]. Chem. Commun., 2020,56:3409-3412. doi: 10.1039/D0CC00441C

    3. [3]

      Wang L, Pei H, Sarma D, Zhang X M, MacRenaris K, Malliakas C D, Kanatzidis M G. Highly selective radioactive 137 Cs+ capture in an open-framework oxysulfide based on supertetrahedral cluster[J]. Chem. Mater., 2019,31(5):1628-1634. doi: 10.1021/acs.chemmater.8b04877

    4. [4]

      Wang R Q, Chen H J, Xiao Y, Hadar I, Bu K J, Zhang X, Pan J, Gu Y H, Guo Z N, Huang F Q, Kanatzidis M G. Kx[Bi4-xMnxS6], design of a highly selective ion exchange material and direct gap 2D semiconductor[J]. J. Am. Chem. Soc., 2019,141(42):16903-16914. doi: 10.1021/jacs.9b08674

    5. [5]

      Manos M J, Kanatzidis M G. Metal sulfide ion exchangers: Superior sorbents for the capture of toxic and nuclear waste-related metal ions[J]. Chem. Sci., 2016,7(8):4804-4824. doi: 10.1039/C6SC01039C

    6. [6]

      Hao M T, Hu Q Q, Zhang Y F, Luo M B, Wang Y Q, Hu B, Li J R, Huang X Y. Soluble supertetrahedral chalcogenido T4 clusters: High stability and enhanced hydrogen evolution activities[J]. Inorg. Chem., 2019,58(8):5126-5133. doi: 10.1021/acs.inorgchem.9b00207

    7. [7]

      Wu T, Han B, Liu J X, Zhang J X, Xue C Z, Wang X, Li D S. A wheel-shaped gallium-sulfide molecular ring with enhanced photocatalytic activity via indium alloying[J]. Inorg. Chem. Front., 2023,10:4147-4156. doi: 10.1039/D3QI00432E

    8. [8]

      Li J, Liu C D, Wang X, Ding Y Y, Wu Z, Sun P P, Tang J Q, Zhang J X, Li D S, Chen N, Wu T. Stable 3D neutral gallium thioantimonate frameworks decorated with transition metal complexes for a tunable photocatalytic hydrogen evolution[J]. Dalton Trans., 2022,51(3):978-985. doi: 10.1039/D1DT03255K

    9. [9]

      Wang Y Q, Lv X J, Zheng C, Liu X, Chen Z H, Yang W G, Lin J H, Huang F Q. Chemistry design towards a stable sulfide-based superionic conductor Li4Cu8Ge3S12[J]. Angew. Chem. Int. Ed., 2019,58(23):7673-7677. doi: 10.1002/anie.201901739

    10. [10]

      Nie L N, Xie J, Liu G F, Hao S J, Xu Z J, Xu R, Zhang Q C. Crystalline In-Sb-S framework for highly-performed lithium/sodium storage[J]. J. Mater. Chem. A, 2017,5(27):14198-14205. doi: 10.1039/C7TA03334F

    11. [11]

      Nie L N, Zhang Y, Xiong W W, Lim T T, Xu R, Yan Q Y, Zhang Q C. A surfactant-thermal method to prepare crystalline thioantimonate for high-performance lithium-ion batteries[J]. Inorg. Chem. Front., 2016,3(1):111-116. doi: 10.1039/C5QI00194C

    12. [12]

      Zhang J X, Feng P Y, Bu X H, Wu T. Atomically precise metal chalcogenide supertetrahedral clusters: Frameworks to molecules, and structure to function[J]. Natl. Sci. Rev., 2022,9nwab076. doi: 10.1093/nsr/nwab076

    13. [13]

      Feng P Y, Bu X H, Zheng N F. The interface chemistry between chalcogenide clusters and open framework chalcogenides[J]. Acc. Chem. Res., 2005,38(4):293-303. doi: 10.1021/ar0401754

    14. [14]

      Bu X H, Zheng N F, Feng P Y. Tetrahedral chalcogenide clusters and open frameworks[J]. Chem.-Eur. J., 2004,10(14):3356-3362. doi: 10.1002/chem.200306041

    15. [15]

      Zhang J X, Bu X H, Feng P Y, Wu T. Metal chalcogenide supertetrahedral clusters: Synthetic control over assembly, dispersibility, and their functional applications[J]. Acc. Chem. Res., 2020,53(10):2261-2272. doi: 10.1021/acs.accounts.0c00381

    16. [16]

      Wang K Y, Feng M L, Huang X Y, Li J. Organically directed heterometallic chalcogenidometalates containing group 12(Ⅱ)/13(Ⅲ)/14(Ⅳ) metal ions and antimony(Ⅲ)[J]. Coord. Chem. Rev., 2016,322:41-68. doi: 10.1016/j.ccr.2016.04.021

    17. [17]

      Feng M L, Wang K Y, Huang X Y. Combination of metal coordination tetrahedra and asymmetric coordination geometries of Sb(Ⅲ) in the organically directed chalcogenidometalates: Structural diversity and ion-exchange properties[J]. Chem. Rec., 2016,16(2):582-600. doi: 10.1002/tcr.201500243

    18. [18]

      Silva-Gaspar B, Martinez-Franco R, Pirngruber G, Fécant A, Diaz U, Corma A. Open-framework chalcogenide materials-from isolated clusters to highly ordered structures-and their photocatalytic applications[J]. Coord. Chem. Rev., 2022,453214243. doi: 10.1016/j.ccr.2021.214243

    19. [19]

      FENG M L, HUANG X Y. Recent progress in organic hybrid main group heterometallic chalcogenides based on antimony[J]. Chinese J. Inorg. Chem., 2013,29(8):1599-1608.  

    20. [20]

      Zhou Z T, Xiong H, Xu B Q, Yang B, Jiang W L. Coagulation morphology and performance analysis of antimony sulfide crystals during vacuum evaporation[J]. Vacuum, 2023,212112015. doi: 10.1016/j.vacuum.2023.112015

    21. [21]

      Dong Z W, Liu H N, Guo X Y, Xiong H, Yang B, Xu B Q. Volatilization kinetics and thermodynamic stability of antimony sulfide under vacuum conditions[J]. Vacuum, 2023,213112119. doi: 10.1016/j.vacuum.2023.112119

    22. [22]

      Yang Y J, Huang H H, Bai S X, Yao F, Lin Q Q. Optoelectronic modulation of silver antimony sulfide thin films for photodetection[J]. J. Phys. Chem. Lett., 2022,13(34):8086-8090. doi: 10.1021/acs.jpclett.2c02226

    23. [23]

      Zhang B, Feng M L, Cui H H, Du C F, Qi X H, Shen N N, Huang X Y. Syntheses, crystal structures, ion-exchange, and photocatalytic properties of two amine-directed Ge-Sb-S compounds[J]. Inorg. Chem., 2015,54(17):8474-8481. doi: 10.1021/acs.inorgchem.5b01181

    24. [24]

      Zeng X, Liu Y, Zhang T, Jin J C, Li J L, Sun Q, Ai Y J, Feng M L, Huang X Y. Ultrafast and selective uptake of Eu3+ from aqueous solutions by two layered sulfides[J]. Chem. Eng. J., 2021,420127613. doi: 10.1016/j.cej.2020.127613

    25. [25]

      Wu Z, Wang X L, Hu D D, Wu S J, Liu C D, Wang X, Zhou R, Li D S, Wu T. A new cluster-based chalcogenide zeolite analogue with large inter-cluster bridging angle[J]. Inorg. Chem. Front., 2019,6:3063-3069. doi: 10.1039/C9QI01051C

    26. [26]

      Wang W, Wang X, Zhang J X, Yang H J, Luo M, Xue C Z, Lin Z E, Wu T. Three-dimensional superlattices based on unusual chalcogenide supertetrahedral In-Sn-S nanoclusters[J]. Inorg. Chem., 2019,58(1):31-34. doi: 10.1021/acs.inorgchem.8b02574

    27. [27]

      SUN L, WANG X X, SU F. Synthesis, structure, and electrocatalytic oxygen reduction reaction properties of metal chalcogenide non-supertetrahedral In-Sn-S cluster materials[J]. Chinese J. Inorg. Chem., 2023,39(7):1369-1378.  

    28. [28]

      Lin J, Dong Y Z, Zhang Q, Hu D D, Li N, Wang L, Liu Y, Wu T. Interrupted chalcogenide-based zeolite-analogue semiconductor: Atomically precise doping for tunable electro-/photoelectrochemical properties[J]. Angew. Chem. Int. Ed., 2015,54(17):5103-5107. doi: 10.1002/anie.201500659

  • 加载中
    1. [1]

      Xiumei LIYanju HUANGBo LIUYaru PAN . Syntheses, crystal structures, and quantum chemistry calculation of two Ni(Ⅱ) coordination polymers. Chinese Journal of Inorganic Chemistry, 2024, 40(10): 2031-2039. doi: 10.11862/CJIC.20240109

    2. [2]

      Zhihui ZONGZijie ZHAOLei HUANGZhicheng PANShan WANGLili LIANGHuaqing LIUEnli ZHANG . Synthesis, crystal structures, and antitumor activity of two metal complexes of imidazolyl acylhydrazones. Chinese Journal of Inorganic Chemistry, 2026, 42(5): 1048-1062. doi: 10.11862/CJIC.20250330

    3. [3]

      Yukun CHENKexin FENGBolun ZHANGWentao SONGJianjun ZHANG . Syntheses, crystal structures, and diametrically opposed mechanically-stimulated luminescence response of two Mg(Ⅱ) metal-organic frameworks. Chinese Journal of Inorganic Chemistry, 2025, 41(6): 1227-1234. doi: 10.11862/CJIC.20240448

    4. [4]

      Zihe SONGJinjin ZHAONing RENJianjun ZHANG . Crystal structure, thermal analysis, and luminescence properties of six heterocyclic lanthanide complexes. Chinese Journal of Inorganic Chemistry, 2026, 42(1): 181-192. doi: 10.11862/CJIC.20250126

    5. [5]

      Yao HUANGYingshu WUZhichun BAOYue HUANGShangfeng TANGRuixue LIUYancheng LIUHong LIANG . Copper complexes of anthrahydrazone bearing pyridyl side chain: Synthesis, crystal structure, anticancer activity, and DNA binding. Chinese Journal of Inorganic Chemistry, 2025, 41(1): 213-224. doi: 10.11862/CJIC.20240359

    6. [6]

      Jia JIZhaoyang GUOWenni LEIJiawei ZHENGHaorong QINJiahong YANYinling HOUXiaoyan XINWenmin WANG . Two dinuclear Gd(Ⅲ)-based complexes constructed by a multidentate diacylhydrazone ligand: Crystal structure, magnetocaloric effect, and biological activity. Chinese Journal of Inorganic Chemistry, 2025, 41(4): 761-772. doi: 10.11862/CJIC.20240344

    7. [7]

      Yingyue ZHANGLiuqing KANGYating YANGXiaofen GUANWenmin WANG . Crystal structure and antibacterial activity of two Gd2 complexes based on polydentate Schiff-base ligands. Chinese Journal of Inorganic Chemistry, 2025, 41(9): 1867-1877. doi: 10.11862/CJIC.20250100

    8. [8]

      Wenya DINGFangfei XUJiayu GUXinran CHENKai CHEN . Synthesis and crystal structure of three cucurbit[6]uril-cadmium supramolecular assemblies. Chinese Journal of Inorganic Chemistry, 2026, 42(4): 808-816. doi: 10.11862/CJIC.20260012

    9. [9]

      Huan ZHANGJijiang WANGGuang FANLong TANGErlin YUEChao BAIXiao WANGYuqi ZHANG . A highly stable cadmium(Ⅱ) metal-organic framework for detecting tetracycline and p-nitrophenol. Chinese Journal of Inorganic Chemistry, 2024, 40(3): 646-654. doi: 10.11862/CJIC.20230291

    10. [10]

      Ruikui YANXiaoli CHENMiao CAIJing RENHuali CUIHua YANGJijiang WANG . Design, synthesis, and fluorescence sensing performance of highly sensitive and multi-response lanthanide metal-organic frameworks. Chinese Journal of Inorganic Chemistry, 2024, 40(4): 834-848. doi: 10.11862/CJIC.20230301

    11. [11]

      Meirong HANXiaoyang WEISisi FENGYuting BAI . A zinc-based metal-organic framework for fluorescence detection of trace Cu2+. Chinese Journal of Inorganic Chemistry, 2024, 40(8): 1603-1614. doi: 10.11862/CJIC.20240150

    12. [12]

      Chengyu JIANGXufeng LIU . Synthesis, structural characterization, electrocatalytic proton reduction, and fungicidal activity of thiazole-containing di-iron complexes. Chinese Journal of Inorganic Chemistry, 2026, 42(2): 355-364. doi: 10.11862/CJIC.20250253

    13. [13]

      Ruiyan CHENYanping HEJian ZHANG . Synthesis and third-order nonlinear optical property of Ti4L6 cage-based metal-organic framework. Chinese Journal of Inorganic Chemistry, 2025, 41(10): 2149-2156. doi: 10.11862/CJIC.20250177

    14. [14]

      Xuetian WANGJijiang WANGLong TANGErlin YUEXiao WANGYuqi ZHANG . A three-dimensional zinc(Ⅱ) metal-organic framework based on nitrogen-containing ligands for the detection of 2,4-dinitrophenylhydrazine and tetracycline. Chinese Journal of Inorganic Chemistry, 2026, 42(4): 861-871. doi: 10.11862/CJIC.20250294

    15. [15]

      Lu LIUHuijie WANGHaitong WANGYing LI . Crystal structure of a two-dimensional Cd(Ⅱ) complex and its fluorescence recognition of p-nitrophenol, tetracycline, 2, 6-dichloro-4-nitroaniline. Chinese Journal of Inorganic Chemistry, 2024, 40(6): 1180-1188. doi: 10.11862/CJIC.20230489

    16. [16]

      Jiarong ZHUXiaohua ZHANGXinting XIONGXuliang NIEXiuying SONGMiaomiao ZHANGDayong PENGXiuguang YI . Crystal structure, Hirshfeld surface analysis, and antifungal activity of five complexes based on 2,5-bis(carboxymethoxy)terephthalic acid. Chinese Journal of Inorganic Chemistry, 2025, 41(11): 2358-2370. doi: 10.11862/CJIC.20250150

    17. [17]

      Lulu DONGJie LIUHua YANGYupei FUHongli LIUXiaoli CHENHuali CUILin LIUJijiang WANG . Synthesis, crystal structure, and fluorescence properties of Cd-based complex with pcu topology. Chinese Journal of Inorganic Chemistry, 2025, 41(4): 809-820. doi: 10.11862/CJIC.20240171

    18. [18]

      Xiumei LILinlin LIBo LIUYaru PAN . Syntheses, crystal structures, and characterizations of two cadmium(Ⅱ) coordination polymers. Chinese Journal of Inorganic Chemistry, 2025, 41(3): 613-623. doi: 10.11862/CJIC.20240273

    19. [19]

      Chao LIUJiang WUZhaolei JIN . Synthesis, crystal structures, and antibacterial activities of two zinc(Ⅱ) complexes bearing 5-phenyl-1H-pyrazole group. Chinese Journal of Inorganic Chemistry, 2024, 40(10): 1986-1994. doi: 10.11862/CJIC.20240153

    20. [20]

      Yinxia SUNLiping LIUXue BAIYu SUNWanhong SUNZhepeng DENGJianghai CHENJianjun WANGLi XUShuzhen ZHANG . Synthesis and crystal structures of Co(Ⅱ)/Cu(Ⅱ) coordination polymers based on solvent and ligand concentration regulation strategy. Chinese Journal of Inorganic Chemistry, 2026, 42(2): 340-354. doi: 10.11862/CJIC.20250226

Metrics
  • PDF Downloads(11)
  • Abstract views(1451)
  • HTML views(215)

通讯作者: 陈斌, bchen63@163.com
  • 1. 

    沈阳化工大学材料科学与工程学院 沈阳 110142

  1. 本站搜索
  2. 百度学术搜索
  3. 万方数据库搜索
  4. CNKI搜索
Address:Zhongguancun North First Street 2,100190 Beijing, PR China Tel: +86-010-82449177-888
Powered By info@rhhz.net

/

DownLoad:  Full-Size Img  PowerPoint
Return