不同前驱体制备的碳化氮材料电化学选择性还原四价锡离子
English
Selective electrocatalytic reduction of Sn(Ⅳ) by carbon nitrogen materials prepared with different precursors
-
Key words:
- carbon nitride
- / Sn(Ⅳ) reduction
- / electrocatalysis
-
0. Introduction
Graphitic carbon nitride (CN)-based material is a two-dimensional structure, similar to that of graphite, and is used as a photocatalyst active in visible light[1]. It is also a layered carbon nitride non-metallic polymer n-type semiconductor that can be used in reduction reactions[2-3]. Due to their unique physical, chemical, optical, and electrical properties, these materials have found extensive utility in photocatalytic applications, such as photocatalytic hydrogen production[4], photodegradation of dyes[5-6], Friedel-Crafts reaction[7], etc. With the in-depth study of CN, CN-based materials have become new multifunctional nanomaterials in electrochemistry, because of their exceptional thermal stability, large specific surface area, easy modification[8], and good electrochemical activity[9]. Moreover, the materials have been fabricated into electrodes or used as carriers for composite electrode materials in various electrochemical applications, such as hydrogen evolution reaction (HER), oxygen evolution reaction (OER), oxygen reduction reaction (ORR)[10], electrocatalytic degradation of organic compounds in water, and reduction of metal ions, etc. With the widespread use of electrochemistry in various industries, the demand for electrode materials continues to rise. CN can be condensed from a range of nitrogen‐rich organic precursors, including melamine, guanidine carbonate, thiourea, urea, dicyandiamide, etc.[11-12], so making its large-scale production and industrial application feasible[13].
Stannous chloride, as a good reductive mordant, decolorant, and analytical reagent, is widely applied in medicine, elemental analysis, organic synthesis, and extraction separation[14-15]. In industry, Stannous chloride is commonly used as a reducing agent in esterification reactions, aromatic amine diazotization reduction reactions, and nitro reduction reactions. The oxidation of Sn(Ⅱ) to Sn(Ⅳ) in industrial processes results in the generation of substantial quantities of wastewater, which causes environmental hazards and harms human health. Achieving the reuse of Sn(Ⅳ) industrial wastewater not only economizes production costs but also improves environmental preservation[16]. Traditionally, Sn(Ⅳ) reduction has been accomplished through metal reduction method[17], hydrogenation reduction method[18], and electrolytic reduction method[19], etc. However, due to the high cost, low purity, and secondary water pollution, the industry has gradually abandoned these methods. If Sn(Ⅳ) in industrial wastewater is selectively reduced to the intermediate valence state Sn(Ⅱ)[20], and the obtained Sn(Ⅱ) as a reducing agent again in production, it can not only solve the problem of industrial wastewater discharge but also save resources. Production costs are reduced to achieve green production. Therefore, it is essential to develop an efficient, green, and environmentally friendly reduction method.
Electrochemistry is a versatile, efficient, economical, and easily automated method for treating wastewater containing refractory pollutants, so it is considered a green and efficient way to treat wastewater. In electrochemical technology, the choice of electrode materials is crucial, some literature has selected materials such as graphite plates and titanium alloys as cathode electrodes[21]. Suitable electrode materials selection enables electrocatalysis by simply adjusting the current and voltage. Electrocatalytic activity mainly depends on the number of active sites in the material and the configuration state of the atoms[22].
This study employed four different precursors to synthesize CN through the pyrolysis method. The material morphology was characterized and the electrochemical activity was investigated. These materials were initially utilized in the selective electrocatalytic reduction of Sn(Ⅳ) in an acidic solution. These materials not only demonstrated strong stability and electrocatalytic reduction properties in acid solutions but also possessed a lamellar structure and a large specific surface area. These structural characteristics facilitated electron flow on the material surface and inside during the reaction process, facilitating the selective reduction of Sn(Ⅳ).
1. Experimental
1.1 Reagent
SnCl4·5H2O (99%) was purchased from Anhui Zesheng Technology Company. Sodium diphenylamine sulfonate was acquired from Shanghai Adama Reagent Company. Isopropyl alcohol (99.5%) and CuCl2·H2O (99%) were purchased from Shanghai Maclin Biochemical Technology Company. Melamine (99.5%) was acquired from Zhejiang Jiaxing Maya Reagent Company. Urea (99.5%) and thiourea (99.5%) were obtained from Shanghai Lingfeng Chemical Reagent Company. Guanidine carbonate (99%) was purchased from Shanghai Aladdin Biochemical Technology Company. Na2SO4 (99%), potassium dichromate, ammonium ferric sulfate dodecahydrate (NH4Fe(SO4)2·12H2O), phosphoric acid, and sulfuric acid were all purchased from Sinopharm Chemical Reagent Co., Ltd. Toray TGP-H-060 raw paper and Nafion dispersion were obtained from SCI Materials Hub.
1.2 Instruments
X-ray diffraction (XRD) analysis was conducted using a Japan Smartlab9kW instrument operated at 45 kV and 200 mA, utilizing Cu Kα radiation with a wavelength of 0.154 nm and a scanning range spanning from 5° to 130°. X‐ray photoelectron spectroscopy (XPS) was performed using an American Thermo Scientific K‐Alpha instrument, employing Al Kα radiation with a photon energy (hν) of 1 486.6 eV, a current (I) of 6 mA, and an acceleration voltage (U) of 12 kV. XPS was employed to characterize the crystal structure of the material and determine the surface composition and elemental valence states of CN. The layered structure of CN was examined by scanning electron microscope (SEM, Hitachi Regulus 8100, accelerating voltage was 20 kV). The surface area and average pore size of CN were measured by a nitrogen physical adsorption instrument (Japan-Mechik Bayer-BELSORP Max Ⅱ, 150 ℃).
HJ-2B magnetic stirrer, FA1004E electronic balance, and JG-40K15 industrial ultrasonic cleaning machine were provided by Zhejiang Jiugong Automation Company. RuTiIr plate (5 cm×10 cm) was purchased from Suzhou Schulte Industrial Technology Co., Ltd. Cu foil (5 cm×5 cm) was acquired from High Purity Metal Materials Research Institute. DC (direct-current) power supply (0-100 V, 0-3 A) was obtained from Kunshan Kangkesi Trading Co., Ltd. SK3-5-12-5 tube furnace was purchased from Hangzhou Zhuochi Instrument Company. H-type electrolytic cell (300 mL), platinum sheet electrode (99.9%, 1 cm×2 cm), and graphite plate (99.99%, 5 cm×5 cm) were acquired from Chengxin Technology Co., Ltd. Glassy carbon electrode (Φ=3 mm) and Ag/AgCl reference electrode were purchased from Tianjin Aida Technology Co., Ltd.
1.3 Thermal polymerization method
The method requiring of nitrogen-rich precursors such as triazine derivatives as raw materials, directly heating the monomers to stimulate the conversion to monomer radicals, and subsequently obtaining CN through molecular self‐assembly and further high‐temperature roasting in air or nitrogen to release gases is referred to as thermal polymerization[23-24]. The electronic balance was used to precisely weigh 10.0 g of urea, melamine, thiourea, and guanidine carbonate. Then the reagents were placed into four flats, covered alumina crucibles, and placed in a tube furnace. The furnace was heated to 550 ℃ at a rate of 5 ℃·min-1 and maintained at this temperature for 2 h in an N2 atmosphere. After the reaction was completed, the samples were cooled to room temperature to obtain light yellow powders. The samples prepared used urea, melamine, thiourea, and guanidine carbonate as raw materials were named CN(U), CN(M), CN(T), and CN(C). In addition, the material obtained by calcining urea as a precursor in a muffle furnace was named M-CN(U), while that obtained by calcining in a tube furnace was named T-CN(U). Melamine was dispersed evenly in ethylene glycol, after which 150 mL of hydrochloric acid (37%) was slowly added and stirred for 3 h. The precipitate was filtered, centrifuged, and washed until the upper layer of the liquid became clear. The material obtained by drying the white powder in a vacuum oven and then calcining it in a muffle furnace in an air atmosphere was named M-HCN(M), whereas the material obtained through calcination in a tube furnace in N2 atmosphere was named T-HCN(M). To synthesize Cu-CN, 1.55 g of CuCl2·H2O and 2 g of melamine were added to 50 mL of ethylene glycol. The mixture was heated up to 70 ℃ and refluxed for 1 h. The filtered solid was rinsed with methanol, the mixture was centrifuged three times, dried in a vacuum oven, and then placed in a tube furnace. The furnace temperature was raised to 550 ℃ at a rate of 5 ℃·min-1 and maintained at a constant temperature for 2 h in an N2 atmosphere. This obtained material was named Cu-CN.
1.4 Fabrication of working electrode
For the fabrication of the working electrode, 10 mg of CN(M) was dispersed in 1 mL of methanol solution containing 20 μL Nafion dispersion, the mixture was transferred using a pipette gun, and 0.5 mL was added dropwise to each side of the carbon paper (5 cm×4 cm). Then the carbon paper was dried under infrared light. This electrode was named CN(M) sheet. 10 mg of Cu-CN was dispersed in a 20 μL methanol solution of Nafion. The mixture was pipetted using a pipette gun and 0.5 mL was added dropwise to each side of the carbon paper, and then the carbon paper was dried under infrared light. This electrode was named Cu-CN sheet. The electrode materials were inserted into an electrolytic cell as cathodes, ensuring that the effective area loaded with the catalyst was completely immersed in the solution during electrolysis.
1.5 Potassium dichromate titration method
The redox titration method is commonly used to determine high-content Sn. Sn(Ⅱ) has strong reducing properties and is easily oxidized by oxygen in the air and dissolved oxygen in standard solution, leading to inaccurate measurement results. At present, the determination of high-content tin mostly uses the titanium trichloride protection-potassium iodate titration method, which requires a lengthy measurement cycle and higher costs. In this paper, the contents of Sn(Ⅱ) and Sn(Ⅳ) in the solution were detected by potassium dichromate indirect titration[25-26]. This method is highly precise, accurate, and suitable for rapid analysis.
2. Results and discussion
2.1 Structural and morphological characterization
XRD analysis was used to clarify the crystal structure of materials[27]. From Fig. 1, it can be seen that CN(M), CN(T), and CN(C) exhibited two strong diffraction peaks at 2θ=13.1° and 27.46°. Among these, the peak at 2θ=13.1° corresponds to the (100) crystal plane of CN, representing a unique diffraction peak characteristic of Miller-analogs substances with an in-plane structural stacking motif, corresponding to the 3-s-triazine ring structure[28]. the peak at 2θ=27.46° represents the (002) crystal plane of CN, which is formed by the stacking of planar stacking peaks of the conjugated aromatic system[29-30], indicating a similar layered structure in this material. The two characteristic peaks of CN(M) were the sharpest and the half-maximum width was the smallest, indicating the highest degree of crystallization. The diffraction peaks of CN(U) in this range were weaker than those of the other three raw materials. Among them, the XRD test results showed that the CN material was successfully prepared.
Figure 1
The morphologies and structures of CN(M), CN(U), CN(T), and CN(C) were observed by SEM. The results in Fig. 2 showed that the morphologies and structures of the four materials were quite different. CN(M), CN(T), and CN(C) exhibited block structures. The surface of CN(M) was relatively rough, and the layered structure of the sample obtained was more obvious. The surface of CN(T) exhibited a smoother surface because the product agglomeration was prone to occur during the roasting process. The CN(U) sample exhibited a layered structure like cotton wool, which was a fluffy body composed of particles with a smooth surface. The primary reason for this morphology′s creation was that CN(U) would first undergo pyrolysis to produce an intermediate product. Despite the differences in precursor materials, all prepared materials exhibited a layered structure.
Figure 2
T-CN(U) and T-HCN(M) were characterized by XPS analysis to effectively determine the surface composition and elemental valence. Similar to elemental analysis, XPS can estimate the atomic percentage of carbon and nitrogen atoms[31], enabling a preliminary assessment of the T-CN(U) structure. The structure of T‐CN(U) can also be determined through high‐resolution spectra of C1s and N1s[32]. By analyzing the composition of the doping element based on the corresponding binding energy, the valence state of the doping element can be determined and its coordination mode can be inferred[33]. According to Fig. 3a, the XPS spectra revealed that the material was mainly composed of C, N, and a trace amount of O, and the C/N atomic ratio was roughly 0.75, which is essentially in line with the stoichiometry of CN, the deviation may be attributed to amorphous carbon adhered to the CN surface, it may be caused by the surface oxidation of bulk CN during hot oxygen peeling. T-CN(U) exhibited three strongly corresponding C1s peaks at 288.17, 286.53, and 284.74 eV, and the corresponding C1s peaks of T‐HCN(M) at 288.02, 286.20, and 284.63 eV. The peaks at 288.02 and 288.17 eV correspond to N=C—N, while the peaks at 284.63 and 284.74 eV originate from C—C/C=C[34], and the peaks at 286.2 and 286.53 eV correspond to C—N bonds of sp3 hybrid orbitals. Fig. 3c demonstrated that T-CN(U) exhibited four corresponding N1s spectra at 398.58, 399.3, 401.02, and 404.43 eV, while the corresponding N1s peaks of T-HCN(M) at 398.57, 399.51, 401.03, and 404.47 eV. The peaks at 404.02 and 404.46 eV are derived from the π-π* excitation of g-C3N4. The peaks at 399.51 and 399.3 eV are derived from the bridge N atom in the N—(C)3 structure. The peaks at 398.48 and 398.57 eV represent the N atom of the sp2 structure in C—N=C, and the signal at 401.03 and 401.02 eV originate from the N atom at the sp3 hybridized end of the heptazine ring (—NH2)[35]. Fig. 3d demonstrates that the O1s peaks of T-CN(U) and T-HCN(M) at 532.18 and 532.58 eV, respectively, attributed to the O=C[36].
Figure 3
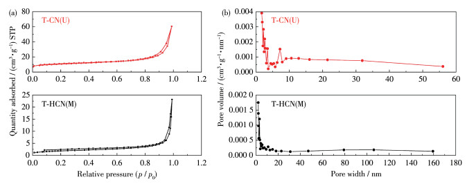
Fig. 4a depicts the nitrogen adsorption-desorption isotherm for T-CN(U) closely resembling a type Ⅰ isotherm curve. The surface area and average pore diameter of T-CN(U) and T-HCN(M) were measured by Brunauer-Emmett-Teller (BET) and Barrett-Joyner-Halenda (BJH) methods. The surface areas of T-CN(U) and T-HCN(M) were measured to be 36 and 6 m2·g-1, respectively, while the average pore diameters were 18.75 and 24.19 nm, respectively. According to the test results, T-CN(U) exhibited a large specific surface area and internal pores. These characteristics facilitate the adsorption of reactant molecules and provide more active sites for ion-conversion reactions.
Figure 4
2.2 Electrocatalytic test
To inhibit the hydrolysis of Sn(Ⅳ), SnCl4·5H2O was dissolved in 50 mL of 12 mol·L-1 hydrochloric acid, the pH of the solution was less than 1. As the electrolysis process proceeded, the pH of the solution was always less than or equal to 1. The solution was placed in a cathode bath with the CN(M) sheet, while a platinum sheet electrode served as the anode electrode. An aqueous solution containing Na2SO4 was added to the anode bath, and a proton exchange membrane connected the two electrode baths. Table 1 demonstrates the change in Sn(Ⅱ) concentration in the solution after 1 h of electrolysis using different electrode materials under identical current conditions at 35 ℃. The catalytic rate of different electrode materials was determined by measuring the change in Sn(Ⅱ) concentration during the 1-h electrolysis process. Cu foil, graphite plates, CN(M) sheet, and Cu-CN sheet all exhibited superior catalytic effects. However, Cu foil was prone to corrosion in strong acidic electrolytic solutions. During the electrolysis process, the graphite electrode served as the cathode and experienced high current flow, leading to localized temperature increase on the electrode surface and gradual decomposition, and the conductivity effect would be weakened, gradually. CN(M) exhibited a stable structure, low potential at both ends and resistance to acids and alkalis, which is conducive to the selective reduction of Sn(Ⅳ) to Sn(Ⅱ).
Table 1
Cathode I / mA U / V Area / cm2 ρSn(Ⅱ) / (g·L-1) Cu foil 300 12.40 20 2.136 RuTiIr plate 300 9.06 20 1.425 Graphite plate 300 8.51 20 2.068 CN(M) sheet 300 7.23 20 2.493 Cu-CN sheet 300 7.84 20 2.137 A larger specific surface and pore sizes can provide more diverse electron transport routes, and shorter diffusion distances[37]. Comparing the catalytic reduction effects of HCN(M) and CN(U) at 35 ℃ for 2 h under the same current conditions, Table 2 shows the concentration changes of Sn(Ⅱ) generated by electrolysis using T-CN(U), T-HCN(U), M-CN(U), and M-HCN(U) as cathode electrodes for 1 and 2 h respectively. The catalytic rates of different electrode materials were expressed by measuring the changes in Sn(Ⅱ) concentration in the solution after electrolysis for 1 and 2 h. T-CN(U) and M-CN(U) exhibited the same catalytic effect, while T-HCN(M) and M-HCN(M) showed the same catalytic effect. The electrolysis time was extended to further explore the factors affecting the electrolysis effect, and CN prepared from different precursors was used as the cathode. The optimal electrode material was then determined by comparing the Sn(Ⅱ) concentration changes over the same period. What′s more, the effects of electrolyte concentration, electrolyte temperature, and air atmosphere during the electrolysis process on the electrolysis process were also observed. Fig. 5a shows the electrolysis of 1 mol·L-1 Sn(Ⅳ) solution for 7 h using CN(U), CN(M), CN(T), and CN(C) as cathode electrodes and platinum plate as anode under a current of 300 mA and a temperature of 35 ℃. The samples were taken every hour to determine the concentration changes of Sn(Ⅱ) in the solution. It was observed that within 2 h, CN(M) and CN(U) exhibited the best catalytic activity. With prolonged catalytic time, the best catalytic effect was obtained from urea, because CN(U) prepared from urea could be completely and evenly dispersed in the solution during the electrode preparation process, coated on the carbon paper, and would not be dislodged in the course of the electrolysis process. Fig. 5b showed Sn(Ⅱ) produced after electrolysis of different concentrations of Sn(Ⅳ) solution (0.1, 0.3, 0.5, 0.7, and 1 mol·L-1) for 1 h at 35 ℃ using CN(U) as the cathode electrode at a current of 300 mA. When the concentration of the solution was 0.1 mol·L-1, the Sn(Ⅱ) content generated by electrolysis per unit of time was too low to be detected. As the concentration increased, the electrolysis rate increased. However, the electrolysis rate no longer increased once the concentration reached 0.5 mol·L-1. Therefore, the electrolyte concentration of 0.5 mol·L-1 was chosen for electrolysis.
Table 2
Cathode I / mA ρSn(Ⅱ) during electrolysis for 1 h / (g·L-1) ρSn(Ⅱ) during electrolysis for 2 h / (g·L-1) M-CN(U) 300 2.493 4.986 M-HCN(M) 300 2.493 4.986 T-CN(U) 300 2.493 4.986 T-HCN(M) 300 2.493 4.986 Figure 5
Fig. 6a illustrated the catalytic performance in 0.5 mol·L-1 Sn(Ⅳ) solution, with CN(U) as the cathode and platinum plate as the anode during electrolysis at a current of 300 mA for 1 h. The reaction rate at 50 ℃ was the fastest, so 50 ℃ was the optimal reaction temperature. As shown in Fig. 6b, CN(U) was used as the cathode electrode and platinum plate was as the anode electrode in 0.5 mol·L-1 Sn(Ⅳ) solution at a current of 300 mA for electrolytic reduction in different atmospheres. The reduction effect was superior in the N2 atmosphere, as N2 could protect Sn(Ⅱ) from oxidation by O2 in the air.
Figure 6
2.3 Analysis of the reduction mechanism
Scan cyclic voltammetry (CV) was used to investigate single electron transfer steps. CV can also detect electrochemical reactions in two-step electron transfer and multi-electron transfer processes[38]. To prepare the working electrode for CV and linear sweep voltammetry (LSV), 1 mg CN(U) was dispersed in a 20 μL methanol solution of Nafion, and the mixture was deposited onto a glassy carbon electrode. After drying under an infrared lamp, the prepared electrode was utilized as the working electrode, with a platinum wire electrode as the counter electrode and Ag/AgCl as the reference electrode. The initial potential was -1 V, the final potential was 1 V, the CV scan rate was 0.1 V·s-1 and the LSV scan rate was 0.5 V·s-1. From Fig. 7a, it could be seen that the reduction potentials of Sn(Ⅳ) and Sn(Ⅱ)were very neighboring. Fig. 7b to 7d depict the LSV curves, the deposition potentials of tetravalent Sn(Ⅳ) and Sn(Ⅱ) were very close and nearly indistinguishable, so the reduction of Sn(Ⅱ) could easily occur while reducing Sn(Ⅳ). If Sn(Ⅱ) is reduced to Sn, it precipitates and attaches to the cathode surface, decreasing electrode conductivity. Therefore, it is necessary to inhibit the reduction of Sn(Ⅱ) while being able to reduce Sn(Ⅳ) properly by controlling voltage. Under the same conditions, when the cathode was CN(M), the potential between the cathode and anode was lowest, and it could catalyze the reduction of Sn(Ⅳ) while inhibiting the reduction of Sn(Ⅱ) to Sn. Sn(Ⅳ) undergoes one‐electron reduction to obtain the intermediate valence state Sn, then Sn undergoes a disproportionation reaction to obtain a coexistence state of Sn(Ⅳ) and Sn(Ⅱ), Sn(Ⅱ) reduction involves a two-electron transfer process, Sn(Ⅱ) receives two electrons and is finally reduced to Sn. The reduction mechanism is shown below:
$ \mathrm{Sn}^{4+}+\mathrm{e}^{-} \longrightarrow \mathrm{Sn}^{3+} $ (1) $ 2 \mathrm{Sn}^{3+} \longrightarrow \mathrm{Sn}^{4+}+\mathrm{Sn}^{2+} $ (2) $ \mathrm{Sn}^{2+}+2 \mathrm{e}^{-} \rightarrow \mathrm{Sn} $ (3) Figure 7
Where the standard electrode potentials (E⊖) of Sn4+/Sn2+ and Sn2+/Sn are 0.151 and -0.137 7 V respectively.
3. Conclusions
The electrolytic reduction of Sn(Ⅳ) in acidic solutions requires electrode materials with catalytic reduction ability and strong resistance to acid corrosion. In this research, CN was synthesized using four different precursors and loaded onto carbon paper to fabricate electrodes, which were then compared to the catalytic effect of common electrodes for their catalytic. The results showed that the CN electrode exhibited lower potential at both ends and demonstrated effective electrocatalytic reduction of Sn(Ⅳ) than the common electrode. The materials efficiently reduced Sn(Ⅳ) while simultaneously preventing the reduction of Sn(Ⅱ). When the electrolyte temperature was 50 ℃, the Sn(Ⅳ) solution concentration was 0.5 mol·L-1, and the atmosphere was N2, CN synthesized using urea as the precursor exhibited the best reduction effect. Therefore, these materials are used for selective catalytic reduction of Sn(Ⅳ) in industry, which is beneficial for solving the problem of industrial tin-containing wastewater discharge, improving reaction selectivity, and achieving resource utilization.
-
-
[1]
Maślana K, Kaleńczuk R J, Zielińska B, Mijowska E. Synthesis and characterization of nitrogen-doped carbon nanotubes derived from g-C3N4[J]. Materials, 2020, 13(6): 1349. doi: 10.3390/ma13061349
-
[2]
Wen J Q, Xie J, Chen X B, Li X. A review on g-C3N4-based photocatalysts[J]. Appl. Surf. Sci., 2017, 391: 72-123. doi: 10.1016/j.apsusc.2016.07.030
-
[3]
Sahoo S, Acharya R. An overview of recent developments in synthesis and molecular level structure of visible-light responsive g-C3N4 photocatalyst towards environmental remediation[J]. Mater. Today: Proc., 2021, 35: 150-155. doi: 10.1016/j.matpr.2020.04.008
-
[4]
Wang Y, Li H R, Yao J, Wang X C, Antonietti M. Synthesis of boron doped polymeric carbon nitride solids and their use as metal-free catalysts for aliphatic C—H bond oxidation[J]. Chem. Sci., 2011, 2(3): 446-450. doi: 10.1039/C0SC00475H
-
[5]
Wang X C, Maeda K, Thomas A, Takanabe K, Xin G, Carlsson J M, Domen K, Antonietti M. A metal-free polymeric photocatalyst for hydrogen production from water under visible light[J]. Nat. Mater., 2009, 8(1): 76-80. doi: 10.1038/nmat2317
-
[6]
Wang Y, Yao J, Li H R, Su D S, Antonietti M. Highly selective hydrogenation of phenol and derivatives over a Pd@Carbon nitride catalyst in aqueous media[J]. J. Am. Chem. Soc., 2011, 133(8): 2362-2365. doi: 10.1021/ja109856y
-
[7]
Goettmann F, Fischer A, Antonietti M, Thomas A. Metal-free catalysis of sustainable Friedel-Crafts reactions: Direct activation of benzene by carbon nitrides to avoid the use of metal chlorides and halogenated compounds[J]. Chem. Commun., 2006, (43): 4530-4532. doi: 10.1039/B608532F
-
[8]
Zuo S Y, Zan J, Li D Y, Guan Z Y, Yang F, Xu H M, Huang M Z, Xia D S. Efficient peroxymonosulfate nonradical activity of Zn-Mn-Al2O3@ g-C3N4 via synergism of Zn, Mn doping and g-C3N4 composite[J]. Sep. Purif. Technol., 2021, 272: 118965. doi: 10.1016/j.seppur.2021.118965
-
[9]
崔慧娜, 董文斌, 廖港丽, 赵震, 姚垚. Se掺杂WO3·0.5H2O/g-C3N4光电催化剂的析氢反应性能[J]. 无机化学学报, 2023,39,(1): 109-116. CUI H N, DONG W B, LIAO G L, ZHAO Z, YAO Y. Hydrogen evolution reaction performance of Se doped WO3·0.5H2O/g-C3N4 photo electrocatalyst[J]. Chinese J. Inorg. Chem., 2023, 39(1): 109-116.
-
[10]
Artero V, Chavarot-Kerlidou M, Fontecave M. Splitting water with cobalt[J]. Angew. Chem. Int. Ed., 2011, 50(32): 7238-7266. doi: 10.1002/anie.201007987
-
[11]
Zheng Y, Liu J, Liang J, Jaroniec M, Qiao S Z. Graphitic carbon nitride materials: Controllable synthesis and applications in fuel cells and photocatalysis[J]. Energy Environ. Sci., 2012, 5(5): 6717-6731. doi: 10.1039/c2ee03479d
-
[12]
Yan S C, Li Z S, Zou Z G. Photodegradation performance of g-C3N4 fabricated by directly heating melamine[J]. Langmuir, 2009, 25(17): 10397-10401. doi: 10.1021/la900923z
-
[13]
Xing Y P, Wang X K, Hao S H, Zhang X L, Wang X, Ma W X, Zhao G, Xu X J. Recent advances in the improvement of g-C3N4 based photocatalytic materials[J]. Chin. Chem. Lett., 2021, 32(1): 13-20. doi: 10.1016/j.cclet.2020.11.011
-
[14]
Ye H, Gao K, Lu G N, Xie Y Y, Reinfelder J R, Huang W L, Tao X Q, Yi X Y, Dang Z. Improved extraction of acid-insoluble monosulfide minerals by stannous chloride reduction and its application to the separation of mono- and disulfide minerals in the presence of ferric iron[J]. Sci. Total Environ., 2021, 785: 147367. doi: 10.1016/j.scitotenv.2021.147367
-
[15]
Rai G S, Jeong J M, Lee Y S, Kim H W, Lee D S, Chung J K, Lee M C. Ionic liquid mediated efficient reduction of nitroarenes using stannous chloride under sonication[J]. Tetrahedron Lett., 2005, 46(23): 3987-3990. doi: 10.1016/j.tetlet.2005.04.035
-
[16]
Zainal S F F S, Aziz H A, Omar F M, Alazaiza M Y D. Influence of jatropha curcas seeds as a natural flocculant on reducing Tin(Ⅳ) tetrachloride in the treatment of concentrated stabilised landfill leachate[J]. Chemosphere, 2021, 285: 131484. doi: 10.1016/j.chemosphere.2021.131484
-
[17]
王丽媛. 氯化亚锡的合成及应用进展[J]. 云南化工, 2017,44,(4): 86-90. WANG L Y. The synthesis and application progress of stannous chloride[J]. Yunnan Chemical Technology, 2017, 44(4): 86-90.
-
[18]
Kim B S, Lee J C, Yoon H S, Kim S K. Reduction of SnO2 with hydrogen[J]. Mater. Trans., 2011, 52(9): 1814-1817. doi: 10.2320/matertrans.M2011118
-
[19]
连云港市金囤农化有限公司. 一种还原四氯化锡的方法: CN201110081880.6. 2011-07-06.Lianyungang Jindun Agrochemical Co., Ltd. A method for reducing tin tetrachloride: CN201110081880.6. 2011-07-06.
-
[20]
Zhang Y C, Zhang Q, Shi Q W, Cai Z Y, Yang Z J. Acid-treated g-C3N4 with improved photocatalytic performance in the reduction of aqueous Cr(Ⅳ) under visible-light[J]. Sep. Purif. Technol., 2015, 142: 251-257. doi: 10.1016/j.seppur.2014.12.041
-
[21]
嘉庚创新实验室. 一种电化学还原四氯化锡的方法及反应装置: CN202110901086.5. 2022-04-05.Tan Kah Kee Innovation Laboratory. A method and reaction device for electrochemical reduction of tin tetrachloride: CN202110901086.5. 2022-04-05.
-
[22]
Wang Y H, Liu L Z, Ma T Y, Zhang Y H, Huang H W. 2D graphitic carbon nitride for energy conversion and storage[J]. Adv. Funct. Mater., 2021, 31(34): 2102504.
-
[23]
Cao S W, Low J X, Yu J G, Jaroniec M. Polymeric photocatalysts based on graphitic carbon nitride[J]. Adv. Mater., 2015, 27(13): 2150-2176. doi: 10.1002/adma.201500033
-
[24]
Gao J, Zhou Y, Li Z S, Yan S C, Wang N Y, Zou Z G. High-yield synthesis of millimetre-long, semiconducting carbon nitride nanotubes with intense photoluminescence emission and reproducible photoconductivity[J]. Nanoscale, 2012, 4(12): 3687. doi: 10.1039/c2nr30777d
-
[25]
Fleysher M H. The electrometric titration of antimony and tin by potassium dichromate[J]. J. Am. Chem. Soc., 1924, 46(12): 2725-2727. doi: 10.1021/ja01677a017
-
[26]
Collins R W, Nebergall W H. Indirect procedure for the determination of tin(Ⅱ) by potentiometric titration[J]. Anal. Chem., 1962, 34(11): 1511-1513. doi: 10.1021/ac60191a049
-
[27]
Jorge A B, Martin D J, Dhanoa M T S, Rahman A S, Makwana N, Tang J W, Sella A, Corà F, Firth S, Darr J A, McMillan P F. H2 and O2 evolution from water half-splitting reactions by graphitic carbon nitride materials[J]. J. Phys. Chem. C, 2013, 117(14): 7178-7185. doi: 10.1021/jp4009338
-
[28]
Zhang J S, Chen X F, Takanabe K, Maeda K, Domen K, Epping J D, Fu X Z, Antonietti M, Wang X C. Synthesis of a carbon nitride structure for visible-light catalysis by copolymerization[J]. Angew. Chem., 2010, 49(2): 441-444. doi: 10.1002/anie.200903886
-
[29]
Wang S Z, Liu Y, Wang J L. Iron and sulfur co-doped graphite carbon nitride (FeOy/S-g-C3N4) for activating peroxymonosulfate to enhance sulfamethoxazole degradation[J]. Chem. Eng. J., 2020, 382: 122836. doi: 10.1016/j.cej.2019.122836
-
[30]
Tai G Y, Li G, Cai Z Y, Pan Y W, Han J G, Shi J, Xing W N, Wu G Y. Enhanced performance and recyclability for peroxymonosulfate activation via controlling the different morphologies of g-C3N4[J]. Colloids Surf. A, 2023, 674: 131925. doi: 10.1016/j.colsurfa.2023.131925
-
[31]
Yang X L, Qian F F, Zou G J, Li M L, Lu J R, Li Y M, Bao M T. Facile fabrication of acidified g-C3N4/g-C3N4 hybrids with enhanced photocatalysis performance under visible light irradiation[J]. Appl. Catal. B-Environ., 2016, 193: 22-35. doi: 10.1016/j.apcatb.2016.03.060
-
[32]
Wang J L, Wang S Z. A critical review on graphitic carbon nitride (g-C3N4)-based materials: Preparation, modification and environmental application[J]. Coord. Chem. Rev., 2022, 453: 214338. doi: 10.1016/j.ccr.2021.214338
-
[33]
Dong Y G, Wang D H, Zhang H, Chen Y, Liu W, Wang Y Z. Morphological control of tubular g-C3N4 and their visible-light photocatalytic properties[J]. Mater. Lett., 2017, 196: 100-103. doi: 10.1016/j.matlet.2017.03.005
-
[34]
Li J X, Wang Y H, Wang Y T, Guo Y, Zhang S D, Song H X, Li X C, Gao Q Q, Shang W Y, Hu S S, Zheng H B, Li X F. MXene Ti3C2 decorated g-C3N4/ZnO photocatalysts with improved photocatalytic performance for CO2 reduction[J]. Nano Mater. Sci., 2023, 5(2): 237-245. doi: 10.1016/j.nanoms.2023.02.003
-
[35]
Ma L T, Fan H Q, Fu K, Lei S H, Hu Q Z, Huang H T, He G P. Protonation of graphitic carbon nitride (g-C3N4) for an electrostatically self-assembling carbon@g-C3N4 core-shell nanostructure toward high hydrogen evolution[J]. ACS Sustain. Chem. Eng., 2017, 5(8): 7093-7103. doi: 10.1021/acssuschemeng.7b01312
-
[36]
Anadebe V C, Chukwuike V I, Selvaraj V, Pandikumar A, Barik R C. Sulfur-doped graphitic carbon nitride (S-g-C3N4) as an efficient corrosion inhibitor for X65 pipeline steel in CO2-saturated 3.5% NaCl solution: Electrochemical, XPS and nanoindentation studies[J]. Process Saf. Environ. Prot., 2022, 164: 715-728. doi: 10.1016/j.psep.2022.06.055
-
[37]
Saka C. Performance of g-C3N4 nanoparticles by EDTA modification and protonation for hydrogen release from sodium borohydride methanolysis[J]. Int. J. Hydrog. Energy, 2022, 47(28): 13654-13663. doi: 10.1016/j.ijhydene.2022.02.121
-
[38]
Chang J, Bard A J. Detection of the Sn(Ⅲ) Intermediate and the mechanism of the Sn(Ⅳ)/Sn(Ⅱ) electroreduction reaction in bromide media by cyclic voltammetry and scanning electrochemical microscopy[J]. J. Am. Chem. Soc., 2014, 136(1): 311-320. doi: 10.1021/ja409958a
-
[1]
-
Table 1. Catalytic effect of different electrodes
Cathode I / mA U / V Area / cm2 ρSn(Ⅱ) / (g·L-1) Cu foil 300 12.40 20 2.136 RuTiIr plate 300 9.06 20 1.425 Graphite plate 300 8.51 20 2.068 CN(M) sheet 300 7.23 20 2.493 Cu-CN sheet 300 7.84 20 2.137 Table 2. Catalytic performance of CN prepared by calcination in different atmospheres
Cathode I / mA ρSn(Ⅱ) during electrolysis for 1 h / (g·L-1) ρSn(Ⅱ) during electrolysis for 2 h / (g·L-1) M-CN(U) 300 2.493 4.986 M-HCN(M) 300 2.493 4.986 T-CN(U) 300 2.493 4.986 T-HCN(M) 300 2.493 4.986 -
扫一扫看文章
计量
- PDF下载量: 0
- 文章访问数: 1216
- HTML全文浏览量: 180

下载:
下载: