Citation: Jun LI, Huipeng LI, Hua ZHAO, Qinlong LIU. Preparation and photocatalytic performance of AgNi bimetallic modified polyhedral bismuth vanadate[J]. Chinese Journal of Inorganic Chemistry, ;2024, 40(3): 601-612. doi: 10.11862/CJIC.20230401 shu

Preparation and photocatalytic performance of AgNi bimetallic modified polyhedral bismuth vanadate

  • Corresponding author: Huipeng LI, fslhp@sina.com
  • Received Date: 23 October 2023
    Revised Date: 5 December 2023

Figures(11)

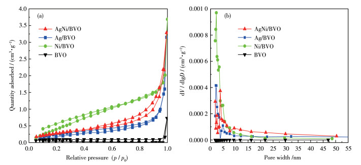
  • Polyhedral bismuth vanadate (BVO) material was prepared using a straightforward hydrothermal method, and then a small-sized AgNi bimetallic co-catalyst was synthesized in situ on the surface of the polyhedral BVO through a chemical reduction method. The photocatalytic performance of the catalyst was studied. The physicochemical properties of the prepared AgNi/BVO material were characterized through various techniques, including X-ray diffraction (XRD), scanning electron microscopy (SEM), transmission electron microscopy (TEM), UV-Vis diffuse reflectance spectroscopy (UV-Vis DRS), X-ray photoelectron spectroscopy (XPS), photoluminescence (PL) spectroscopy, and nitrogen adsorption-desorption analysis. The results indicated that AgNi bimetallic co-catalysts were extensively loaded onto the unique morphology of BVO polyhedra, significantly increasing the metal attachment sites. Simultaneously, the AgNi loading also improved the crystallinity of BVO. The silver surface plasmon resonance effect, in conjunction with the nickel's lattice interface effect, enhanced the BVO catalyst's absorption of visible light and improved the separation of photo-generated electrons, thereby increasing the photocatalytic activity. Photocatalytic degradation experiments using MB (methylene blue) as a model pollutant demonstrated that when the ratio was 3:1, AgNi/BVO exhibited the highest catalytic activity, with a reaction rate of 5.4 times higher than that of BVO under visible light irradiation. This photocatalyst retained excellent photocatalytic activity even after four cycles of use.
  • 加载中
    1. [1]

      Queiroz B D, Fernandes J A, Martins C A, Wender H. Photocatalytic fuel cells: From batch to microfluidics[J]. J. Environ. Chem. Eng., 2022,10(3)107611. doi: 10.1016/j.jece.2022.107611

    2. [2]

      Sahoo D P, Das K K, Patnaik S, Parida K. Double charge carrier mechanism through 2D/2D interface-assisted ultrafast water reduction and antibiotic degradation over architectural S, P co-doped g-C3N4/ ZnCr LDH photocatalyst[J]. Inorg. Chem. Front., 2020,7(19):3695-3717. doi: 10.1039/D0QI00617C

    3. [3]

      ZHAO D Q, GU G Z, LI Z. Application of hydrotalcite-like photocatalyst in wastewater treatment[J]. Journal of Petrochemical Universities, 2022,35(3):36-42.  

    4. [4]

      ZHANG R N, HE S J, WANG X R, WANG F F, CHEN C D. Study on soft chemical preparation and properties of BatiO3-TiO2 complex[J]. Journal of Petrochemical Universities, 2022,35(4):46-51.  

    5. [5]

      Kublik N, Gomes L E, Plaça L F, Lima T H N, Abelha T F, Ferencz J A P, Caires A R L, Wender H. Metal-free g-C3N4/nanodiamond heterostructures for enhanced photocatalytic pollutant removal and bacteria photoinactivation[J]. Photochem, 2021,1(2):302-318. doi: 10.3390/photochem1020019

    6. [6]

      Stelo F, Kublik N, Ullah S, Wender H. Recent advances in Bi2MoO6 based Z-scheme heterojunctions for photocatalytic degradation of pollutants[J]. J. Alloy. Compd., 2020,829154591. doi: 10.1016/j.jallcom.2020.154591

    7. [7]

      Nogueira A C, Gomes L E, Ferencz J A P, Rodrigues J E F S, Gonçalves R V, Wender H. Improved visible light photoactivity of CuBi2O4/CuO heterojunctions for photodegradation of methylene blue and metronidazole[J]. J. Phys. Chem. C, 2019,123:25680-25690. doi: 10.1021/acs.jpcc.9b06907

    8. [8]

      Gomes L E, Silva M F, Gonçalves R V, Machado G, Alcantara G B, Caires A R L, Wender H. Synthesis and visible-light-driven photocatalytic activity of Ta4+ self-doped gray Ta2O5 nanoparticles[J]. J. Phys. Chem. C, 2018,122:6014-6025.

    9. [9]

      Long M, Cai W M, Cai J, Zhou B X, Chai X Y, Wu Y H. Efficient photocatalytic degradation of phenol over Co3O4/BiVO4 composite under visible light irradiation[J]. J. Phys. Chem. B, 2006,110(41):20211-20216. doi: 10.1021/jp063441z

    10. [10]

      Kohtani S, Hiro J, Yamamoto N, Kudo A, Tokumura K, Nakagaki R. Adsorptive and photocatalytic properties of Ag-loaded BiVO4 on the degradation of 4-n-alkylphenols under visible light irradiation[J]. Catal. Commun., 2008,6(3):185-189.

    11. [11]

      Ge L. Novel Pd/BiVO4 composite photocatalysts for efficient degradation of methyl orange under visible light irradiation[J]. Mater. Chem. Phys., 2008,107(2):465-470.

    12. [12]

      Ge L. Novel visible-light-driven Pt/BiVO4 photocatalyst for efficient degradation of methyl orange[J]. J. Mol. Catal. A-Chem., 2008,282(1/2):62-66.

    13. [13]

      Bian Z Y, Zhu Y Q, Zhang G X, Ding A Z, Wang H. Visible-light driven degradation of ibuprofen using abundant metal-loaded BiVO4 photocatalysts[J]. Chemosphere, 2014,117:527-531. doi: 10.1016/j.chemosphere.2014.09.017

    14. [14]

      Wei Y, Zhang Y W, Miao J, Geng W, Long M C. In-situ utilization of piezo-generated hydrogen peroxide for efficient p-chlorophenol degradation by Fe loading bismuth vanadate[J]. Appl. Surf. Sci., 2021,543148791. doi: 10.1016/j.apsusc.2020.148791

    15. [15]

      Kudo A, Omori K, Kato H. A novel aqueous process for the preparation of crystal form-controlled and highly crystalline BiVO4 powder from layered vanadates at room temperature and its photocatalytic and photophysical properties[J]. J. Am. Chem. Soc., 1999,121(49):11459-11467. doi: 10.1021/ja992541y

    16. [16]

      Tokunaga S, Kato H, Kudo A. Selective preparation of monoclinic and tetragonal BiVO4 with scheelite structure and their photocatalytic properties[J]. Chem. Mater., 2001,13(12):4624-4628. doi: 10.1021/cm0103390

    17. [17]

      Ong W J, Putri L K, Tan L L, Chai S P, Yong S T. Heterostructured AgX/g-C3N4 (X=Cl and Br) nanocomposites via a sonication-assisted deposition precipitation approach: The emerging role of halide ions in the synergistic photocatalytic reduction of carbon dioxide[J]. Appl. Catal. B-Environ., 2016,180:530-543. doi: 10.1016/j.apcatb.2015.06.053

    18. [18]

      XU P, LI Y J, LIU C, LI M, DENG R C, KUANG M R. Preparation and visible light catalytic performance of silver doped mesoporous titanium dioxide[J]. J. Chin. Ceram. Soc., 2014,42(9):1196-1202.  

    19. [19]

      Zhang B, Zhang X M, Wei Y, Xia L, Pi C R, Song H, Zheng Y, Gao B, Fu J J, Chu P K. General synthesis of NiCo alloy nanochain arrays with thin oxide coating: A highly efficient bifunctional electrocatalyst for overall water splitting[J]. J. Alloy. Compd., 2019,797:1216-1223. doi: 10.1016/j.jallcom.2019.05.036

    20. [20]

      Guo Z W, Liu T, Wang Q T, Gao G H. Construction of cost-effective bimetallic nanoparticles on titanium carbides as a superb catalyst for promoting hydrolysis of ammonia borane[J]. RSC Adv., 2018,8(2):843-847. doi: 10.1039/C7RA10568A

    21. [21]

      ZHANG X Y, CHEN P, ZHAO Y X, LI X J, YANG S J, YANG Y. Fabrication and photocatalytic properties of MOF-808/Bi2MoO6 composites[J]. Chinese J. Inorg. Chem., 2023,39(5):805-814.  

    22. [22]

      ZHAO Y X, HU H, ZHOU X, YANG S J, YANG Y. Preparation and photocatalytic degradation performance of MOF-808/BiOCl composites[J]. Chinese J. Inorg. Chem., 2023,39(8):1553-1563.  

    23. [23]

      LIANG M J, DENG N, XIANG X Y, MEI Y, YANG Z Y, YANG Y, YANG S J. Bi/BiVO4 & Bi4V2O11 composite catalysts: Preparation and photocatalytic performance[J]. Chinese J. Inorg. Chem., 2019,35(2):263-270.

    24. [24]

      Walsh A, Yan Y F, Huda M N, Al-Jassim M M, Wei S H. Band edge electronic structure of BiVO4: Elucidating the role of the Bi s and V d orbitals[J]. Chem. Mater., 2009,21(3):547-551.

    25. [25]

      Sun S M, Wang W Z, Zhang L, Yin W Z, Shang M. Visible light- induced efficient contaminant removal by Bi5O7I[J]. Environ. Sci. Technol., 2009,43(6):2005-2010.

    26. [26]

      Chang X F, Huang J, Cheng C, Sui Q, Sha W, Ji G B, Deng S B, Yu G. BiOX (X=Cl, Br, I) photocatalysts prepared using NaBiO3 as the Bi source: Characterization and catalytic performance[J]. Catal. Commun., 2010,11(5):460-464.

    27. [27]

      Zhang L, Wang W Z, Zhou L, Xu H L. Bi2WO6 nano and microstructures: Shape control and associated visible-light-driven photocatalytic activities[J]. Small, 2007,3(9):1618-1625.

    28. [28]

      Oh W C, Liu Y, Cho K Y, Biswas M R U D. Sonochemical synthesis of PANI-BiVO4-GO semiconductor nanocomposite highly efficient visible-light photocatalytic performance[J]. Fuller. Nanotub. Carbon Nanostruct., 2020,28(11):945-958.

    29. [29]

      Kumar M, Elqahtani Z M, Alrowaili Z A, Al-Buriahi M S, Kebaili I, Boukhris I, Vaish R. Photocatalytic BiVO4-cement composites for dye degradation[J]. J. Electron. Mater., 2023,52:4672-4685.

    30. [30]

      Kumar M, Ansari M N M, Boukhris I, Al-Buriahi M S, Alrowaili Z A, Alfryyan N, Thomas P, Vaish R. Sonophotocatalytic dye degradation using rGO-BiVO4 composites[J]. Global Challenges, 2022,6(6)2100132.

    31. [31]

      Sánchez-Albores R M, Pérez-Sariñana B Y, Meza-Avendaño C A, Sebastian P G, Reyes-Vallejo O, Robles-Ocampo J B. Hydrothermal synthesis of bismuth vanadate-alumina assisted by microwaves to evaluate the photocatalytic activity in the degradation of methylene blue[J]. Catal. Today, 2020,353(15):126-133.

    32. [32]

      Channei D, Nakaruk A, Khanitchaidecha W, Jannoey P, Phanichphant S. Adsorption and photocatalytic processes of mesoporous SiO2-coated monoclinic BiVO4[J]. Front. Chem., 2018,6415.

  • 加载中
    1. [1]

      Aoran LIURui LIZongyao WANGPenghui SHANGJiawei WANDan WANG . Hollow multi-shelled structure materials for catalytic applications. Chinese Journal of Inorganic Chemistry, 2025, 41(10): 2039-2053. doi: 10.11862/CJIC.20250036

    2. [2]

      Wenda WANGJinku MAYuzhu WEIShuaishuai MA . Waste biomass-derived carbon modified porous graphite carbon nitride heterojunction for efficient photodegradation of oxytetracycline in seawater. Chinese Journal of Inorganic Chemistry, 2024, 40(4): 809-822. doi: 10.11862/CJIC.20230353

    3. [3]

      Huirong LIUHao XUDunru ZHUJunyong ZHANGChunhua GONGJingli XIE . Syntheses, structures, photochromic and photocatalytic properties of two viologen-polyoxometalate hybrid materials. Chinese Journal of Inorganic Chemistry, 2024, 40(7): 1368-1376. doi: 10.11862/CJIC.20240066

    4. [4]

      Fei ZHOUXiaolin JIA . Co3O4/TiO2 composite photocatalyst: Preparation and synergistic degradation performance of toluene. Chinese Journal of Inorganic Chemistry, 2024, 40(11): 2232-2240. doi: 10.11862/CJIC.20240236

    5. [5]

      Min ZHUYuxin WANGXiao LIYaxu XUJunwen ZHUZihao WANGYu ZHUXiaochen HUANGDan XUMonsur Showkot Hossain Abul . Construction of AgVO3/ZIF-8 composites for enhanced degradation of tetracycline. Chinese Journal of Inorganic Chemistry, 2025, 41(5): 994-1006. doi: 10.11862/CJIC.20240392

    6. [6]

      Jin ZHANGYuting WANGBin YUYuxin ZHONGYufeng ZHANG . Corn straw-derived carbon/BiOBr composite: Synthesis and photocatalytic degradation performance for rhodamine B. Chinese Journal of Inorganic Chemistry, 2025, 41(7): 1397-1408. doi: 10.11862/CJIC.20250028

    7. [7]

      Xiaofan ZHANGYu DUANMeijie SHINan LURenhong LIXiaoqing YAN . Z-scheme Co3O4/BiOBr heterojunction for efficient photoreduction CO2 reduction. Chinese Journal of Inorganic Chemistry, 2025, 41(9): 1878-1888. doi: 10.11862/CJIC.20250079

    8. [8]

      Qi HUANGYouyi WANGZhujian MAOZhonghui YEWeihan CHENJui-yeh RAUJian HUANG . Enhanced photocatalytic tetracycline degradation via 2D CdS/Ti3AlC2 MAX heterostructure. Chinese Journal of Inorganic Chemistry, 2025, 41(11): 2385-2398. doi: 10.11862/CJIC.20250159

    9. [9]

      Lixing LUShaoxian LIUJian XUZiqi JINJiongjia CHENGJiyang ZHAOFubo WANGHaiying WANG . [FeFe]-hydrogenase-containing compound and its photocatalytic H2-production performance. Chinese Journal of Inorganic Chemistry, 2025, 41(12): 2584-2590. doi: 10.11862/CJIC.20250200

    10. [10]

      Ruolin CHENGYue WANGFei YANGHuagen LIANGShijian LU . Application of metal-organic frameworks (MOFs) in photocatalytic CO2 cycloaddition reaction: A mini review. Chinese Journal of Inorganic Chemistry, 2025, 41(12): 2429-2440. doi: 10.11862/CJIC.20250242

    11. [11]

      Ruru MAYingjie SONGYahui LIErmin ZHOUDeqiang LIXiaojuan HUANGJun LI . Synergistic nitrogen doping and carbon support in TiO2 for enhanced photocatalytic degradation of methylene blue and oxytetracycline. Chinese Journal of Inorganic Chemistry, 2026, 42(3): 641-656. doi: 10.11862/CJIC.20250221

    12. [12]

      Mingze ANBingbing ZHANGZhao YANGHao PUWeijie CHENBin XUESheng WANGXiaoyan DINGLulu SHI . Construction of an S-scheme g-C3N4/TiO2 heterostructure for tetracycline degradation and hydrogen production. Chinese Journal of Inorganic Chemistry, 2026, 42(4): 843-860. doi: 10.11862/CJIC.20250301

    13. [13]

      Ruilong WANGJinlong MAOGuoxia JINJianping MAHaiying WANGJie QIN . 2-Cyanobenzyl-substituted [FeFe]-hydrogenase compounds: Preparation, characterization, and photocatalytic H2-production performance. Chinese Journal of Inorganic Chemistry, 2026, 42(4): 817-825. doi: 10.11862/CJIC.20250376

    14. [14]

      Tengyue ZHANGJingjing FENGZili LIANGJia′nan DAIJing MA . Optimization of C-doped BiVO4 performance for tetracycline degradation using response surface methodology-assisted orthogonal experiments. Chinese Journal of Inorganic Chemistry, 2025, 41(12): 2561-2574. doi: 10.11862/CJIC.20250104

    15. [15]

      Peng YUELiyao SHIJinglei CUIHuirong ZHANGYanxia GUO . Effects of Ce and Mn promoters on the selective oxidation of ammonia over V2O5/TiO2 catalyst. Chinese Journal of Inorganic Chemistry, 2025, 41(2): 293-307. doi: 10.11862/CJIC.20240210

    16. [16]

      Bing WEIJianfan ZHANGZhe CHEN . Research progress in fine tuning of bimetallic nanocatalysts for electrocatalytic carbon dioxide reduction. Chinese Journal of Inorganic Chemistry, 2025, 41(3): 425-439. doi: 10.11862/CJIC.20240201

    17. [17]

      Yongwei ZHANGChuang ZHUWenbin WUYongyong MAHeng YANG . Efficient hydrogen evolution reaction activity induced by ZnSe@nitrogen doped porous carbon heterojunction. Chinese Journal of Inorganic Chemistry, 2025, 41(4): 650-660. doi: 10.11862/CJIC.20240386

    18. [18]

      Chenyang WANGYiyan BAIWei ZHANGZhaorong LIUYuchun WANG . Performance of photo-assisted copper oxide catalyzed hydrolysis of ammonia borane to produce hydrogen. Chinese Journal of Inorganic Chemistry, 2026, 42(1): 97-110. doi: 10.11862/CJIC.20250116

    19. [19]

      Wenruo NIHongpeng LIYun ZHANGYiran TIANJiehui RUIYingcheng TONGXiaolin PIZhenyan TANG . Research progress of ruthenium alloy catalysts in hydrogen evolution reaction. Chinese Journal of Inorganic Chemistry, 2026, 42(1): 23-44. doi: 10.11862/CJIC.20250188

    20. [20]

      Shuting KONGFengshi ZHANGZhiyi LUYanling LIUMinglang YEZhengfang HULongsheng WANGBing HUHaiying WANG . Research advance of the preparation of tributyl citrate catalyzed by supported heteropolyacid catalysts. Chinese Journal of Inorganic Chemistry, 2026, 42(3): 441-452. doi: 10.11862/CJIC.20250303

Metrics
  • PDF Downloads(1)
  • Abstract views(1408)
  • HTML views(138)

通讯作者: 陈斌, bchen63@163.com
  • 1. 

    沈阳化工大学材料科学与工程学院 沈阳 110142

  1. 本站搜索
  2. 百度学术搜索
  3. 万方数据库搜索
  4. CNKI搜索
Address:Zhongguancun North First Street 2,100190 Beijing, PR China Tel: +86-010-82449177-888
Powered By info@rhhz.net

/

DownLoad:  Full-Size Img  PowerPoint
Return