Citation: Bo YANG, Gongxuan LÜ, Jiantai MA. Nickel phosphide modified phosphorus doped gallium oxide for visible light photocatalytic water splitting to hydrogen[J]. Chinese Journal of Inorganic Chemistry, ;2024, 40(4): 736-750. doi: 10.11862/CJIC.20230346 shu

Nickel phosphide modified phosphorus doped gallium oxide for visible light photocatalytic water splitting to hydrogen

  • Corresponding author: Gongxuan LÜ, gxlu@lzb.ac.cn
  • Received Date: 16 September 2023
    Revised Date: 16 January 2024

Figures(12)

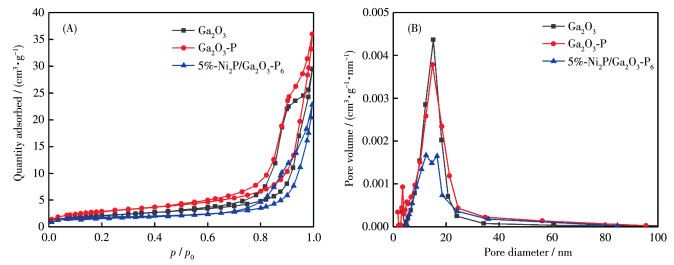
  • Nickel phosphide (Ni2P) modified phosphorus doped gallium oxide (Ga2O3) (x-Ni2P/Ga2O3-Py, x represents the molar ratio of Ni2+ and Ga2O3, y represents the molar ratio of NaH2PO·H2O and Ga2O3) photocatalyst was prepared by impregnation and low temperature phosphating method using Ga2O3 semiconductor as a precursor. 5%-Ni2P/Ga2O3-P6 exhibits excellent photocatalytic hydrogen evolution activity in pure water and has a photo quantum efficiency of 0.22% under 430 nm monochromatic light irradiation. The mechanism study shows that phosphorus doping and Ni2P cocatalyst modification extend the photo-response range and promote carrier separation and migration efficiency. The long-term photocatalytic stability is better than that of a non-phosphating catalyst.
  • 加载中
    1. [1]

      Fujishima A, Honda K. Electrochemical photolysis of water at a semiconductor electrode[J]. Nature, 1972,238(5358):37-38. doi: 10.1038/238037a0

    2. [2]

      YE Z, LUO H L, JIANG Z, SHANGGUAN W F. Recent advances of photocatalytic CO2 overall reduction[J]. J. Mol. Catal. (China), 2023,37(2):174-186.  

    3. [3]

      ZHOU F. Research progress of graphitic carbon nitride for photocatalytic oxidation of benzyl alcohol coupled with hydrogen production[J]. J. Mol. Catal. (China), 2023,37(4):397-404.  

    4. [4]

      LI B Y, HE F G, ZHANG M H, ABDUKADER A. Modification of metal organic framework materials and their application in photo-catalytic hydrogen evolution[J]. J. Mol. Catal. (China), 2023,37(1):94-107.  

    5. [5]

      Fu L, Liu Y Q, Hu P, Xiao K, Yu G, Zhu D B. Ga2O3 nanoribbons: Synthesis, characterization, and electronic properties[J]. Chem. Mat., 2003,15(22):4287-4291. doi: 10.1021/cm0343655

    6. [6]

      Lueangchaichaweng W, Brooks N R, Fiorilli S, Gobechiya E, Lin K F, Li L, Parres-Esclapez S, Javon E, Bals S, Van Tendeloo G, Martens J A, Kirschhock C E A, Jacobs P A, Pescarmona P P. Gallium oxide nanorods: Novel, template-free synthesis and high catalytic activity in epoxidation reactions[J]. Angew. Chem. Int. Ed., 2014,53(6):1585-1589. doi: 10.1002/anie.201308384

    7. [7]

      Ogita M, Higo K, Nakanishi Y, Hatanaka Y. Ga2O3 thin film for oxygen sensor at high temperature[J]. Appl. Surf. Sci., 2001,175:721-725.

    8. [8]

      Wang J, Ibarra V, Barrera D, Xu L, Lee Y J, Hsu J L W P. Solution synthesized p-type copper gallium oxide nanoplates as hole transport layer for organic photovoltaic devices[J]. J. Phys. Chem. Lett., 2015,6(6):1071-1075. doi: 10.1021/acs.jpclett.5b00236

    9. [9]

      CHEN H Y, LI R Z, CHEN Y, DU L J, HU Y, XU X Y, XIONG J R, CHENG J J. Preparation of BiOCl/ BiPO4 photocatalyst composite and its properties study[J]. J. Mol. Catal. (China), 2021,35(2):130-140.  

    10. [10]

      Wang M, Lu G X. Improved light harvesting and efficiency for overall water splitting by embedding TiO2 transition layer in GaP/Ga2O3/Ga2Se3 multijunction photocatalyst[J]. Sol. RRL, 2021,5(6)2000619. doi: 10.1002/solr.202000619

    11. [11]

      Zhang X Q, Lu G X, Wu Y Q, Dong J L, Wang C W. TiO2 protection layer and well-matched interfaces enhance the stability of Cu2ZnSnS4/CdS/TiO2 for visible light driven water splitting[J]. Catal. Sci. Technol., 2021,11(16):5505-5517. doi: 10.1039/D1CY00853F

    12. [12]

      Dong J L, Zhang X Q, Lu G X, Wang C W. Generation of enhanced stability of SnO/In(OH)3/InP for photocatalytic water splitting by SnO protection layer[J]. Front. Energy, 2021,15(3):710-720. doi: 10.1007/s11708-021-0764-x

    13. [13]

      WANG Y X, LIU Y J, TAO R, FAN X X. Preparation and photocatalytic properties of K/Cl doped g-C3N4[J]. J. Mol. Catal. (China), 2022,36(6):561-570.  

    14. [14]

      Jia M Z, Lu G X. 750 nm visible light-driven overall water splitting to H2 and O2 over boron-doped Zn3As2 photocatalyst[J]. Appl. Catal. B-Environ., 2023,338123045. doi: 10.1016/j.apcatb.2023.123045

    15. [15]

      Zhang X Q, Lu G X, Ning X F, Wang C W. Boron substitution enhanced activity of BxGa1-xAs/GaAs photocatalyst for water splitting[J]. Appl. Catal. B-Environ., 2022,300120690. doi: 10.1016/j.apcatb.2021.120690

    16. [16]

      Asahi R, Morikawa T, Ohwaki T, Aoki K, Taga Y. Visible-light photocatalysis in nitrogen-doped titanium oxides[J]. Science, 2001,293(5528):269-271. doi: 10.1126/science.1061051

    17. [17]

      Tsai C W, Chen H M, Liu R S, Asakura K, Chan T S. Ni@NiO core-shell structure-modified nitrogen-doped InTaO4 for solar-driven highly efficient CO2 reduction to methanol[J]. J. Phys. Chem. C, 2011,115(20):10180-10186. doi: 10.1021/jp2020534

    18. [18]

      Xu L, Tang C Q, Qian J, Huang Z B. Theoretical and experimental study on the electronic structure and optical absorption properties of P-doped TiO2[J]. Appl. Surf. Sci., 2010,256(9):2668-2671. doi: 10.1016/j.apsusc.2009.11.046

    19. [19]

      Yu J C, Zhang L Z, Zheng Z, Zhao J C. Synthesis and characterization of phosphated mesoporous titanium dioxide with high photocatalytic activity[J]. Chem. Mat., 2003,15(11):2280-2286. doi: 10.1021/cm0340781

    20. [20]

      Deng Y J, Lu Y, Liu J K, Yang X H. Mass production and photoelectric performances of P and Al Co-doped ZnO nanocrystals under different cooling post-processes[J]. J. Alloy. Compd., 2015,648:438-444. doi: 10.1016/j.jallcom.2015.07.031

    21. [21]

      Gao H H, Zhang S W, Xu J Z, Dou Y, Zhou J T, Zhou R. Activating and optimizing activity of CdS@g-C3N4 heterojunction for photocatalytic hydrogen evolution through the synergistic effect of phosphorus doping and defects[J]. J. Alloy. Compd., 2020,834155201. doi: 10.1016/j.jallcom.2020.155201

    22. [22]

      Liang Q, Zhang C J, Xu S, Zhou M, Zhou Y T, Li Z Y. In situ growth of CdS quantum dots on phosphorus-doped carbon nitride hollow tubes as active 0D/1D heterostructures for photocatalytic hydrogen evolution[J]. J. Colloid Interface Sci., 2020,577:1-11. doi: 10.1016/j.jcis.2020.05.053

    23. [23]

      Shi R, Ye H F, Liang F, Wang Z, Li K, Weng Y X, Lin Z S, Fu W F, Che C M, Chen Y. Interstitial P-doped CdS with long-lived photogenerated electrons for photocatalytic water splitting without sacrificial agents[J]. Adv. Mater., 2018,30(6)1705941. doi: 10.1002/adma.201705941

    24. [24]

      Huang H M, Dai B Y, Wang W, Lu C H, Kou J H, Ni Y R, Wang L Z, Xu Z Z. Oriented built-in electric field introduced by surface gradient diffusion doping for enhanced photocatalytic H2 evolution in CdS nanorods[J]. Nano Lett., 2017,17(6):3803-3808. doi: 10.1021/acs.nanolett.7b01147

    25. [25]

      Khan K, Tao X P, Shi M, Zeng B, Feng Z C, Li C, Li R G. Visible-light-driven photocatalytic hydrogen production on Cd0.5Zn0.5S nanorods with an apparent quantum efficiency exceeding 80%[J]. Adv. Funct. Mater., 2020,30(42)2003731. doi: 10.1002/adfm.202003731

    26. [26]

      Guo C F, Li L, Chen F, Ning J Q, Zhong Y J, Hu Y. One-step phosphorization preparation of gradient-P-doped CdS/CoP hybrid nanorods having multiple channel charge separation for photocatalytic reduction of water[J]. J. Colloid Interface Sci., 2021,596:431-441. doi: 10.1016/j.jcis.2021.03.170

    27. [27]

      ZHANG Z Y, SHI C C, ZHANG X, MI Y. Carbazole-based covalent organic frameworks for photocatalytic hydrogen evolution[J]. J. Mol. Catal. (China), 2023,37(4):367-374.  

    28. [28]

      ZHANG H Y, GUO J W, GONG J R, XIN X, LI H W, YANG J M, HUANG S. S. Study on the electronic structure modulation and photocatalytic performance of bismuth oxychloride photocatalysts[J]. J. Mol. Catal. (China), 2022,36(5):433-445.  

    29. [29]

      ZHENG H Q, FAN Y T. Study of photocatalytic hydrogen production performance and mechanism of 'Open Butterfly'[2Fe2S] compounds[J]. J. Mol. Catal. (China), 2023,37(4):331-341.  

    30. [30]

      HOU H X, ZHANG J Y, CAI P L, Lin J. Ultrasound-driven deposition of Au nanoparticles on CdS for efficient photocatalytic hydrogen evolution[J]. J. Mol. Catal. (China), 2022,36(2):129-136.  

    31. [31]

      Cao S, Chen Y, Wang C J, Lv X J, Fu W F. Spectacular photocatalytic hydrogen evolution using metal-phosphide/CdS hybrid catalysts under sunlight irradiation[J]. Chem. Commun., 2015,51(41):8708-8711. doi: 10.1039/C5CC01799H

    32. [32]

      Sun Z J, Zheng H F, Li J S, Du P W. Extraordinarily efficient photocatalytic hydrogen evolution in water using semiconductor nanorods integrated with crystalline Ni2P cocatalysts[J]. Energy Environ. Sci., 2015,8(9):2668-2676. doi: 10.1039/C5EE01310K

    33. [33]

      Sun Z J, Yue Q D, Li J S, Xu J, Zheng H F, Du P W. Copper phosphide modified cadmium sulfide nanorods as a novel p-n heterojunction for highly efficient visible-light-driven hydrogen production in water[J]. J. Mater. Chem. A, 2015,3(19):10243-10247. doi: 10.1039/C5TA02105G

    34. [34]

      Zhen W L, Ning X F, Yang B J, Wu Y Q, Li Z, Lu G X. The enhancement of CdS photocatalytic activity for water splitting via anti-photocorrosion by coating Ni2P shell and removing nascent formed oxygen with artificial gill[J]. Appl. Catal. B-Environ., 2018,221:243-257. doi: 10.1016/j.apcatb.2017.09.024

    35. [35]

      Indra A, Acharjya A, Menezes P W, Merschjann C, Hollmann D, Schwarze M, Aktas M, Friedrich A, Lochbrunner S, Thomas A, Driess M. Boosting visible-light-driven photocatalytic hydrogen evolution with an integrated nickel phosphide-carbon nitride system[J]. Angew. Chem. Int. Ed., 2017,56(6):1653-1657. doi: 10.1002/anie.201611605

    36. [36]

      Cheng H Q, Lv X J, Cao S, Zhao Z Y, Chen Y, Fu W F. Robustly photogenerating H2 in water using FeP/CdS catalyst under solar irradiation[J]. Sci Rep., 2016,619846. doi: 10.1038/srep19846

    37. [37]

      YANG B, LÜ G X, ZHANG X Q, MA J T. Nickel phosphide corrosion induced by water and corrosion inhibition[J]. Chinese J. Inorg. Chem., 2022,38(7):1337-1349.  

    38. [38]

      Ning X F, Lu G X. Photocorrosion inhibition of CdS-based catalysts for photocatalytic overall water splitting[J]. Nanoscale, 2020,12(3):1213-1223. doi: 10.1039/C9NR09183A

    39. [39]

      WANG C Y, WU W H, SHI X M, ZHAO Y Y, WANG Q Q. Preparation and photocatalytic properties of ZnS-based nanocomposite catalysts with different morphologies[J]. J. Mol. Catal. (China), 2021,35(2):141-150.  

    40. [40]

      Pilliadugula R, Gopalakrishnan N. Room temperature ammonia sensing performances of pure and Sn doped beta-Ga2O3[J]. Mater. Sci. Semicond. Process, 2021,135106086. doi: 10.1016/j.mssp.2021.106086

    41. [41]

      Xie C, Lu X T, Ma M R, Tong X W, Zhang Z X, Wang L, Wu C Y, Yang W H, Luo L B. Catalyst-free vapor-solid deposition growth of beta-Ga2O3 nanowires for DUV photodetector and image sensor application[J]. Adv. Opt. Mater., 2019,7(24)1901257. doi: 10.1002/adom.201901257

    42. [42]

      Liu D P, Wang A J, Liu C G, Prins R. Bulk and Al2O3-supported Ni2P HDS catalysts prepared by separating the nickel and hypophosphite sources[J]. Catal. Commun., 2016,77:13-17. doi: 10.1016/j.catcom.2016.01.008

    43. [43]

      Chen X H, Ren F F, Gu S L, Ye J D. Review of gallium-oxide-based solar-blind ultraviolet photodetectors[J]. Photonics Res., 2019,7(4):381-415. doi: 10.1364/PRJ.7.000381

    44. [44]

      Iwase M, Yamada K, Kurisaki T, Ohtani B, Wakita H. A study on the active sites for visible-light photocatalytic activity of phosphorus-doped titanium(Ⅳ) oxide particles prepared using a phosphide compound[J]. Appl. Catal. B-Environ., 2013,140:327-332.

    45. [45]

      Gopal R, Goyal A, Saini A, Nagar M, Sharma N, Gupta D K, Dhayal V. Sol-gel synthesis of Ga2O3 nanorods and effect of precursor chemistry on their structural and morphological properties[J]. Ceram. Int., 2018,44(16):19099-19105. doi: 10.1016/j.ceramint.2018.07.173

    46. [46]

      Luo Y M, Hou Z Y, Gao J, Jin D F, Zheng X M. Synthesis of high crystallization beta-Ga2O3 micron rods with tunable morphologies and intensive blue emission via solution route[J]. Mater. Sci. Eng. B-Adv Funct. Solid-State Mater., 2007,140(1/2):123-127.

    47. [47]

      Han C Q, Mao W T, Bao K Y, Xie H Q, Jia Z Y, Ye L Q. Preparation of Ag/Ga2O3 nanofibers via electrospinning and enhanced photocatalytic hydrogen evolution[J]. Int. J. Hydrog. Energy, 2017,42(31):19913-19919. doi: 10.1016/j.ijhydene.2017.06.076

    48. [48]

      Gopal N O, Lo H H, Ke T F, Lee C H, Chou C C, Wu J D, Sheu S C, Ke S C. Visible light active phosphorus-doped TiO2 nanoparticles: an EPR evidence for the enhanced charge separation[J]. J. Phys. Chem. C, 2012,116(30):16191-16197. doi: 10.1021/jp212346f

    49. [49]

      Ansari S A, Cho M H. Highly visible light responsive, narrow band gap TiO2 nanoparticles modified by elemental red phosphorus for photocatalysis and photoelectrochemical applications[J]. Sci Rep, 2016,625405. doi: 10.1038/srep25405

    50. [50]

      Huang Z P, Chen Z B, Chen Z Z, Lv C C, Meng H, Zhang C. Ni12P5 nanoparticles as an efficient catalyst for hydrogen generation via electrolysis and photoelectrolysis[J]. ACS Nano, 2014,8(8):8121-8129. doi: 10.1021/nn5022204

    51. [51]

      Ye H F, Shi R, Yang X, Fu W F, Chen Y. P-doped ZnxCd1-xS solid solutions as photocatalysts for hydrogen evolution from water splitting coupled with photocatalytic oxidation of 5-hydroxymethylfurfural[J]. Appl. Catal. B-Environ., 2018,233:70-79. doi: 10.1016/j.apcatb.2018.03.060

    52. [52]

      Zhu Q H, Xu Z H, Yi Q Y, Nasir M, Xing M Y, Qiu B C, Zhang J. L. Prolonged electron lifetime in sulfur vacancy-rich ZnCdS nanocages by interstitial phosphorus doping for photocatalytic water reduction[J]. Mat. Chem. Front., 2020,4(11):3234-3239. doi: 10.1039/D0QM00464B

    53. [53]

      Zhu M S, Kim S, Mao L, Fujitsuka M, Zhang J Y, Wang X C, Majima T. Metal-free photocatalyst for H2 evolution in visible to near-infrared region: Black phosphorus/graphitic carbon nitride[J]. J. Am. Chem. Soc., 2017,139(37):13234-13242. doi: 10.1021/jacs.7b08416

    54. [54]

      Zhang K, Xu Z W, Zhang S N, Wang H, Cheng H J, Hao J M, Wu J T, Fang F Z. Raman and photoluminescence properties of un-/ion-doped beta-Ga2O3 single-crystals prepared by edge-defined film-fed growth method[J]. Physica B, 2021,600412624. doi: 10.1016/j.physb.2020.412624

    55. [55]

      Liu F, Xue F, Si Y T, Chen G J, Guan X J, Lu K J, Liu M C. Functionalized Cd0.5Zn0.5S chalcogenide nanotwins enabling Z-scheme photocatalytic water splitting[J]. ACS Appl. Nano Mater., 2021,4(1):759-768. doi: 10.1021/acsanm.0c03054

    56. [56]

      Rissi E N, Soignard E, McKiernan K A, Benmore C J, Yarger J L. Pressure-induced crystallization of amorphous red phosphorus[J]. Solid State Commun., 2012,152(5):390-394. doi: 10.1016/j.ssc.2011.12.003

    57. [57]

      Sun Z B, Xie H H, Tang S Y, Yu X F, Guo Z N, Shao J D, Zhang H, Huang H, Wang H Y, Chu P K. Ultrasmall black phosphorus quantum dots: Synthesis and use as photothermal agents[J]. Angew. Chem. Int. Ed., 2015,54(39):11526-11530. doi: 10.1002/anie.201506154

    58. [58]

      Srihari V, Sridharan V, Sahu H, Raghavan G, Sastry V, Sundar C. Combustion synthesis of Ga2O3 nanoparticles[J]. J. Mater. Sci., 2009,44(2):671-675. doi: 10.1007/s10853-008-3013-3

    59. [59]

      Sinha G, Ganguli D, Chaudhuri S. Crystallization and optical properties of finite sized beta-Ga2O3 in sol-gel derived Ga2O3: SiO2 nanocomposites[J]. J. Phys.-Condes. Matter., 2006,18(49):11167-11176. doi: 10.1088/0953-8984/18/49/010

    60. [60]

      Nieminen M, Niinisto L, Lappalainen R. Determination of P/Al ratio in phosphorus-doped aluminum-oxide thin-films by XRF, RBS and FTIR[J]. Microchim. Acta, 1995,119(1/2):13-22.

    61. [61]

      Feng K T, Xue W H, Hu X Y, Fan J, Liu E Z. Z-scheme CdSe/ZnSe heterojunction for efficient photocatalytic hydrogen evolution[J]. Colloid Surf. A-Physicochem. Eng. Asp., 2021,622126633. doi: 10.1016/j.colsurfa.2021.126633

    62. [62]

      West C, Mokaya R. Nanocasting of high surface area mesoporous Ga2O3 and GaN semiconductor materials[J]. Chem. Mat., 2009,21(17):4080-4086. doi: 10.1021/cm902015f

    63. [63]

      Li S S, Wang L, Li Y D, Zhang L H, Wang A X, Xiao N, Gao Y Q, Li N, Song W Y, Ge L, Liu J. Novel photocatalyst incorporating Ni-Co layered double hydroxides with P-doped CdS for enhancing photocatalytic activity towards hydrogen evolution[J]. Appl. Catal. B-Environ., 2019,254:145-155. doi: 10.1016/j.apcatb.2019.05.001

    64. [64]

      Zhang Y, Lin Y Z, Wang Z X, Li K, Li T, Liu F T. Hybrid VS2 cocatalyst and phosphorus dopant towards both surface and bulk modification of ZnCdS/CdS heterostructures[J]. Catal. Sci. Technol., 2019,9(3):583-587. doi: 10.1039/C8CY02242A

  • 加载中
    1. [1]

      Qiangqiang SUNPengcheng ZHAORuoyu WUBaoyue CAO . Multistage microporous bifunctional catalyst constructed by P-doped nickel-based sulfide ultra-thin nanosheets for energy-efficient hydrogen production from water electrolysis. Chinese Journal of Inorganic Chemistry, 2024, 40(6): 1151-1161. doi: 10.11862/CJIC.20230454

    2. [2]

      Hailang JIAYujie LUPengcheng JI . Preparation and properties of nitrogen and phosphorus co-doped graphene carbon aerogel supported ruthenium electrocatalyst for hydrogen evolution reaction. Chinese Journal of Inorganic Chemistry, 2025, 41(11): 2327-2336. doi: 10.11862/CJIC.20250021

    3. [3]

      Yachao HUANGChuanwang ZENGGuiyong LIUJinming ZENGChao LIUXiaopeng QI . Oxygen vacancies and phosphorus doping enhanced metal-organic framework derived nitrogen-doped carbon-coated Co3O4 bifunctional electrocatalyst. Chinese Journal of Inorganic Chemistry, 2025, 41(11): 2251-2260. doi: 10.11862/CJIC.20250133

    4. [4]

      Jinhui JiangJiaqi SunYongyi ChenLei ZhangPengyu Dong . W18O49/Al-doped SrTiO3 S-scheme heterojunction aided by the LSPR effect for full-spectrum solar light-driven photocatalytic hydrogen evolution. Acta Physico-Chimica Sinica, 2025, 41(11): 100145-0. doi: 10.1016/j.actphy.2025.100145

    5. [5]

      Mian WeiChang ChengBowen HeBei ChengKezhen QiChuanbiao Bie . Inorganic-organic CdS/YBTPy S-scheme photocatalyst for efficient hydrogen production and its mechanism. Acta Physico-Chimica Sinica, 2025, 41(12): 100158-0. doi: 10.1016/j.actphy.2025.100158

    6. [6]

      Ruiyun LiuPing WangXuefei WangFeng ChenHuogen Yu . Work-function-engineered Mo 4d electronic structure modulation in Mo2C MXene cocatalyst for efficient photocatalytic H2 evolution. Acta Physico-Chimica Sinica, 2025, 41(11): 100137-0. doi: 10.1016/j.actphy.2025.100137

    7. [7]

      Jiaqi YangXuqiang HaoJiejie JingYuqiang HaoZhiliang Jin . 3D/2D ReSe2/ZnCdS S-scheme photocatalyst with efficient interfacial charge separation for optimized hydrogen production. Acta Physico-Chimica Sinica, 2025, 41(10): 100131-0. doi: 10.1016/j.actphy.2025.100131

    8. [8]

      Yujin DengYishuang ChenLijie ZhangHuile JinYun YangQuanlong XuShun Wang . Plasmonic Au nanobipyramid assembly covalent organic framework for boosting photocatalytic hydrogen evolution through strong local electric field. Acta Physico-Chimica Sinica, 2026, 42(6): 100193-0. doi: 10.1016/j.actphy.2025.100193

    9. [9]

      Han WANGBaihui CHENChunlai WANGZhitao SHAO . Preparation and performance of lithium-sulfur battery of Ni2P/carbon nanotube modified separator. Chinese Journal of Inorganic Chemistry, 2026, 42(5): 933-943. doi: 10.11862/CJIC.20250334

    10. [10]

      Meiran LiYingjie SongXin WanYang LiYiqi LuoYeheng HeBowen XiaHua ZhouMingfei Shao . Nickel-Vanadium Layered Double Hydroxides for Efficient and Scalable Electrooxidation of 5-Hydroxymethylfurfural Coupled with Hydrogen Generation. Acta Physico-Chimica Sinica, 2024, 40(9): 2306007-0. doi: 10.3866/PKU.WHXB202306007

    11. [11]

      Jiali LeiJuan WangWenhui ZhangGuohong WangZihui LiangJinmao Li . TiO2/CdIn2S4 S-scheme heterojunction photocatalyst promotes photocatalytic hydrogen evolution coupled vanillyl alcohol oxidation. Acta Physico-Chimica Sinica, 2025, 41(12): 100174-0. doi: 10.1016/j.actphy.2025.100174

    12. [12]

      Hailang JIAPengcheng JIHongcheng LI . Preparation and performance of nickel doped ruthenium dioxide electrocatalyst for oxygen evolution. Chinese Journal of Inorganic Chemistry, 2025, 41(8): 1632-1640. doi: 10.11862/CJIC.20240398

    13. [13]

      Jia WangQing QinZhe WangXuhao ZhaoYunfei ChenLiqiang HouShangguo LiuXien Liu . P-Doped Carbon-Supported ZnxPyOz for Efficient Ammonia Electrosynthesis under Ambient Conditions. Acta Physico-Chimica Sinica, 2024, 40(3): 2304044-0. doi: 10.3866/PKU.WHXB202304044

    14. [14]

      Kaihui HuangDejun ChenXin ZhangRongchen ShenPeng ZhangDifa XuXin Li . Constructing Covalent Triazine Frameworks/N-Doped Carbon-Coated Cu2O S-Scheme Heterojunctions for Boosting Photocatalytic Hydrogen Production. Acta Physico-Chimica Sinica, 2024, 40(12): 2407020-0. doi: 10.3866/PKU.WHXB202407020

    15. [15]

      Ze LuoYukun ZhuYadan LuoGuangmin RenYonghong WangHua Tang . Photocatalytic selective oxidation of 5-hydroxymethylfurfural coupled with H2 evolution over In2O3/ZnIn2S4 S-scheme heterojunction. Acta Physico-Chimica Sinica, 2026, 42(3): 100166-0. doi: 10.1016/j.actphy.2025.100166

    16. [16]

      Fan FanHao XiuYuting WangYongpeng CuiYajun Wang . Construction of NH2-MIL-125/Na-doped g-C3N4 composite S-scheme heterojunction and its performance in photocatalytic hydrogen peroxide production. Acta Physico-Chimica Sinica, 2026, 42(2): 100143-0. doi: 10.1016/j.actphy.2025.100143

    17. [17]

      Kai CHENFengshun WUShun XIAOJinbao ZHANGLihua ZHU . PtRu/nitrogen-doped carbon for electrocatalytic methanol oxidation and hydrogen evolution by water electrolysis. Chinese Journal of Inorganic Chemistry, 2024, 40(7): 1357-1367. doi: 10.11862/CJIC.20230350

    18. [18]

      Qingqing SHENXiangbowen DUKaicheng QIANZhikang JINZheng FANGTong WEIRenhong LI . Self-supporting Cu/α-FeOOH/foam nickel composite catalyst for efficient hydrogen production by coupling methanol oxidation and water electrolysis. Chinese Journal of Inorganic Chemistry, 2024, 40(10): 1953-1964. doi: 10.11862/CJIC.20240028

    19. [19]

      Mingze ANBingbing ZHANGZhao YANGHao PUWeijie CHENBin XUESheng WANGXiaoyan DINGLulu SHI . Construction of an S-scheme g-C3N4/TiO2 heterostructure for tetracycline degradation and hydrogen production. Chinese Journal of Inorganic Chemistry, 2026, 42(4): 843-860. doi: 10.11862/CJIC.20250301

    20. [20]

      Qing LiGuangxun ZhangYuxia XuYangyang SunHuan Pang . P-Regulated Hierarchical Structure Ni2P Assemblies toward Efficient Electrochemical Urea Oxidation. Acta Physico-Chimica Sinica, 2024, 40(9): 2308045-0. doi: 10.3866/PKU.WHXB202308045

Metrics
  • PDF Downloads(8)
  • Abstract views(2316)
  • HTML views(395)

通讯作者: 陈斌, bchen63@163.com
  • 1. 

    沈阳化工大学材料科学与工程学院 沈阳 110142

  1. 本站搜索
  2. 百度学术搜索
  3. 万方数据库搜索
  4. CNKI搜索
Address:Zhongguancun North First Street 2,100190 Beijing, PR China Tel: +86-010-82449177-888
Powered By info@rhhz.net

/

DownLoad:  Full-Size Img  PowerPoint
Return