Citation: Dawei LI, Rui HU, Suyun SHI, Yeye SHE, Xiamei ZHANG, Yahong LI, Yiquan ZHANG, Jinlei YAO. Two Dy4 complexes based on a Schiff base ligand and two benzoates: Synthesis, structures, and single-molecule magnetic properties[J]. Chinese Journal of Inorganic Chemistry, ;2024, 40(2): 307-315. doi: 10.11862/CJIC.20230324 shu

Two Dy4 complexes based on a Schiff base ligand and two benzoates: Synthesis, structures, and single-molecule magnetic properties

Figures(6)

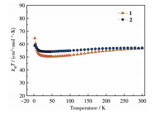
  • Two Dy4 clusters with the formulae [Dy4(L)4(PhCO2)2(NO3)2(EtOH)2] (1) and [Dy4(L)4(2-NO2-PhCO2)2(NO3)2(EtOH)2] (2) were obtained by the reactions of Dy(NO3)3·6H2O with a Schiff base ligand 2-(((2-hydroxy-3-methoxy-benzyl)imino)methyl)-4-methoxyphenol (H2L) and two auxiliary ligands PhCO2H and 2-NO2-PhCO2H in ethanol. Single crystal X-ray diffraction studies evidenced that the two complexes are constructed from Dy2 units, and display a centrosymmetric tetranuclear linear chain structure. One metal center in the Dy2 unit in 1 and 2 presents a sevencoordinated geometry, and the other Dy(Ⅲ) ion displays an eight-coordinated geometry. Both complexes are identified as single-molecule magnets with energy barriers of 110 and 108 K, respectively. Theoretical calculations also analyzed the magnetic properties of 1 and 2.
  • 加载中
    1. [1]

      Ferrando-Soria J, Vallejo J, Castellano M, MartínezLillo J, Pardo E, Cano J, Castro I, Lloret F, Ruiz-García R, Julve M. Molecular magnetism, quo vadis? A historical perspective from a coordination chemist viewpoint[J]. Coord. Chem. Rev., 2017,339:17-103. doi: 10.1016/j.ccr.2017.03.004

    2. [2]

      Affronte M. Molecular nanomagnets for information technologies[J]. J. Mater. Chem., 2009,19:1731-1737. doi: 10.1039/B809251F

    3. [3]

      ZHANG L, ZENG S Y, LIU T, SUN J S, DOU J M, JIANG J Z. Mixed tetrapyrrole terbium triple-decker single molecule magnets with bulky inorganic polyhedral oligomeric silsesquioxanes moieties at outer porphyrin peripheries[J]. Chinese J. Inorg. Chem., 2015,31(9):1761-1773.

    4. [4]

      ZHANG K, WANG H S, YU L Y, CHEN Y, PAN Z Q. Research progress and prospect on the first series transition metal-Dy single molecule magnets[J]. Chinese J. Inorg. Chem., 2020,36(12):2205-2226.  

    5. [5]

      Torres F, Herńandez J M, Bohigas X, Tejada J. Giant and time-dependent magnetocaloric effect in high-spin molecular magnets[J]. Appl. Phys. Lett., 2000,77:3248-3250. doi: 10.1063/1.1325393

    6. [6]

      REN M, ZHENG L M. Lanthanide-based single molecule magnets[J]. Acta Chim. Sinica, 2015,73(11):1091-1113.

    7. [7]

      Ishikawa N, Sugita M, Ishikawa T, Koshihara S Y, Kaizu Y. Lanthanide double-decker complexes functioning as magnets at the single-molecular level[J]. J. Am. Chem. Soc., 2003,125:8694-8695. doi: 10.1021/ja029629n

    8. [8]

      Liu K, Zhang X J, Meng X X, Shi W, Cheng P, Powell A K. Constraining the coordination geometries of lanthanide centers and magnetic building blocks in frameworks: A new strategy for molecular nanomagnets[J]. Chem. Soc. Rev., 2016,45:2423-2439. doi: 10.1039/C5CS00770D

    9. [9]

      Liddle S T, Van Slageren J. Improving f-element single molecule magnets[J]. Chem. Soc. Rev., 2015,44:6655-6669. doi: 10.1039/C5CS00222B

    10. [10]

      Dolai M, Ali Molla H, Rogez G, Ali M. Two[Mn3(μ3-O)]7+ based single chain magnets with different solvent ligation[J]. Polyhedron, 2017,127:248-256. doi: 10.1016/j.poly.2017.01.043

    11. [11]

      Nguyen T N, Abboud K A, Christou G. MOF-like supramolecular network of Mn3 single-molecule magnets formed by extensive π-π stacking[J]. Polyhedron, 2016,103:150-156. doi: 10.1016/j.poly.2015.09.039

    12. [12]

      Thomas-Hargreaves L R, Hunger D, Kern M, Wooles A J, Slageren J V, Chilton N F, Liddle S T. Insights into D4h@ metal-symmetry single-molecule magnetism: The case of a dysprosium-bis(boryloxide) complex[J]. Chem. Commun., 2021,57:733-736. doi: 10.1039/D0CC07446B

    13. [13]

      Blagg R J, Muryn C A, McInnes E J L, Tuna F, Winpenny R E P. Single pyramid magnets: Dy5 pyramids with slow magnetic relaxation to 40 K[J]. Angew. Chem. Int. Ed., 2011,50:6530-6533. doi: 10.1002/anie.201101932

    14. [14]

      Guo Y N, Xu G F, Gamez P, Zhao L, Lin S Y, Deng R P, Tang J K, Zhang H J. Two-step relaxation in a linear tetranuclear dysprosium(Ⅲ) aggregate showing single-molecule magnet behavior[J]. J. Am. Chem. Soc., 2010,132:8538-8539. doi: 10.1021/ja103018m

    15. [15]

      Zhang Y C, Wang Q L, Chen G, Shi P F, Wang W M. Two linear-shaped Gd4 clusters based on a multidentate ligand: Synthesis, structures, and magnetic refrigeration[J]. Polyhedron, 2019,169:247-252. doi: 10.1016/j.poly.2019.05.002

    16. [16]

      Anwar M U, Thompson L K, Dawe L N, Habibb F, Murugesu M. Predictable self-assembled[2 × 2] Ln(Ⅲ)4 square grids (Ln=Dy, Tb)-SMM behaviour in a new lanthanide cluster motif[J]. Chem. Commun., 2012,48:4576-4578. doi: 10.1039/c2cc17546k

    17. [17]

      Xue S F, Zhao L, Guo Y N, Chen X H, Tang J K. Field enhanced thermally activated mechanism in a square Dy4 aggregate[J]. Chem. Commun., 2012,48:7031-7033. doi: 10.1039/c2cc31864d

    18. [18]

      Wang W M, Li X Z, Zhang L, Chen J L, Wang J H, Wu Z L, Cui J Z. A series of[2×2] square grid Ln4 clusters: A large magnetocaloric effect and single-molecule-magnet behavior[J]. New J. Chem., 2019,43:7419-7426. doi: 10.1039/C8NJ04454F

    19. [19]

      Zangana K H, Pineda E M, Winpenny R E P. Tetrametallic lanthanide(Ⅲ) phosphonate cages: Synthetic, structural and magnetic studies[J]. Dalton Trans., 2014,43:17101-17107. doi: 10.1039/C4DT02630F

    20. [20]

      Wang X X, Han X R, Si X, Fang M, Wang W M, Peng H K, Fang M. A rhombus-shaped tetranuclear dysprosium cluster showing single-molecule magnet behavior[J]. Polyhedron, 2017,137:306-310. doi: 10.1016/j.poly.2017.08.033

    21. [21]

      Wang W M, Zhang L, Li X Z, He L Y, Wang X X, Shi Y, Wang J, Dong J, Wu Z L. Structures, fluorescence properties and magnetic properties of a series of rhombus-shaped Ln4 clusters: Magnetocaloric effect and single-molecule-magnet behavior[J]. New J. Chem., 2019,43:12941-12949. doi: 10.1039/C9NJ02872B

    22. [22]

      Wu Z L, Ran Y G, Wu X Y, Xia Y P, Fang M, Wang W M. Butterfly shaped tetranuclear dysprosium compound displaying slow magnetic relaxation features[J]. Polyhedron, 2017,126:282-286. doi: 10.1016/j.poly.2017.01.024

    23. [23]

      Xue S F, Guo Y N, Zhao L, Zhang P, Tang J K. Unique Y-shaped lanthanide aggregates and single-molecule magnet behaviour for the Dy4 analogue[J]. Dalton Trans., 2014,43:1564-1570. doi: 10.1039/C3DT52444B

    24. [24]

      Lin P H, Burchell T J, Ungur L, Chibotaru L F, Wernsdorfer W, Murugesu M. A polynuclear lanthanide single-molecule magnet with a record anisotropic barrier[J]. Angew. Chem. Int. Ed., 2009,48:9489-9492. doi: 10.1002/anie.200903199

    25. [25]

      Zagol-Ikapitte I, Vmarnath A, Bala M, Roberts L J, Oates J A, Boutaud O. Characterization of scavengers of γ-ketoaldehydes that do not inhibit prostaglandin biosynthesis[J]. Chem. Res. Toxicol., 2010,23:240-250. doi: 10.1021/tx900407a

    26. [26]

      Li D W, Ding M M, Huang Y, Tello Yepes D F, Li H Y, Li Y H, Zhang Y Q, Yao J L. Evolution from a single relaxation process to two-step relaxation processes of Dy2 single-molecule magnets via the modulations of the terminal solvent ligands[J]. Dalton Trans., 2021,50:217-228. doi: 10.1039/D0DT03093G

    27. [27]

      Sheldrick G M. A short history of SHELX[J]. Acta Crystallogr. Sect. A, 2008,A64:112-122.

    28. [28]

      Sheldrick G M. Crystal structure refinement with SHELXL[J]. Acta Crystallogr. Sect. C, 2015,C71:3-8.

    29. [29]

      Fang M, Shao L J, Shi T X, Chen Y Y, Yu H, Li P F, Wang W M, Zhao B. Four tetra-nuclear lanthanide complexes based on 8-hydroxyquinolin derivatives: Magnetic refrigeration and single-molecule magnet behaviour[J]. New J. Chem., 2018,42:11847-11853. doi: 10.1039/C8NJ02161A

    30. [30]

      Chen J H, Peng S, Pan H D, Wu C E, Teng Q H, Li Y, Zhang X Q, Liang F P, Wang K. Dysprosium clusters from 3-ethoxysalicylidene terminal-decorated acylhydrazone ligands: In situ ligand transformation-assisted assembly and zero-field single-molecule magnet behaviors[J]. Cryst. Growth Des., 2023,23:4927-4938. doi: 10.1021/acs.cgd.3c00169

    31. [31]

      Ke H S, Xu G F, Guo Y N, Gamez P, Beavers C M, Teat S J, Tang J K. A linear tetranuclear dysprosium(Ⅲ) compound showing single-molecule magnet behaviour[J]. Chem. Commun., 2010,46:6057-6059. doi: 10.1039/c0cc01067g

    32. [32]

      Lin S Y, Zhao L, Ke H S, Guo Y N, Tang J K, Guo Y, Dou J M. Steric hindrances create a discrete linear Dy4 complex exhibiting SMM behaviour[J]. Dalton Trans., 2012,41:3248-3252. doi: 10.1039/c2dt11539e

    33. [33]

      Lu J J, Li X L, Jin C Y, Yu Y, Tang J K. Dysprosium-based linear helicate clusters: Syntheses, structures, and magnetism[J]. New J. Chem., 2020,44:994-1000. doi: 10.1039/C9NJ05192A

    34. [34]

      Wang W M, Hu X Y, Yang Y, Zhao J Q, Zhang Y X, Kang X M, Wu Z L. Modulation of magnetic relaxation behaviors via replacing coordinated solvents in a series of linear tetranuclear Dy4 complexes[J]. New J. Chem., 2020,44:8494-8502. doi: 10.1039/D0NJ01830A

    35. [35]

      Li R P, Liu Q Y, Wang Y L, Liu C M, Liu S J. Evolution from linear tetranuclear clusters into one-dimensional chains of Dy(Ⅲ) single-molecule magnets with an enhanced energy barrier[J]. Inorg. Chem. Front., 2017,4:1149-1156.

    36. [36]

      Corredoira-Vázquez J, González-Barreira C, Fondo M, García-Deibe A M, Sanmartín-Matalobos J, Hernández-Rodríguez M A, Carlos L D. Luminescence thermometry in a Dy4 single molecule magnet[J]. Dalton Trans., 2022,51:15593-15600. doi: 10.1039/D2DT02250H

    37. [37]

      Bala S, Bishwas M S, Pramanik B, Khanra S, Fromm K M, Poddar P, Mondal R. Construction of polynuclear lanthanide (Ln=Dy, Tb, and Nd) cage complexes using pyridine-pyrazole-based ligands: Versatile molecular topologies and SMM behavior[J]. Inorg. Chem., 2015,54:8197-8206. doi: 10.1021/acs.inorgchem.5b00334

    38. [38]

      Xu Y, Yu Y S, Huang X D, Bao S S, Ding H M, Ma Y Q, Zheng L M. Counteranion modulated crystal growth and function of one-dimensional homochiral coordination polymers: Morphology, structures, and magnetic properties[J]. Inorg. Chem., 2018,57:12143-12154. doi: 10.1021/acs.inorgchem.8b01762

    39. [39]

      Zhang L, Zhang Y Q, Zhang P, Zhao L, Guo M, Tang J K. Single-molecule magnet behavior enhanced by synergic effect of single-ion anisotropy and magnetic interactions[J]. Inorg. Chem., 2017,56:7882-7889. doi: 10.1021/acs.inorgchem.7b00625

    40. [40]

      Wu J F, Jung J L, Zhang P, Zhang H X, Tang J K, Guennic B L. Cis-trans isomerism modulates the magnetic relaxation of dysprosium single-molecule magnets[J]. Chem. Sci., 2016,7:3632-3639. doi: 10.1039/C5SC04510J

    41. [41]

      Lu J J, Zhang Y Q, Li X L, Guo M, Wu J F, Zhao L, Tang J K. Influence of magnetic interactions and single-ion anisotropy on magnetic relaxation within a family of tetranuclear dysprosium complexes[J]. Inorg. Chem., 2019,58:5715-5724. doi: 10.1021/acs.inorgchem.9b00067

    42. [42]

      Huang W, Shen F X, Wu S Q, Liu L, Wu D, Zheng Z, Xu J, Zhang M, Huang X C, Jiang J, Pan F, Li Y, Zhu K, Sato O. Metallogrid single-molecule magnet: Solvent-induced nuclearity transformation and magnetic hysteresis at 16 K[J]. Inorg. Chem., 2016,55:5476-5484. doi: 10.1021/acs.inorgchem.6b00500

    43. [43]

      Guo P H, Liu J L, Zhang Z M, Ungur L, Chibotaru L F, Leng J D, Guo F S, Tong M L. The first {Dy4} single-molecule magnet with a toroidal magnetic moment in the ground state[J]. Inorg. Chem., 2012,51:1233-1235. doi: 10.1021/ic202650f

    44. [44]

      Wang W M, Kang X M, Shen H Y, Wu Z L, Gao H L, Cui J Z. Modulating single-molecule magnet behavior towards multiple magnetic relaxation processes through structural variation in Dy4 clusters[J]. Inorg. Chem. Front., 2018,5:1876-1885. doi: 10.1039/C8QI00214B

    45. [45]

      Guo P H, Liu J L, Jia J H, Wang J, Guo F S, Chen Y C, Lin W Q, Leng J D, Bao D H, Zhang X D, Luo J H, Tong M L. Multifunctional Dy4 cluster exhibiting white-emitting, ferroelectric and single-molecule magnet behavior[J]. Chem.-Eur. J., 2013,19:8769-8773. doi: 10.1002/chem.201300299

    46. [46]

      Aquilante F, Autschbach J, Carlson R K, Chibotaru L F, Delcey M G, Vico L D, Galván I F, Ferré N, Frutos L M, Gagliardi L, Garavelli M, Giussani A, Hoyer C E, Li Manni G, Lischka H, Ma D, Malmqvist P Å, Müller T, Nenov A, Olivucci M, Pedersen T B, Peng D, Plasser F, Pritchard B, Reiher M, Rivalta I, Schapiro I, Segarra-Martí J, Stenrup M, Truhlar D G, Ungur L, Valentini A, Vancoillie S, Veryazov V, Vysotskiy V P, Weingart O, Zapata F, Lindh R. MOLCAS 8: New capabilities for multiconfigurational quantum chemical calculations across the periodic table[J]. J. Comput. Chem., 2016,37:506-541. doi: 10.1002/jcc.24221

    47. [47]

      Chibotaru L F, Ungur L, Soncini A. The origin of nonmagnetic Kramers doublets in the ground state of dysprosium triangles: Evidence for a toroidal magnetic moment[J]. Angew. Chem. Int. Ed., 2008,47:4126-4129. doi: 10.1002/anie.200800283

    48. [48]

      Lu F, Ding M M, Li J X, Wang B L, Zhang Y Q. Why lanthanide Er SIMs cannot possess huge energy barriers: A theoretical investigation[J]. Dalton Trans., 2020,49:14576-14583. doi: 10.1039/D0DT02868A

    49. [49]

      Langley S K, Wielechowski D P, Vieru V, Chilton N F, Moubaraki B, Abrahams B F, Chibotaru L F, Murray K S. A {Cr2Dy2} single-molecule magnet: Enhancing the blocking temperature through 3d magnetic exchange[J]. Angew. Chem. Int. Ed., 2013,52:12014-12019. doi: 10.1002/anie.201306329

    50. [50]

      Lines M E. Orbital angular momentum in the theory of paramagnetic clusters[J]. J. Chem. Phys., 1971,55:2977-2984. doi: 10.1063/1.1676524

  • 加载中
    1. [1]

      Yuanyu YANGJianhua XUEYujia BAILulu CUIDongdong YANGQi MA . Design, synthesis, and detection of Al3+ of two zinc complexes based on Schiff base ligands. Chinese Journal of Inorganic Chemistry, 2025, 41(6): 1207-1216. doi: 10.11862/CJIC.20250005

    2. [2]

      Maitri BhattacharjeeRekha Boruah SmritiR. N. Dutta PurkayasthaWaldemar ManiukiewiczShubhamoy ChowdhuryDebasish MaitiTamanna Akhtar . Synthesis, structural characterization, bio-activity, and density functional theory calculation on Cu(Ⅱ) complexes with hydrazone-based Schiff base ligands. Chinese Journal of Inorganic Chemistry, 2024, 40(7): 1409-1422. doi: 10.11862/CJIC.20240007

    3. [3]

      Ke WuXiuqin RuanShuolei JiaEnyuan WangQingfa Zhou . DABCO-catalyzed [3+4] annulations of Schiff bases with α-substituted allenes: Construction of functionalized benzazepine derivatives. Chinese Chemical Letters, 2025, 36(7): 110646-. doi: 10.1016/j.cclet.2024.110646

    4. [4]

      Qian-Cheng LuoXia-Li DingWen-Jie XuYuan-Qi ZhaiYan-Zhen Zheng . Equatorial aminopyridine ligands stabilize an unusual straightly bridging mode in dimeric dysprosium(Ⅲ) single-molecule magnets. Chinese Chemical Letters, 2025, 36(9): 110304-. doi: 10.1016/j.cclet.2024.110304

    5. [5]

      Fahui XiangLu LiZhen YuanWuji WeiXiaoqing ZhengShimin ChenYisi YangLiangji ChenZizhu YaoJianwei FuZhangjing ZhangShengchang Xiang . Enhanced C2H2/CO2 separation in tetranuclear Cu(Ⅱ) cluster-based metal-organic frameworks by adjusting divider length of pore space partition. Chinese Chemical Letters, 2025, 36(3): 109672-. doi: 10.1016/j.cclet.2024.109672

    6. [6]

      Jun-Jie Fang Yun-Peng Xie Xing Lu . Organooxotin and cobalt/manganese heterometallic nanoclusters exhibiting single-molecule magnetism. Chinese Journal of Structural Chemistry, 2025, 44(4): 100515-100515. doi: 10.1016/j.cjsc.2025.100515

    7. [7]

      Jinlong YANWeina WUYuan WANG . A simple Schiff base probe for the fluorescent turn-on detection of hypochlorite and its biological imaging application. Chinese Journal of Inorganic Chemistry, 2024, 40(9): 1653-1660. doi: 10.11862/CJIC.20240154

    8. [8]

      Xiaotong LUPan ZHANGZijie ZHAOLei HUANGHongwei ZUOLili LIANG . Antitumor and antibacterial activities of pyridyl Schiff base indium and dysprosium complexes. Chinese Journal of Inorganic Chemistry, 2025, 41(8): 1523-1532. doi: 10.11862/CJIC.20250073

    9. [9]

      Tao YuVadim A. SoloshonokZhekai XiaoHong LiuJiang Wang . Probing the dynamic thermodynamic resolution and biological activity of Cu(Ⅱ) and Pd(Ⅱ) complexes with Schiff base ligand derived from proline. Chinese Chemical Letters, 2024, 35(4): 108901-. doi: 10.1016/j.cclet.2023.108901

    10. [10]

      Xiaofen GUANYating LIUJia LIYiwen HUHaiyuan DINGYuanjing SHIZhiqiang WANGWenmin WANG . Synthesis, crystal structure, and DNA-binding of binuclear lanthanide complexes based on a multidentate Schiff base ligand. Chinese Journal of Inorganic Chemistry, 2024, 40(12): 2486-2496. doi: 10.11862/CJIC.20240122

    11. [11]

      Yingyue ZHANGLiuqing KANGYating YANGXiaofen GUANWenmin WANG . Crystal structure and antibacterial activity of two Gd2 complexes based on polydentate Schiff-base ligands. Chinese Journal of Inorganic Chemistry, 2025, 41(9): 1867-1877. doi: 10.11862/CJIC.20250100

    12. [12]

      Siwei WangWei-Lei ZhouYong Chen . Cucurbituril and cyclodextrin co-confinement-based multilevel assembly for single-molecule phosphorescence resonance energy transfer behavior. Chinese Chemical Letters, 2024, 35(12): 110261-. doi: 10.1016/j.cclet.2024.110261

    13. [13]

      Xinyi LuoKe WangYingying XueXiaobao CaoJianhua ZhouJiasi Wang . Digital PCR-free technologies for absolute quantitation of nucleic acids at single-molecule level. Chinese Chemical Letters, 2025, 36(2): 109924-. doi: 10.1016/j.cclet.2024.109924

    14. [14]

      Yinling HOUJia JIHong YUXiaoyun BIANXiaofen GUANJing QIUShuyi RENMing FANG . A rhombic Dy4-based complex showing remarkable single-molecule magnet behavior. Chinese Journal of Inorganic Chemistry, 2025, 41(3): 605-612. doi: 10.11862/CJIC.20240251

    15. [15]

      Hao GuRui LiQiuying LiSheng LuYahui ChenXiaoning YangHuili MaZhijun XuXiaoqiang Chen . Multi-dimensional hydrogen bonds regulated emissions of single-molecule system enabling surficial hydrophobicity/hydrophilicity mapping. Chinese Chemical Letters, 2025, 36(5): 110116-. doi: 10.1016/j.cclet.2024.110116

    16. [16]

      Yi ZhouWei ZhangRong FuJiaxin DongYuxuan LiuZihang SongHan HanKang Cai . Self-assembly of two pairs of homochiral M2L4 coordination capsules with varied confined space using Tröger's base ligands. Chinese Chemical Letters, 2025, 36(2): 109865-. doi: 10.1016/j.cclet.2024.109865

    17. [17]

      Wen-Xuan ShaoJianyuan WuGaojie LiYi-Hao MinQiu-Shuang HuYu LiuWeimin CiBi-Feng Yuan . Quantitative analysis of N6-methyladenine at single-base resolution in mitochondrial DNA of hepatocellular carcinoma by deaminase-mediated sequencing. Chinese Chemical Letters, 2025, 36(10): 110747-. doi: 10.1016/j.cclet.2024.110747

    18. [18]

      Jin WangXiaoyan PanJunyu ZhangQingqing ZhangYanchen LiWeiwei GuoJie Zhang . Active molecule-based theranostic agents for tumor vasculature normalization and antitumor efficacy. Chinese Chemical Letters, 2024, 35(8): 109187-. doi: 10.1016/j.cclet.2023.109187

    19. [19]

      Hyoseok KimChangyi CuiKohei TohGenyir AdoTetsuya OgawaYixin ZhangShin-ichi SatoYong-Beom LimHiroki KurataLu ZhouMotonari Uesugi . Discovery of a self-assembling small molecule that sequesters RNA-binding proteins. Chinese Chemical Letters, 2025, 36(5): 110135-. doi: 10.1016/j.cclet.2024.110135

    20. [20]

      Min ChenBoyu PengXuyun GuoYe ZhuHanying Li . Polyethylene interfacial dielectric layer for organic semiconductor single crystal based field-effect transistors. Chinese Chemical Letters, 2024, 35(4): 109051-. doi: 10.1016/j.cclet.2023.109051

Metrics
  • PDF Downloads(4)
  • Abstract views(1119)
  • HTML views(62)

通讯作者: 陈斌, bchen63@163.com
  • 1. 

    沈阳化工大学材料科学与工程学院 沈阳 110142

  1. 本站搜索
  2. 百度学术搜索
  3. 万方数据库搜索
  4. CNKI搜索
Address:Zhongguancun North First Street 2,100190 Beijing, PR China Tel: +86-010-82449177-888
Powered By info@rhhz.net

/

DownLoad:  Full-Size Img  PowerPoint
Return