Citation: Zhongxuan XU, Jun WU, Yuanting ZHANG, Mengjie WU. Four-connected helical chiral coordination polymers based on lactate synthons: Syntheses, structures, and photo-catalytic properties[J]. Chinese Journal of Inorganic Chemistry, ;2024, 40(2): 336-344. doi: 10.11862/CJIC.20230266 shu

Four-connected helical chiral coordination polymers based on lactate synthons: Syntheses, structures, and photo-catalytic properties

  • Corresponding author: Zhongxuan XU, xuzhongxuan4201@163.com
  • Received Date: 12 July 2023
    Revised Date: 14 November 2023

Figures(8)

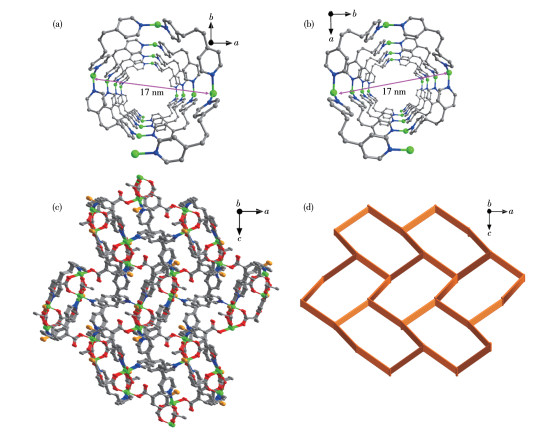
  • Enantiomeric lactic derivatives and 3-bromo-4-hydroxybenzoate were used as starting materials to obtain a pair of enantiomers 3-bromo-4-(((1R)-1-carboxyethyl)oxy)benzoic acid (R-H2bba) and 3-bromo-4-(((1S)-1-carboxy-ethyl)oxy)benzoic acid (S-H2bba). As new synthons, R-H2bba and S-H2bba can provide variable coordination modes by two carboxylate groups and chiral source by lactate unit. In the presence of 1, 3-di(pyridine-4-yl)propane (1, 3-dpp), R-H2bba and S-H2bba further assembled with Ni2+ ions under the hydrothermal condition to obtain a pair of chiral coordination polymers (CCPs) {[Ni(R-bba)(1, 3-dpp)(H2O)0.5]·1.5H2O}n (HU12-R) and {[Ni(S-bba) (1, 3-dpp) (H2O)0.5]·1.5H2O}n (HU12-S), respectively. Structural analysis revealed complexes HU12-R and HU12-S are 3D helical frameworks with 4-connected dia net. In complexes HU12-R and HU12-S, R-bba2- and S-bba2- anions are respectively connected by Ni2+ centers to form a pair of small enantiomeric helical chains around 21 screw axis. In contrast, 1, 3-dpp ligands and Ni2+ centers construct another pair of large enantiomeric helical chains around 41 or 43 screw axis, respectively. Moreover, the results of electrochemical testing indicated that complex HU12-R is an n-type semiconductor and has a strong absorbing ability for UV-Vis light and low resistance in charge transportation. By comparing with R-H2bba, 1, 3-dpp, and Ni2+ ions, HU12-R indicates obvious catalytic activity in the degradation of dyes under ultraviolet light.
  • 加载中
    1. [1]

      Mason S F. Origins of biomolecular handedness[J]. Nature, 1984,311:19-23. doi: 10.1038/311019a0

    2. [2]

      Gingras M. One hundred years of helicene chemistryy. Part 1: Non-stereoselective syntheses of carbohelicenes[J]. Chem. Soc. Rev., 2013,42:968-1006. doi: 10.1039/C2CS35154D

    3. [3]

      Watson J D, Crick F H C. A structure for deoxyribose nucleic acid[J]. Nature, 1953,171:737-738. doi: 10.1038/171737a0

    4. [4]

      Goodman C. A tale of two twists[J]. Nature, 2014,511:12-13. doi: 10.1038/nature13359

    5. [5]

      Sahoo D, Imam M R, Peterca M, Partridge B E, Wilson D A, Zeng X, Ungar G, Heiney P A, Percec V. Hierarchical self-organization of chiral columns from chiral supramolecular spheres[J]. J. Am. Chem. Soc., 2018,140:13478-13487. doi: 10.1021/jacs.8b09174

    6. [6]

      Vacogne C D, Wei C, Tauer K, Schlaad H. Self-assembly of α-helical polypeptides into microscopic and enantiomorphic spirals[J]. J. Am. Chem. Soc., 2018,140:11387-11394. doi: 10.1021/jacs.8b06503

    7. [7]

      Lee S, Kim H, Tsai E, Richardson J M, Korblova E, Walba D M, Clark N A, Lee S B, Yoon D K. Multidimensional helical nanostructures in multiscale nanochannels[J]. Langmuir, 2015,31:8156-8161. doi: 10.1021/acs.langmuir.5b01620

    8. [8]

      Xu Z X, Fu H R, Wu X, Kang Y, Zhang J. Size-dependent enantioselective adsorption of racemic molecules through homochiral metal-organic frameworks embedding helicity[J]. Chem.-Eur. J., 2015,21:10236-10240. doi: 10.1002/chem.201500615

    9. [9]

      Dong J Q, Liu Y, Cui Y. Supramolecular chirality in metal-organic complexes[J]. Acc. Chem. Res., 2021,54:194-206. doi: 10.1021/acs.accounts.0c00604

    10. [10]

      Zavakhina M S, Samsonenko D G, Dybtsev D N, Fedin V P. Chiral MOF incorporating chiral guests: Structural studies and enantiomer-dependent luminescent properties[J]. Polyhedron, 2019,162:311-315. doi: 10.1016/j.poly.2019.02.008

    11. [11]

      Li X Z, Wu J G, He C, Meng Q T, Duan C Y. Asymmetric catalysis within the chiral confined space of metal-organic architectures[J]. Small, 2019,151804770. doi: 10.1002/smll.201804770

    12. [12]

      Tan C X, Han X, Li Z J, Liu Y, Cui Y. Controlled exchange of achiral linkers with chiral linkers in Zr-based UiO-68 metal-organic framework[J]. J. Am. Chem. Soc., 2018,140:16229-16236. doi: 10.1021/jacs.8b09606

    13. [13]

      Zhao Y W, Guo L E, Zhang F Q, Yao J, Zhang X M. Turn-on fluorescence enantioselective sensing of hydroxyl carboxylic enantiomers by metal-organic framework nanosheets with a homochiral tetracarboxylate of cyclohexane diamide[J]. ACS Appl. Mater. Interfaces, 2021,13:20821-20829. doi: 10.1021/acsami.1c02897

    14. [14]

      Zhang Y, Jin X N, Ma X F, Wang Y. Chiral porous organic frameworks and their application in enantioseparation[J]. Anal. Methods, 2021,13:8-33. doi: 10.1039/D0AY01831G

    15. [15]

      XU Z X, LI L F, BAI X L, XU S F. Enantiomeric helical frameworks with dia net based on rigid ligands from spontaneous resolution[J]. Chinese J. Inorg. Chem., 2021,37(7):1191-1196.  

    16. [16]

      Li Y P, Wang X X, Li S N, Sun H M, Jiang Y C, Hu M C, Zhai Q G. The power of heterometalation through lithium for helix chain-based noncentrosymmetric metal-organic frameworks with tunable second-harmonic generation effects[J]. Cryst. Growth Des., 2017,17:5634-5639. doi: 10.1021/acs.cgd.7b01320

    17. [17]

      Zhang S Y, Li D, Guo D, Zhang H, Shi W, Cheng P, Wojtas L, Zaworotko M J. Synthesis of a chiral crystal form of MOF-5, CMOF-5, by chiral induction[J]. J. Am. Chem. Soc., 2015,137:15406-15409. doi: 10.1021/jacs.5b11150

    18. [18]

      Mao Y M, Dong X H, Deng Y D, Li J, Huang L, Zeng H M, Zou G H, Lin Z E. Amino acid-templated zinc phosphites: Low-dimensional structures, fluorescence, and nonlinear optical properties[J]. Dalton Trans., 2021,50:5442-5445. doi: 10.1039/D1DT00939G

    19. [19]

      Xie S M, Fu N, Li L, Yuan B Y, Zhang J H, Li Y X, Yuan L M. Homochiral metal-organic cage for gas chromatographic separations[J]. Anal. Chem., 2018,90:9182-9188. doi: 10.1021/acs.analchem.8b01670

    20. [20]

      Tang H T, Yang K K, Wang K Y, Meng Q, Wu F, Fang Y, Wu X, Li Y G, Zhang W C, Luo Y F, Zhu C F, Zhou H C. Engineering a homochiral metal-organic framework based on an amino acid for enantioselective separation[J]. Chem. Commun., 2020,56:9016-9019. doi: 10.1039/D0CC00897D

    21. [21]

      Jia J G, Feng J S, Huang X D, Bao S S, Zheng L M. Homochiral iron(Ⅱ)-based metal-organic nanotubes: Metamagnetism and selective nitric oxide adsorption in a confined channel[J]. Chem. Commun., 2019,55:2825-2828. doi: 10.1039/C9CC00506D

    22. [22]

      Wu X, Zhang H B, Xu Z X, Zhang J. Asymmetric induction in homochiral MOFs: From interweaving double helices to single helices[J]. Chem. Commun., 2015,51:16331-16333. doi: 10.1039/C5CC06501A

    23. [23]

      Burneo I, Stylianou K C, Imaz I, Maspoch D. The influence of the enantiomeric ratio of an organic ligand on the structure and chirality of metal-organic frameworks[J]. Chem. Commun., 2014,50:13829-13832. doi: 10.1039/C4CC06190J

    24. [24]

      Bisht K K, Parmar B, Rachuri Y, Kathalikattilad A C, Suresh E. Progress in the synthetic and functional aspects of chiral metal-organic frameworks[J]. CrystEngComm, 2015,17:5341-5356. doi: 10.1039/C5CE00776C

    25. [25]

      Ma Y L, Meng Q, Xu Z X. Semi-conductive helical homochiral metal-organic frameworks based on enantiomeric proline derivatives[J]. CrystEngComm, 2020,22:3215-3220. doi: 10.1039/D0CE00262C

    26. [26]

      Gu Z G, Zhang C H, Zhang J, Bu X H. Chiral chemistry of metal-camphorate frameworks[J]. Chem. Soc. Rev., 2016,45:3122-3144. doi: 10.1039/C6CS00051G

    27. [27]

      Sheldrick G M. Crystal structure refinement with SHELXL[J]. Acta Crystallogr. Sect. C, 2015,C71:3-8.

    28. [28]

      Dolomanov O V, Bourhis L J, Gildea R J, Howard J A K, Puschmann H. OLEX2: A complete structure solution, refinement and analysis program[J]. J. Appl. Cryst., 2009,42:339-341. doi: 10.1107/S0021889808042726

    29. [29]

      Parmar B, Bisht K K, Rajput G, Suresh E. Recent advances in metal-organic frameworks as adsorbent materials for hazardous dye molecules[J]. Dalton Trans., 2021,50:3083-3108. doi: 10.1039/D0DT03824E

  • 加载中
    1. [1]

      Tingyu Zhu Hui Zhang Wenwei Zhang . Exploration and Practice of Ideological and Political Education in the Course of Experiments on Chemical Functional Molecules: Synthesis and Catalytic Performance Study of Chiral Mn(III)Cl-Salen Complex. University Chemistry, 2024, 39(4): 75-80. doi: 10.3866/PKU.DXHX202311011

    2. [2]

      Ke QIAOYanlin LIShengli HUANGGuoyu YANG . Advancements in asymmetric catalysis employing chiral iridium (ruthenium) complexes. Chinese Journal of Inorganic Chemistry, 2024, 40(11): 2091-2104. doi: 10.11862/CJIC.20240265

    3. [3]

      Renxiao Liang Zhe Zhong Zhangling Jin Lijuan Shi Yixia Jia . A Palladium/Chiral Phosphoric Acid Relay Catalysis for the One-Pot Three-Step Synthesis of Chiral Tetrahydroquinoline. University Chemistry, 2024, 39(5): 209-217. doi: 10.3866/PKU.DXHX202311024

    4. [4]

      Xilin Zhao Xingyu Tu Zongxuan Li Rui Dong Bo Jiang Zhiwei Miao . Research Progress in Enantioselective Synthesis of Axial Chiral Compounds. University Chemistry, 2024, 39(11): 158-173. doi: 10.12461/PKU.DXHX202403106

    5. [5]

      Jingjing QINGFan HEZhihui LIUShuaipeng HOUYa LIUYifan JIANGMengting TANLifang HEFuxing ZHANGXiaoming ZHU . Synthesis, structure, and anticancer activity of two complexes of dimethylglyoxime organotin. Chinese Journal of Inorganic Chemistry, 2024, 40(7): 1301-1308. doi: 10.11862/CJIC.20240003

    6. [6]

      Jing WUPuzhen HUIHuilin ZHENGPingchuan YUANChunfei WANGHui WANGXiaoxia GU . Synthesis, crystal structures, and antitumor activities of transition metal complexes incorporating a naphthol-aldehyde Schiff base ligand. Chinese Journal of Inorganic Chemistry, 2024, 40(12): 2422-2428. doi: 10.11862/CJIC.20240278

    7. [7]

      Ziyang LongQuanzheng LiChengliang ZhangHaifeng Shi . BiVO4/WO3-x S-scheme heterojunctions with amplified internal electric field for boosting photothermal-catalytic activity. Acta Physico-Chimica Sinica, 2025, 41(10): 100122-0. doi: 10.1016/j.actphy.2025.100122

    8. [8]

      Zhangyong LIULihui XUYue YANGLiming WANGHong PANXinzhe HUANGXueqiang FUYingxiu ZHANGMeiran DOUMeng WANGYi TENG . Preparation and photocatalytic performance of CsxWO3/TiO2 based on full spectral response. Chinese Journal of Inorganic Chemistry, 2025, 41(7): 1445-1464. doi: 10.11862/CJIC.20240345

    9. [9]

      Guilan He Yaofeng Yuan . 手性二茂铁双膦配体Xyliphos的合成及应用. University Chemistry, 2025, 40(8): 130-137. doi: 10.12461/PKU.DXHX202409122

    10. [10]

      Xinting XIONGZhiqiang XIONGPanlei XIAOXuliang NIEXiuying SONGXiuguang YI . Synthesis, crystal structures, Hirshfeld surface analysis, and antifungal activity of two complexes Na(Ⅰ)/Cd(Ⅱ) assembled by 5-bromo-2-hydroxybenzoic acid ligands. Chinese Journal of Inorganic Chemistry, 2024, 40(9): 1661-1670. doi: 10.11862/CJIC.20240145

    11. [11]

      Linfeng XiaoWanlu RenShishi ShenMengshan ChenRunhua LiaoYingtang ZhouXibao Li . Enhancing Photocatalytic Hydrogen Evolution through Electronic Structure and Wettability Adjustment of ZnIn2S4/Bi2O3 S-Scheme Heterojunction. Acta Physico-Chimica Sinica, 2024, 40(8): 2308036-0. doi: 10.3866/PKU.WHXB202308036

    12. [12]

      Haitang WANGYanni LINGXiaqing MAYuxin CHENRui ZHANGKeyi WANGYing ZHANGWenmin WANG . Construction, crystal structures, and biological activities of two Ln3 complexes. Chinese Journal of Inorganic Chemistry, 2024, 40(8): 1474-1482. doi: 10.11862/CJIC.20240188

    13. [13]

      Tianyun Chen Ruilin Xiao Xinsheng Gu Yunyi Shao Qiujun Lu . Synthesis, Crystal Structure, and Mechanoluminescence Properties of Lanthanide-Based Organometallic Complexes. University Chemistry, 2024, 39(5): 363-370. doi: 10.3866/PKU.DXHX202312017

    14. [14]

      Yuxin CHENYanni LINGYuqing YAOKeyi WANGLinna LIXin ZHANGQin WANGHongdao LIWenmin WANG . Construction, structures, and interaction with DNA of two Sm4 complexes. Chinese Journal of Inorganic Chemistry, 2025, 41(6): 1141-1150. doi: 10.11862/CJIC.20240258

    15. [15]

      Lifang HEWenjie TANGYaoze LUOMingsheng LIANGJianxin TANGYuxuan WUFuxing ZHANGXiaoming ZHU . Synthesis, structure, and anticancer activity of two dialkyltin complexes constructed based on 2, 2′-bipyridin-6, 6′-dicarboxylic acid. Chinese Journal of Inorganic Chemistry, 2025, 41(8): 1601-1609. doi: 10.11862/CJIC.20250012

    16. [16]

      Xueqi YangJuntao ZhaoJiawei YeDesen ZhouTingmin DiJun Zhang . 调节NNU-55(Fe)的d带中心以增强CO2吸附和光催化活性. Acta Physico-Chimica Sinica, 2025, 41(7): 100074-0. doi: 10.1016/j.actphy.2025.100074

    17. [17]

      Linjie ZHUXufeng LIU . Synthesis, characterization and electrocatalytic hydrogen evolution of two di-iron complexes containing a phosphine ligand with a pendant amine. Chinese Journal of Inorganic Chemistry, 2025, 41(5): 939-947. doi: 10.11862/CJIC.20240416

    18. [18]

      Yuanqing WangYusong PanHongwu ZhuYanlei XiangRong HanRun HuangChao DuChengling Pan . Enhanced Catalytic Activity of Bi2WO6 for Organic Pollutants Degradation under the Synergism between Advanced Oxidative Processes and Visible Light Irradiation. Acta Physico-Chimica Sinica, 2024, 40(4): 2304050-0. doi: 10.3866/PKU.WHXB202304050

    19. [19]

      Changqing MIAOFengjiao CHENWenyu LIShujie WEIYuqing YAOKeyi WANGNi WANGXiaoyan XINMing FANG . Crystal structures, DNA action, and antibacterial activities of three tetranuclear lanthanide-based complexes. Chinese Journal of Inorganic Chemistry, 2024, 40(12): 2455-2465. doi: 10.11862/CJIC.20240192

    20. [20]

      Qiaowen CHANGKe ZHANGGuangying HUANGNuonan LIWeiping LIUFuquan BAICaixian YANYangyang FENGChuan ZUO . Syntheses, structures, and photo-physical properties of iridium phosphorescent complexes with phenylpyridine derivatives bearing different substituting groups. Chinese Journal of Inorganic Chemistry, 2025, 41(2): 235-244. doi: 10.11862/CJIC.20240311

Metrics
  • PDF Downloads(2)
  • Abstract views(1862)
  • HTML views(92)

通讯作者: 陈斌, bchen63@163.com
  • 1. 

    沈阳化工大学材料科学与工程学院 沈阳 110142

  1. 本站搜索
  2. 百度学术搜索
  3. 万方数据库搜索
  4. CNKI搜索
Address:Zhongguancun North First Street 2,100190 Beijing, PR China Tel: +86-010-82449177-888
Powered By info@rhhz.net

/

DownLoad:  Full-Size Img  PowerPoint
Return