Citation: Xu-Feng LIU, Yu-Long LI, Xing-Hai LIU. Synthesis, characterization, electrocatalytic properties, and antifungal activity of isoxazole-containing di-iron complexes[J]. Chinese Journal of Inorganic Chemistry, ;2023, 39(12): 2367-2376. doi: 10.11862/CJIC.2023.204 shu

Synthesis, characterization, electrocatalytic properties, and antifungal activity of isoxazole-containing di-iron complexes

  • Corresponding author: Xu-Feng LIU, nkxfliu@126.com
  • Received Date: 3 August 2023
    Revised Date: 6 November 2023

Figures(7)

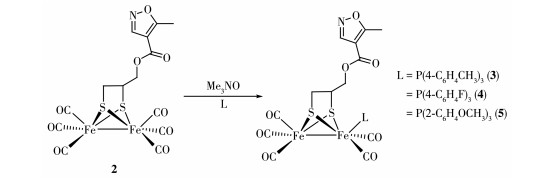
  • In this paper, four di-iron complexes with an isoxazole moiety were synthesized and characterized. The reaction of a hydroxy-containing di-iron complex [Fe2(CO)6(μ-SCH2CH(CH2OH)S)] (1) with 5-methylisoxazole-4-carboxylic acid gave an ester product, named [Fe2(CO)6(μ-SCH2CHCH2OOC(5-C3HNOCH3)S)] (2) in very good yield. The phosphine-bearing analogues, which are named [Fe2(CO)5(L)(μ-SCH2CHCH2OOC(5-C3HNOCH3)S)] where L= P(4-C6H4CH3)3 (3), P(4-C6H4F)3 (4), P(2-C6H4OCH3)3 (5), were prepared by the reactions of complex 2 with a monophosphine ligand tri(p-tolyl)phosphine, tris(4-fluorophenyl)phosphine or tris(2-methoxyphenyl)phosphine. Complexes 2-5 have been identified by elemental analyses, spectroscopies, and X-ray crystallography. The electrochemical properties were probed by cyclic voltammetry, which shows that these complexes can catalyze the production of dihydrogen with acetic acid as a proton source. 2 had the lowest overpotential and 4 had the highest catalytic efficiency. Moreover, we have investigated the antifungal activity of these new complexes.
  • 加载中
    1. [1]

      Cammack R. Hydrogenase sophistication[J]. Nature, 1999,397(6716):214-215. doi: 10.1038/16601

    2. [2]

      Peters J W, Lanzilotta W N, Lemon B J, Seefeldt L C. X-ray crystal structure of the Fe-only hydrogenase (CpI) from Clostridium Pasteurianum to 1[J]. 8 angstrom resolution. Science, 1998,282(5395):1853-1858.

    3. [3]

      Nicolet Y, Piras C, Legrand P, Hatchikian C E, Fontecilla-Camps J C. Desulfovibrio desulfuricans iron hydrogenase: The structure shows unusual coordination to an active site Fe binuclear center[J]. Structure, 1999,7(1):13-23. doi: 10.1016/S0969-2126(99)80005-7

    4. [4]

      Lyon E J, Georgakaki I P, Reibenspies J H, Darensbourg M Y. Carbon monoxide and cyanide ligands in a classical organometallic complex model for Fe-only hydrogenase[J]. Angew. Chem. Int. Ed., 1999,38(21):3178-3180. doi: 10.1002/(SICI)1521-3773(19991102)38:21<3178::AID-ANIE3178>3.0.CO;2-4

    5. [5]

      Lawrence J D, Li H X, Rauchfuss T B. Beyond Fe-only hydrogenases: N-functionalized 2-aza-1, 3-dithiolates Fe2[(SCH2)2NR](CO)x (x=5, 6)[J]. Chem. Commun., 2001:1482-1483.

    6. [6]

      Li H X, Rauchfuss T B. Iron carbonyl sulfides, formaldehyde, and amines condense to give the proposed azadithiolate cofactor of the Fe-only hydrogenases[J]. J. Am. Chem. Soc., 2002,124(5):726-727. doi: 10.1021/ja016964n

    7. [7]

      Gloaguen F, Lawrence J D, Schmidt M, Wilson S R, Rauchfuss T B. Synthetic and structural studies on[Fe2(SR)2(CN)x(CO)6-x]x- as active site models for Fe-only hydrogenases[J]. J. Am. Chem. Soc., 2001,123(50):12518-12527. doi: 10.1021/ja016071v

    8. [8]

      Mejia-Rodriguez R, Chong D, Reibenspies J H, Soriaga M P, Darensbourg M Y. The hydrophilic phosphatriazaadamantane ligand in the development of H2 production electrocatalysts: Iron hydrogenase model complexes[J]. J. Am. Chem. Soc., 2004,126(38):12004-12014. doi: 10.1021/ja039394v

    9. [9]

      Li Y L, Rauchfuss T B. Synthesis of diiron(Ⅰ) dithiolato carbonyl complexes[J]. Chem. Rev., 2016,116(12):7043-7077. doi: 10.1021/acs.chemrev.5b00669

    10. [10]

      Le Cloirec A, Best S P, Borg S, Davies S C, Evans D J, Hughes D L, Pickett C J. A di-iron dithiolate possessing structural elements of the carbonyl/cyanide sub-site of the H-centre of Fe-only hydrogenase[J]. Chem. Commun., 1999:2285-2286.

    11. [11]

      Schmidt M, Contakes S M, Rauchfuss T B. First generation analogues of the binuclear site in the Fe-only hydrogenases: Fe2(μ-SR)2(CO)4(CN)22-[J]. J. Am. Chem. Soc., 1999,121(41):9736-9737. doi: 10.1021/ja9924187

    12. [12]

      Gao W M, Ekström J, Liu J H, Chen C N, Eriksson L, Weng L H, Åkermark B, Sun L C. Binuclear iron-sulfur complexes with bidentate phosphine ligands as active site models of Fe-hydrogenase and their catalytic proton reduction[J]. Inorg. Chem., 2007,46(6):1981-1991. doi: 10.1021/ic0610278

    13. [13]

      Ghosh S, Hogarth G, Hollingsworth N, Holt K B, Richard I, Richmond M G, Sanchez B E, Unwin D. Models of the iron-only hydrogenase: A comparison of chelate and bridge isomers of Fe2(CO)4{Ph2PN(R)PPh2}(μ-pdt) as proton-reduction catalysts[J]. Dalton Trans., 2013,42(19):6775-6792. doi: 10.1039/c3dt50147g

    14. [14]

      Capon J F, Hassnaoui S E, Gloaguen F, Schollhammer P, Talarmin J. N-heterocyclic carbene ligands as cyanide mimics in diiron models of the all-iron hydrogenase active site[J]. Organometallics, 2005,24(9):2020-2022. doi: 10.1021/om049132h

    15. [15]

      Tye J W, Lee J, Wang H W, Mejia-Rodriguez R, Reibenspies J H, Hall M B, Darensbourg M Y. Dual electron uptake by simultaneous iron and ligand reduction in an N-heterocyclic carbene substituted[FeFe] hydrogenase model compound[J]. Inorg. Chem., 2005,44(16):5550-5552. doi: 10.1021/ic050402d

    16. [16]

      Tard C, Liu X M, Ibrahim S K, Bruschi M, De Gioia L, Davies S C, Yang X, Wang L S, Sawers G, Pickett C J. Synthesis of the H-cluster framework of iron-only hydrogenase[J]. Nature, 2005,433(7026):610-613. doi: 10.1038/nature03298

    17. [17]

      Hu M Q, Ma C B, Si Y T, Chen C N, Liu Q T. Diiron models for the active site of Fe-only hydrogenase with terminal organosulfur ligation: Synthesis, structures and electrochemistry[J]. J. Inorg. Biochem., 2007,101(10):1370-1375. doi: 10.1016/j.jinorgbio.2007.05.010

    18. [18]

      Li Z M, Xiao Z Y, Xu F F, Zeng X H, Liu X M. Enhancement in catalytic proton reduction by an internal base in a diiron pentacarbonyl complex: Its synthesis, characterization, inter-conversion and electrochemical investigation[J]. Dalton Trans., 2017,46(6):1864-1871. doi: 10.1039/C6DT04409C

    19. [19]

      Zhong W, Wu L, Jiang W D, Li Y L, Mookan N, Liu X M. Proton-coupled electron transfer in the reduction of diiron hexacarbonyl complexes and its enhancement on the electrocatalytic reduction of protons by a pendant basic group[J]. Dalton Trans., 2019,48(36):13711-13718. doi: 10.1039/C9DT02058F

    20. [20]

      Xiao Z Y, Zhong W, Liu X M. Recent developments in electrochemical investigations into iron carbonyl complexes relevant to the iron centres of hydrogenases[J]. Dalton Trans., 2022,51(1):40-47. doi: 10.1039/D1DT02705K

    21. [21]

      Ghosh S, Hollingsworth N, Warren M, Hrovat D A, Richmond M G, Hogarth G. Hydrogenase biomimics containing redox-active ligands: Fe2(CO)4(μ-edt)(κ2-bpcd) with electronacceptor 4, 5-bis(diphenylphosphino)-4-cyclopenten-1, 3-dione (bpcd) as a potential[Fe4-S4]H surrogate[J]. Dalton Trans., 2019,48(18):6051-6060. doi: 10.1039/C8DT04906H

    22. [22]

      Justice A K, Zampella G, De Gioia L, Rauchfuss T B, van der Vlugt J I, Wilson S R. Chelate control of diiron(Ⅰ) dithiolates relevant to the [Fe-Fe]-hydrogenase active site[J]. Inorg. Chem., 2007,46(5):1655-1664. doi: 10.1021/ic0618706

    23. [23]

      Unwin D G, Ghosh S, Ridley F, Richmond M G, Holt K B, Hogarth G. Models of the iron-only hydrogenase enzyme: Structure, electrochemistry and catalytic activity of Fe2(CO)3(μ-dithiolate)(μ, κ1, κ2-triphos)[J]. Dalton Trans., 2019,48(18):6174-6190. doi: 10.1039/C9DT00700H

    24. [24]

      Li Z, Liu N, Tu J, Ji C J, Han G Y, Wang Y, Sheng C Q. Discovery of novel simplified isoxazole derivatives of sampangine as potent anti-cryptococcal agents[J]. Bioorg. Med. Chem., 2019,27(5):832-840. doi: 10.1016/j.bmc.2019.01.029

    25. [25]

      Oubella A, Ait Itto M Y, Auhmani A, Riahi A, Robert A, Daran J C, Morjani H, Parish C A, Esseffar M. Diastereoselective synthesis and cytotoxic evaluation of new isoxazoles and pyrazoles with monoterpenic skeleton[J]. J. Mol. Struct., 2019,1198126924. doi: 10.1016/j.molstruc.2019.126924

    26. [26]

      Ye F, Zhai Y, Kang T, Wu S L, Li J J, Gao S, Zhao L X, Fu Y. Rational design, synthesis and structure-activity relationship of novel substituted oxazole isoxazole carboxamides as herbicide safener[J]. Pest. Biochem. Physiol., 2019,157:60-68. doi: 10.1016/j.pestbp.2019.03.003

    27. [27]

      Sun R F, Li Y Q, Xiong L X, Liu Y X, Wang Q M. Design, synthesis, and insecticidal evaluation of new benzoylureas containing isoxazoline and isoxazole group[J]. J. Agric. Food Chem., 2011,59(9):4851-4859. doi: 10.1021/jf200395g

    28. [28]

      Kendre B V, Landge M G, Bhusare S R. Synthesis and biological evaluation of some novel pyrazole, isoxazole, benzoxazepine, benzothiazepine and benzodiazepine derivatives bearing an aryl sulfonate moiety as antimicrobial and anti-inflammatory agents[J]. Arab. J. Chem., 2019,12(8):2091-2097. doi: 10.1016/j.arabjc.2015.01.007

    29. [29]

      Yan L, Hu K, Liu X F, Li Y L, Liu X H, Jiang Z Q. Diiron ethane-1, 2-dithiolate complexes with 1, 2, 3-thiadiazole moiety: Synthesis, X-ray crystal structures, electrochemistry and fungicidal activity[J]. Appl. Organomet. Chem., 2021,35(2)e6084. doi: 10.1002/aoc.6084

    30. [30]

      Liu X F, Li Y L, Liu X H. Heterocyclic pyrazole-containing diiron dithiolato analogues: Synthesis, characterization, electrochemistry, and fungicidal activity[J]. Appl. Organomet. Chem., 2022,36(11)e6884. doi: 10.1002/aoc.6884

    31. [31]

      Razavet M, Le Cloirec A, Davies S C, Hughes D L, Pickett C J. X-ray crystallographic analysis of D, L-[Fe2{SCH2CH(CH2OH)S}(CO)6] reveals a hydrogen-bonded cyclic hexamer with ordered optical centres[J]. Dalton Trans., 2001:3551-3552.

    32. [32]

      Schenone P, Fossa P, Menozzi G. Reaction of 2-dimethylaminomethylene-1, 3-diones with dinucleophiles. Ⅹ. Synthesis of 5-substituted ethyl or methyl 4-isoxazolecarboxylates and methyl 4-(2, 2-dimethyl-1-oxopropyl)-5-isoxazolecarboxylate[J]. J. Heterocycl. Chem., 1991,28(2):453-457. doi: 10.1002/jhet.5570280247

    33. [33]

      Zhao P H, Ma Z Y, Hu M Y, He J, Wang Y Z, Jing X B, Chen H Y, Li Y L. PNP-chelated and -bridged diiron dithiolate complexes Fe2(μ-pdt)(CO)4{(Ph2P)2NR} together with related monophosphine complexes for the[2Fe]H subsite of[FeFe]-hydrogenases: Preparation, structure, and electrocatalysis[J]. Organometallics, 2018,37(8):1280-1290. doi: 10.1021/acs.organomet.8b00030

    34. [34]

      Zhao P H, Hu M Y, Li J R, Ma Z Y, Wang Y Z, He J, Li Y L, Liu X F. Influence of dithiolate bridges on the structures and electrocatalytic performance of small bite-angle PNP-chelated diiron complexes Fe2(μ-xdt)(CO)4{κ2-(Ph2P)2NR} related to[FeFe]-hydrogenases[J]. Organometallics, 2019,38(2):385-394. doi: 10.1021/acs.organomet.8b00759

    35. [35]

      Zhao P H, Hu M Y, Li J R, Wang Y Z, Lu B P, Han H F, Liu X F. Impacts of coordination modes (chelate versus bridge) of PNP-diphosphine ligands on the redox and electrocatalytic properties of diiron oxadithiolate complexes for proton reduction[J]. Electrochim. Acta, 2020,353136615. doi: 10.1016/j.electacta.2020.136615

    36. [36]

      LIU X F, XU B, XU H, LI Y L. Diiron butane-1, 2-dithiolate complexes with phosphine ligands: Preparation, crystal structures, and electrochemical catalytic performance[J]. Chinese J. Inorg. Chem., 2022,38(12):2521-2529. doi: 10.11862/CJIC.2022.245

    37. [37]

      Li Q L, Zhang R F, Ma C L, Lü S, Mu C, Li Y L. Synthesis, characterization, and some electrocatalytic properties of heteromultinuclear Fe/Ru clusters[J]. Appl. Organomet. Chem., 2020,34(4)e5461. doi: 10.1002/aoc.5461

    38. [38]

      Lü S, Huang H L, Zhang R F, Ma C L, Li Q L, He J, Yang J, Li T, Li Y L. Phosphine-substituted Fe-Te clusters related to the active site of[FeFe]-H2ases[J]. Inorg. Chem. Front., 2020,7(12):2352-2361. doi: 10.1039/D0QI00276C

    39. [39]

      Chen F Y, He J, Mu C, Liu X F, Li Y L, Jiang Z Q, Wu H K. Synthesis and characterization of five diiron ethanedithiolate complexes with acetate group and phosphine ligands[J]. Polyhedron, 2019,160:74-82. doi: 10.1016/j.poly.2018.12.027

    40. [40]

      Yan L, Yang J, Liu X F, Li Y L, Liu X H, Jiang Z Q. Binuclear iron butane-1, 2-dithiolate compounds with cyclohexyldiphenylphosphine or dicyclohexylphenylphosphine: Synthetic, spectroscopic, crystal structural, and electrochemical studies[J]. J. Sulfur Chem., 2020,41(4):435-445. doi: 10.1080/17415993.2020.1740225

    41. [41]

      Lian M, He J, Yu X Y, Mu C, Liu X F, Li Y L, Jiang Z Q. Diiron ethanedithiolate complexes with acetate ester: Synthesis, characterization and electrochemical properties[J]. J. Organomet. Chem., 2018,870:90-96. doi: 10.1016/j.jorganchem.2018.06.023

    42. [42]

      Chong D, Georgakaki I P, Mejia-Rodriguez R, Sanabria-Chinchilla J, Soriaga M P, Darensbourg M Y. Electrocatalysis of hydrogen production by active site analogues of the iron hydrogenase enzyme: Structure/function relationships[J]. Dalton Trans., 2003:4158-4163.

    43. [43]

      Yan L, Yang J, Lü S, Liu X F, Li Y L, Liu X H, Jiang Z Q. Phosphine-containing diiron propane-1, 2-dithiolate derivatives: Synthesis, spectroscopy, X-ray crystal structures, and electrochemistry[J]. Catal. Lett., 2021,151(7):1857-1867. doi: 10.1007/s10562-020-03450-2

    44. [44]

      Gloaguen F, Lawrence J D, Rauchfuss T B. Biomimetic hydrogen evolution catalyzed by an iron carbonyl thiolate[J]. J. Am. Chem. Soc., 2001,123(38):9476-9477. doi: 10.1021/ja016516f

    45. [45]

      Lü S, Zhang R F, Li Q L, He J, Li Y L. Synthesis, characterization and electrochemical properties of two isomers of diiron diselenolato complexes and a new pathway to the μ4-Se twin cluster[J]. J. Organomet. Chem., 2018,873:66-72. doi: 10.1016/j.jorganchem.2018.08.003

    46. [46]

      Liu X F, Ma Z Y, Jin B, Wang D, Zhao P H. Substituent effects of tertiary phosphines on the structures and electrochemical performances of azadithiolato-bridged diiron model complexes of[FeFe]-hydrogenases[J]. Appl. Organomet. Chem., 2022,36(7)e6751. doi: 10.1002/aoc.6751

    47. [47]

      Helm M L, Stewart M P, Bullock R M, DuBois M R, DuBois D L. A synthetic nickel electrocatalyst with a turnover frequency above 100 000 s-1 for H2 production[J]. Science, 2011,333(6044):863-866. doi: 10.1126/science.1205864

    48. [48]

      LIU X F, XU B, XU H, LI Y L. Synthesis, characterization, and electrocatalytic hydrogen evolution of diiron dithiolato pentacarbonyl complexes bearing phosphine ligand[J]. Chinese J. Inorg. Chem., 2023,39(8):1619-1627.  

    49. [49]

      Liu X H, Qiao L, Zhai Z W, Cai P P, Cantrell C L, Tan C X, Weng J Q, Han L, Wu H K. Novel 4-pyrazole carboxamide derivatives containing flexible chain motif: Design, synthesis and antifungal activity[J]. Pest Manag. Sci., 2019,75(11):2892-2900. doi: 10.1002/ps.5463

  • 加载中
    1. [1]

      Jiarong ZHUXiaohua ZHANGXinting XIONGXuliang NIEXiuying SONGMiaomiao ZHANGDayong PENGXiuguang YI . Crystal structure, Hirshfeld surface analysis, and antifungal activity of five complexes based on 2,5-bis(carboxymethoxy)terephthalic acid. Chinese Journal of Inorganic Chemistry, 2025, 41(11): 2358-2370. doi: 10.11862/CJIC.20250150

    2. [2]

      Hongyi LIAimin WULiuyang ZHAOXinpeng LIUFengqin CHENAikui LIHao HUANG . Effect of Y(PO3)3 double-coating modification on the electrochemical properties of Li[Ni0.8Co0.15Al0.05]O2. Chinese Journal of Inorganic Chemistry, 2024, 40(7): 1320-1328. doi: 10.11862/CJIC.20230480

    3. [3]

      Xinting XIONGZhiqiang XIONGPanlei XIAOXuliang NIEXiuying SONGXiuguang YI . Synthesis, crystal structures, Hirshfeld surface analysis, and antifungal activity of two complexes Na(Ⅰ)/Cd(Ⅱ) assembled by 5-bromo-2-hydroxybenzoic acid ligands. Chinese Journal of Inorganic Chemistry, 2024, 40(9): 1661-1670. doi: 10.11862/CJIC.20240145

    4. [4]

      Bing WEIJianfan ZHANGZhe CHEN . Research progress in fine tuning of bimetallic nanocatalysts for electrocatalytic carbon dioxide reduction. Chinese Journal of Inorganic Chemistry, 2025, 41(3): 425-439. doi: 10.11862/CJIC.20240201

    5. [5]

      Jingqi Ma Huangjie Lu Junpu Yang Liangwei Yang Jian-Qiang Wang Xianlong Du Jian Lin . Rational design and synthesis of a uranyl-organic hybrid for X-ray scintillation. Chinese Journal of Structural Chemistry, 2024, 43(5): 100275-100275. doi: 10.1016/j.cjsc.2024.100275

    6. [6]

      Xin DongJing LiangZhijin XuHuajie WuLei WangShihai YouJunhua LuoLina Li . Exploring centimeter-sized crystals of bismuth-iodide perovskite toward highly sensitive X-ray detection. Chinese Chemical Letters, 2024, 35(6): 108708-. doi: 10.1016/j.cclet.2023.108708

    7. [7]

      Xiuwen XuQuan ZhouYacong WangYunjie HeQiang WangYuan WangBing Chen . Expanding the toolbox of metal-free organic halide perovskite for X-ray detection. Chinese Chemical Letters, 2024, 35(9): 109272-. doi: 10.1016/j.cclet.2023.109272

    8. [8]

      Yun-Feng LiuHui-Fang DuYa-Hui ZhangZhi-Qin LiuXiao-Qian QiDu-Qiang LuoFei Cao . Chaeglobol A, an unusual octocyclic sterol with antifungal activity from the marine-derived fungus Chaetomium globosum HBU-45. Chinese Chemical Letters, 2025, 36(3): 109858-. doi: 10.1016/j.cclet.2024.109858

    9. [9]

      Hong-Jin LiaoZhu ZhuoQing LiYoshihito ShiotaJonathan P. HillKatsuhiko ArigaZi-Xiu LuLu-Yao LiuZi-Ang NanWei WangYou-Gui Huang . A new class of crystalline X-ray induced photochromic materials assembled from anion-directed folding of a flexible cation. Chinese Chemical Letters, 2024, 35(8): 109052-. doi: 10.1016/j.cclet.2023.109052

    10. [10]

      Xuying YuJiarong MiYulan HanCai SunMingsheng WangGuocong Guo . A stable radiochromic semiconductive viologen-based metal–organic framework for dual-mode direct X-ray detection. Chinese Chemical Letters, 2024, 35(9): 109233-. doi: 10.1016/j.cclet.2023.109233

    11. [11]

      Xin Dong Tianqi Chen Jing Liang Lei Wang Huajie Wu Zhijin Xu Junhua Luo Li-Na Li . Structure design of lead-free chiral-polar perovskites for sensitive self-powered X-ray detection. Chinese Journal of Structural Chemistry, 2024, 43(6): 100256-100256. doi: 10.1016/j.cjsc.2024.100256

    12. [12]

      Yan-Jiang LiShu-Lei ChouYao Xiao . Detecting dynamic structural evolution based on in-situ high-energy X-ray diffraction technology for sodium layered oxide cathodes. Chinese Chemical Letters, 2025, 36(2): 110389-. doi: 10.1016/j.cclet.2024.110389

    13. [13]

      Yu PangMin WangNing-Hua YangMin XueYong Yang . One-pot synthesis of a giant twisted double-layer chiral macrocycle via [4 + 8] imine condensation and its X-ray structure. Chinese Chemical Letters, 2024, 35(10): 109575-. doi: 10.1016/j.cclet.2024.109575

    14. [14]

      Bing XieQi JiangFang ZhuYaoyao LaiYueming ZhaoWei HePei Yang . Transdermal delivery of amphotericin B using deep eutectic solvents for antifungal therapy. Chinese Chemical Letters, 2025, 36(5): 110508-. doi: 10.1016/j.cclet.2024.110508

    15. [15]

      Hao LiHanzhi LuLinlin HuXueli ZhangHua ShaoFulun LiYanfei Shen . Dynamic surface-enhanced Raman spectroscopy-based metabolic profiling: A novel pathway to overcoming antifungal resistance. Chinese Chemical Letters, 2025, 36(7): 110342-. doi: 10.1016/j.cclet.2024.110342

    16. [16]

      Guangyao WangZhitong XuYe QiYueguang FangGuiling NingJunwei Ye . Electrospun nanofibrous membranes with antimicrobial activity for air filtration. Chinese Chemical Letters, 2024, 35(10): 109503-. doi: 10.1016/j.cclet.2024.109503

    17. [17]

      Ting WangXin YuYaqiang Xie . Unlocking stability: Preserving activity of biomimetic catalysts with covalent organic framework cladding. Chinese Chemical Letters, 2024, 35(6): 109320-. doi: 10.1016/j.cclet.2023.109320

    18. [18]

      Fangping YangJin ShiYuansong WeiQing GaoJingrui ShenLichen YinHaoyu Tang . Mixed-charge glycopolypeptides as antibacterial coatings with long-term activity. Chinese Chemical Letters, 2025, 36(2): 109746-. doi: 10.1016/j.cclet.2024.109746

    19. [19]

      Chong LiuLing LiJiahui GaoYanwei LiNazhen ZhangJing ZangCong LiuZhaopei GuoYanhui LiHuayu Tian . The study of antibacterial activity of cationic poly(β-amino ester) regulating by amphiphilic balance. Chinese Chemical Letters, 2025, 36(2): 110118-. doi: 10.1016/j.cclet.2024.110118

    20. [20]

      Di ZHANGTianxiang XIEXu HEWanyu WEIQi FANJie QIAOGang JINNingbo LI . Construction and antitumor activity of pH/GSH dual-responsive magnetic nanodrug. Chinese Journal of Inorganic Chemistry, 2025, 41(4): 786-796. doi: 10.11862/CJIC.20240329

Metrics
  • PDF Downloads(2)
  • Abstract views(986)
  • HTML views(24)

通讯作者: 陈斌, bchen63@163.com
  • 1. 

    沈阳化工大学材料科学与工程学院 沈阳 110142

  1. 本站搜索
  2. 百度学术搜索
  3. 万方数据库搜索
  4. CNKI搜索
Address:Zhongguancun North First Street 2,100190 Beijing, PR China Tel: +86-010-82449177-888
Powered By info@rhhz.net

/

DownLoad:  Full-Size Img  PowerPoint
Return