Citation: Rui-Qin HUANG, Zheng LIU, Sheng WANG, Cai-Li YU, Run-Zhi WEI, Qun TANG. Synthesis, crystal structure, and properties of manganese/cobalt complexes based on 2,5-dibromoterephthalic acid ligands[J]. Chinese Journal of Inorganic Chemistry, ;2023, 39(1): 159-167. doi: 10.11862/CJIC.2022.277 shu

Synthesis, crystal structure, and properties of manganese/cobalt complexes based on 2,5-dibromoterephthalic acid ligands

Figures(6)

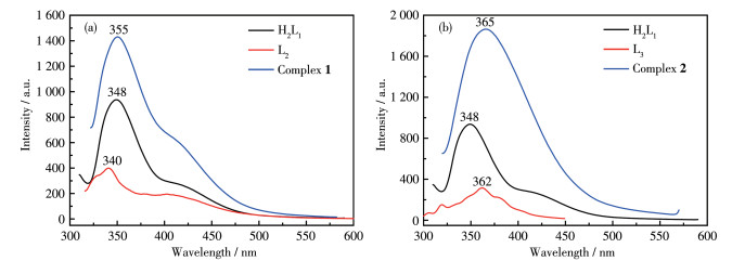
  • The organic substance 2,5-dibromoterephthalic acid (H2L1) was used as the primary ligand and 2,2'-bipyridine (L2) and 1,10-phenanthroline (L3) as the secondary ligands, respectively, and reacted with manganese sulphate monohydrate and cobalt nitrate hexahydrate by the solvothermal method to give complexes [Mn2(L1)2(L2)2 (H2O)2]n (1) and [Co2(L1)2(L3)2(H2O)2]n (2). The two complexes were investigated analytically by such as single-crystal X-ray diffraction, IR spectroscopy, thermogravimetric analysis, etc. The results show that complex 1 is composed of Mn2+ coordination linking L12- and L2 to form an infinitely extended 2D network-like structure, with the layers forming a 3D network-like structure under intermolecular hydrogen bonding and π-π stacking. Complex 2 consists of Co2+ ligated to L12- and L3 to form an infinitely extended 2D network, with the layers stacked in a 3D network by intermolecular hydrogen bonding and π -π stacking. Both complexes had good fluorescence property and thermal stability, and the maximum emission wavelengths of complexes 1 and 2 were 355 and 365 nm, respectively.
  • 加载中
    1. [1]

      Zhang L W, Zhang Y, Cui Y F, Yu M, Dong W K. Heterobimetallic[NiLn] (Ln=Sm and Tb) N2O4-donor coordination polymers: Syntheses, crystal structures and fluorescence properties[J]. Inorg. Chim. Acta, 2020,506119534. doi: 10.1016/j.ica.2020.119534

    2. [2]

      Wang Y L, Jiang Y L, Liu Q Y, Tan Y X, Wei J J, Zhang J. A series of three-dimensional lanthanide(Ⅲ) coordination polymers of 2,5-dihy-droxy-1, 4-benzenedicarboxylic acid based on dinuclear lanthanide units[J]. CrystEngComm, 2011,13(15):4981-4987. doi: 10.1039/c1ce05069a

    3. [3]

      Wang S, Huang R Q, Li W, Lv Y J, Han G C, Wei R Z, Liu Z. Synthesis, structure and properties of two complexes based on N and S heterocyclic dicarboxylic acid ligands[J]. Mol. Cryst. Liq. Cryst., 2022,746(1):110-119. doi: 10.1080/15421406.2022.2081044

    4. [4]

      Li X L, Yang Z Q, Zhu J P. Preparation of LiNi1/3Co1/3Mn1/3O2 using NiCoMn-MOF as precursor[J]. J. Electron. Mater., 2021,50(11):6114-6120. doi: 10.1007/s11664-021-09140-y

    5. [5]

      Yang T T, Guo B S, Du W Y, Aslam M K, Tao M L, Zhong W, Chen Y M, Bao S J, Zhang X, Xu M W. Design and construction of sodium polysulfides defense system for room-temperature Na-S battery[J]. Adv. Sci., 2019,6(23)1901557. doi: 10.1002/advs.201901557

    6. [6]

      SHI M J. Preparation of metal-organic skeleton-derived carbon-based materials and their application in electrocatalysis. Taiyuan: Shanxi University, 2020: 1-21

    7. [7]

      Nandasiri M I, Jambovane S R, Mcgrail B P, Schaef H T, Nune S K. Adsorption, separation, and catalytic properties of densified metal-organic frameworks[J]. Coord. Chem. Rev., 2016,311:38-52. doi: 10.1016/j.ccr.2015.12.004

    8. [8]

      Liang C X, Liu Z, Liang Q Q, Han G C, Han J X, Zhang S F, Feng X Z. Synthesis of 2-aminofluorene bis-Schiff base and corrosion inhibition performance for carbon steel in HCl[J]. J. Mol. Liq., 2018,277:330-340.

    9. [9]

      Wei W C, Liu Z, Wei R Z, Liang C X, Feng X Z, Han G C. Synthesis, crystal structure and anticorrosion performance of Zn(Ⅱ) and Ni(Ⅱ) complexes[J]. J. Mol. Struct., 2021,1228129452. doi: 10.1016/j.molstruc.2020.129452

    10. [10]

      Wei R Z, Liu Z, Wei W C, Liang C X, Han G C, Zhan L. Synthesis, crystal structure and characterization of two cobalt(Ⅱ) complexes based on pyridine carboxylic acid ligands[J]. Z. Anorg. Allg. Chem., 2022,648(9)e202000418.

    11. [11]

      Hamidi Z, Mosavian S Y, Sabbaghi N, Zarchi M A K, Noroozifar M. Cross-linked poly(N-alkyl-4-vinylpyridinium) iodides as new ecofriendly inhibitors for corrosion study of St-37 steel in 1 M H2SO4[J]. Iran. Polym. J., 2020,29(3):225-239. doi: 10.1007/s13726-020-00787-8

    12. [12]

      Wang H, Han S, Wang J J, Dun L A, Zhang B S, Chen X, Li W F, Li C B. Crystal structure, thermal behavior and luminescence of a new manganese(Ⅱ) coordination polymer constructed with 1,10-phenanthroline-5, 6-dione and 2,5-dihydroxyl-1, 4-terephthalic acid[J]. J. Mol. Struct., 2020,1204127466. doi: 10.1016/j.molstruc.2019.127466

    13. [13]

      Zhang X H, Zhang Y W, Jiao S S, Song X Y, Li S X, Liu K, Wang L. Coordination polymers driven by 2,5-dibromoterephthalic acid and chelating co-ligands: Syntheses, structures and luminescent properties[J]. J. Solid State Chem., 2020,292121721. doi: 10.1016/j.jssc.2020.121721

    14. [14]

      Cai H, Li N, Zhang N, Yang Z Y, Cao J, Lin Y T, Min N, Wang J. Metal-directed supramolecular architectures based on the bifunctional ligand 2,5-bis(1H-1, 2, 4-triazol-1-yl) terephthalic acid[J]. Acta Crystallogr. Sect. C, 2020,C76:118-124.

    15. [15]

      Tan J Y, Shi J X, Cui P H, Zhang Y Y, Zhang N, Zhang J Y, Deng W. A Ni3(OH)(COO)6-based MOF from C3 symmetric ligands: Structure and heterogeneous catalytic activities in one-pot synthesis of imine[J]. Microporous Mesoporous Mat., 2019,287:152-158. doi: 10.1016/j.micromeso.2019.06.003

    16. [16]

      Shapovalov S S, Skabitskii I V. Ruthenium and nickel complexes with cymanthrenenecarboxylic acid: Synthesis and structures[J]. Russ. J. Coord. Chem., 2021,47(5):330-334. doi: 10.1134/S1070328421050055

    17. [17]

      Isbjakowa A S, Grigoriev M S, Golubev D V, Savinkina E V. Synthesis and characterization of acetylurea complexes with rare-earth metal halides: Polymorphism of the praseodymium complexes[J]. J. Mol. Struct., 2020,1201(8)127141.

    18. [18]

      Giordano T H. Transport of Pb and Zn by carboxylate complexes in basinal ore fluids and related petroleum-field brines at 100 ℃: The influence of pH and oxygen fugacity[J]. Geochem. Trans., 2002,3(1):1-17. doi: 10.1186/1467-4866-3-1

    19. [19]

      Pu L M, Li P, Li S Z, Xu W B, Long H T, Dong W K. An investigation of structure, Hirshfeld surface, and fluorescence properties of two dinuclear Ni(Ⅱ) and Zn(Ⅱ) salamo-type complexes[J]. Appl. Organomet. Chem., 2021,35(11)e6397.

    20. [20]

      Kotian A, Kamat V, Naik K, Kokare D G, Kumara K, Lokanath N K, Revankar V K. Hydroxyacetone derived N4-methyl substituted thiosemicarbazone: Syntheses, crystal structures and spectroscopic characterization of later first-row transition metal complexes[J]. J. Mol. Struct., 2021,1224129055. doi: 10.1016/j.molstruc.2020.129055

    21. [21]

      GAO L L, HUANG S X, KANG R F, DAI G G, WU W N, WANG Y, CHEN Z. Crystal structures and fluorescence properties of five transition metal complexes with pyrazine thiosemicarbazone[J]. Chinese J. Inorg. Chem., 2019,35(5):901-909.  

  • 加载中
    1. [1]

      Kaimin WANGXiong GUNa DENGHongmei YUYanqin YEYulu MA . Synthesis, structure, fluorescence properties, and Hirshfeld surface analysis of three Zn(Ⅱ)/Cu(Ⅱ) complexes based on 5-(dimethylamino) isophthalic acid. Chinese Journal of Inorganic Chemistry, 2024, 40(7): 1397-1408. doi: 10.11862/CJIC.20240009

    2. [2]

      Lulu DONGJie LIUHua YANGYupei FUHongli LIUXiaoli CHENHuali CUILin LIUJijiang WANG . Synthesis, crystal structure, and fluorescence properties of Cd-based complex with pcu topology. Chinese Journal of Inorganic Chemistry, 2025, 41(4): 809-820. doi: 10.11862/CJIC.20240171

    3. [3]

      Zihe SONGJinjin ZHAONing RENJianjun ZHANG . Crystal structure, thermal analysis, and luminescence properties of six heterocyclic lanthanide complexes. Chinese Journal of Inorganic Chemistry, 2026, 42(1): 181-192. doi: 10.11862/CJIC.20250126

    4. [4]

      Jiarong ZHUXiaohua ZHANGXinting XIONGXuliang NIEXiuying SONGMiaomiao ZHANGDayong PENGXiuguang YI . Crystal structure, Hirshfeld surface analysis, and antifungal activity of five complexes based on 2,5-bis(carboxymethoxy)terephthalic acid. Chinese Journal of Inorganic Chemistry, 2025, 41(11): 2358-2370. doi: 10.11862/CJIC.20250150

    5. [5]

      Lu LIUHuijie WANGHaitong WANGYing LI . Crystal structure of a two-dimensional Cd(Ⅱ) complex and its fluorescence recognition of p-nitrophenol, tetracycline, 2, 6-dichloro-4-nitroaniline. Chinese Journal of Inorganic Chemistry, 2024, 40(6): 1180-1188. doi: 10.11862/CJIC.20230489

    6. [6]

      Xiaoling WANGHongwu ZHANGDaofu LIU . Synthesis, structure, and magnetic property of a cobalt(Ⅱ) complex based on pyridyl-substituted imino nitroxide radical. Chinese Journal of Inorganic Chemistry, 2025, 41(2): 407-412. doi: 10.11862/CJIC.20240214

    7. [7]

      Yingyue ZHANGLiuqing KANGYating YANGXiaofen GUANWenmin WANG . Crystal structure and antibacterial activity of two Gd2 complexes based on polydentate Schiff-base ligands. Chinese Journal of Inorganic Chemistry, 2025, 41(9): 1867-1877. doi: 10.11862/CJIC.20250100

    8. [8]

      Weizhong LINGJingyi LINJianglin ZHUYuyi LIANGShanshan DAIYu LI . Syntheses, structures, and catalytic performances of complexes with 4,4′-dihydroxy-[1,1′-biphenyl]-3,3′-dicarboxylic acid ligands. Chinese Journal of Inorganic Chemistry, 2026, 42(1): 152-160. doi: 10.11862/CJIC.20250204

    9. [9]

      Meirong HANXiaoyang WEISisi FENGYuting BAI . A zinc-based metal-organic framework for fluorescence detection of trace Cu2+. Chinese Journal of Inorganic Chemistry, 2024, 40(8): 1603-1614. doi: 10.11862/CJIC.20240150

    10. [10]

      Yinling HOUJia JIHong YUXiaoyun BIANXiaofen GUANJing QIUShuyi RENMing FANG . A rhombic Dy4-based complex showing remarkable single-molecule magnet behavior. Chinese Journal of Inorganic Chemistry, 2025, 41(3): 605-612. doi: 10.11862/CJIC.20240251

    11. [11]

      Ruiyan CHENYanping HEJian ZHANG . Synthesis and third-order nonlinear optical property of Ti4L6 cage-based metal-organic framework. Chinese Journal of Inorganic Chemistry, 2025, 41(10): 2149-2156. doi: 10.11862/CJIC.20250177

    12. [12]

      Ruikui YANXiaoli CHENMiao CAIJing RENHuali CUIHua YANGJijiang WANG . Design, synthesis, and fluorescence sensing performance of highly sensitive and multi-response lanthanide metal-organic frameworks. Chinese Journal of Inorganic Chemistry, 2024, 40(4): 834-848. doi: 10.11862/CJIC.20230301

    13. [13]

      Yao HUANGYingshu WUZhichun BAOYue HUANGShangfeng TANGRuixue LIUYancheng LIUHong LIANG . Copper complexes of anthrahydrazone bearing pyridyl side chain: Synthesis, crystal structure, anticancer activity, and DNA binding. Chinese Journal of Inorganic Chemistry, 2025, 41(1): 213-224. doi: 10.11862/CJIC.20240359

    14. [14]

      Jia JIZhaoyang GUOWenni LEIJiawei ZHENGHaorong QINJiahong YANYinling HOUXiaoyan XINWenmin WANG . Two dinuclear Gd(Ⅲ)-based complexes constructed by a multidentate diacylhydrazone ligand: Crystal structure, magnetocaloric effect, and biological activity. Chinese Journal of Inorganic Chemistry, 2025, 41(4): 761-772. doi: 10.11862/CJIC.20240344

    15. [15]

      Xin MAYa SUNNa SUNQian KANGJiajia ZHANGRuitao ZHUXiaoli GAO . A Tb2 complex based on polydentate Schiff base: Crystal structure, fluorescence properties, and biological activity. Chinese Journal of Inorganic Chemistry, 2024, 40(7): 1347-1356. doi: 10.11862/CJIC.20230357

    16. [16]

      Jiaxin LUYifu QIAOXing QIANGYong GAOZiya LIUManying ZHANG . Silver-doped antimicrobial fluorescent carbon dots: Dual properties of metal ion detection and antibacterial. Chinese Journal of Inorganic Chemistry, 2026, 42(2): 398-412. doi: 10.11862/CJIC.20250207

    17. [17]

      Xiumei LIYanju HUANGBo LIUYaru PAN . Syntheses, crystal structures, and quantum chemistry calculation of two Ni(Ⅱ) coordination polymers. Chinese Journal of Inorganic Chemistry, 2024, 40(10): 2031-2039. doi: 10.11862/CJIC.20240109

    18. [18]

      Xiumei LILinlin LIBo LIUYaru PAN . Syntheses, crystal structures, and characterizations of two cadmium(Ⅱ) coordination polymers. Chinese Journal of Inorganic Chemistry, 2025, 41(3): 613-623. doi: 10.11862/CJIC.20240273

    19. [19]

      Chao LIUJiang WUZhaolei JIN . Synthesis, crystal structures, and antibacterial activities of two zinc(Ⅱ) complexes bearing 5-phenyl-1H-pyrazole group. Chinese Journal of Inorganic Chemistry, 2024, 40(10): 1986-1994. doi: 10.11862/CJIC.20240153

    20. [20]

      Yukun CHENKexin FENGBolun ZHANGWentao SONGJianjun ZHANG . Syntheses, crystal structures, and diametrically opposed mechanically-stimulated luminescence response of two Mg(Ⅱ) metal-organic frameworks. Chinese Journal of Inorganic Chemistry, 2025, 41(6): 1227-1234. doi: 10.11862/CJIC.20240448

Metrics
  • PDF Downloads(2)
  • Abstract views(2224)
  • HTML views(316)

通讯作者: 陈斌, bchen63@163.com
  • 1. 

    沈阳化工大学材料科学与工程学院 沈阳 110142

  1. 本站搜索
  2. 百度学术搜索
  3. 万方数据库搜索
  4. CNKI搜索
Address:Zhongguancun North First Street 2,100190 Beijing, PR China Tel: +86-010-82449177-888
Powered By info@rhhz.net

/

DownLoad:  Full-Size Img  PowerPoint
Return