Citation: Fang CHANG, Ying-Jie ZHAO, You-Ping SHOU, Lu ZHANG, Jiang-Nan WANG, Ting-Ting SHI. One-Pot Preparation of Fe2O3/Fe2TiO5 S-Scheme Heterojunction Photocatalyst for Highly Efficient Degradation of Organic Pollution[J]. Chinese Journal of Inorganic Chemistry, ;2022, 38(9): 1862-1870. doi: 10.11862/CJIC.2022.173 shu

One-Pot Preparation of Fe2O3/Fe2TiO5 S-Scheme Heterojunction Photocatalyst for Highly Efficient Degradation of Organic Pollution

Figures(9)

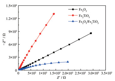
  • For the first time, Fe2O3/Fe2TiO5 heterojunction materials have been fabricated by a facile one-pot solvothermal method. After the construction of the S-scheme heterojunction, compared to pure Fe2O3 and Fe2TiO5, the photocatalytic degradation rate and efficiency of Fe2O3/Fe2TiO5 were significantly improved. After being illuminated for 2.5 h, nearly 100% of methylene blue (MB) has been degraded by Fe2O3/Fe2TiO5. In Fe2O3/Fe2TiO5 composite material, a built-in field is formed between Fe2O3 and Fe2TiO5, thus promoting the separation of photogenerated electron-hole pairs. Therefore, electrons in the conduction band (CB) of Fe2TiO5 and holes in the valence band (VB) of Fe2O3 with higher energy, which show high reduction and oxidation capacity, respectively, can retain and transfer to the surface to participate in the degradation reaction. Moreover, Fe2O3/Fe2TiO5 composite showed good photocatalytic stability.
  • 加载中
    1. [1]

      Zodrow K R, Li Q L, Buono R M, Chen W, Daigger G, Duenas-Osorio L, Elimelech M, Huang X, Jiang G, Kim J, Logan B, Sedlak D, Westerhoff P, Alvarez P J. Advanced Materials, Technologies, and Complex Systems Analyses: Emerging Opportunities to Enhance Urban Water Security[J]. Environ. Sci. Technol., 2017,51:10274-10281. doi: 10.1021/acs.est.7b01679

    2. [2]

      McDonald R I, Green P, Balk D, Fekete B, Revenga C, Todd M, Montgomery M. Urban Growth, Climate Change, and Freshwater Availability[J]. Proc. Natl. Acad. Sci. U.S.A., 2011,108:6312-6317. doi: 10.1073/pnas.1011615108

    3. [3]

      Peter-Varbanets M, Zurbrügg C, Swartz C, Pronk W. Decentralized Systems for Potable Water and the Potential of Membrane Technology[J]. Water Res., 2009,43:245-265. doi: 10.1016/j.watres.2008.10.030

    4. [4]

      Schwarzenbach R P, Esscher B I, Fenner K, Johnson C, Gunten U. The Challenge of Micropollutants in Aquatic Systems[J]. Science, 2006,313:1072-1077. doi: 10.1126/science.1127291

    5. [5]

      Hodges B C, Cates E L, Kim J H. Challenges and Prospects of Advanced Oxidation Water Treatment Processes Using Catalytic Nanomaterials[J]. Nat. Nanotechnol., 2018,13:642-650. doi: 10.1038/s41565-018-0216-x

    6. [6]

      Cheng M, Zeng G M, Huang D L, Lai C, Liu Y, Zhang C, Wan J, Hu L, Zhou C, Xiong W. Efficient Degradation of Sulfamethazine in Simulated and Real Wastewater at Slightly Basic pH Values Using Co-SAM-SCS/H2O2 Fenton-like System[J]. Water Res., 2018,138:7-18. doi: 10.1016/j.watres.2018.03.022

    7. [7]

      Diugosz M, Zmudzki P, Kwiecien A, Szczubiaika K, Krzek J, Nowakowska M. Photocatalytic Degradation of Sulfamethoxazole in Aqueous Solution Using a Floating TiO2- Expanded Perlite Photocatalyst[J]. J. Hazard. Mater., 2015,298:146-153. doi: 10.1016/j.jhazmat.2015.05.016

    8. [8]

      Zhu L L, Ji J H, Liu L, Mine S, Matsuoka M, Zhang J L, Xing M Y. Designing 3D-MoS2 Sponge as Excellent Cocatalysts in Advanced Oxidation Processes for Pollutant Control[J]. Angew. Chem. Int. Ed., 2020,59:13968-13976. doi: 10.1002/anie.202006059

    9. [9]

      Yi Q Y, Ji J H, Shen B, Dong C C, Liu J, Zhang J L, Xing M Y. Singlet Oxygen Triggered by Superoxide Radicals in a Molybdenum Cocatalytic Fenton Reaction with Enhanced REDOX Activity in the Environment[J]. Environ. Sci. Technol., 2019,53:9725-9733. doi: 10.1021/acs.est.9b01676

    10. [10]

      Maji T K, Bagchi D, Kar P, Karmakar D, Pal S. Enhanced Charge Separation through Modulation of Defect-State in Wide Band-Gap Semiconductor for Potential Photocatalysis Application: Ultrafast Spectroscopy and Computational Studies[J]. J. Photochem. Photobiol. A, 2017,332:391-398. doi: 10.1016/j.jphotochem.2016.09.017

    11. [11]

      Sheng J P, He Y, Li J Y, Yuan C, Huang H, Wang S, Sun Y, Wang Z, Dong F. Identification of Halogen-Associated Active Sites on Bismuth-Based Perovskite Quantum Dots for Efficient and Selective CO2- To-CO Photoreduction[J]. ACS Nano, 2020,14:13103-13114. doi: 10.1021/acsnano.0c04659

    12. [12]

      Hu Z, Li K N, Wu X F, Wang N, Li X, Li Q, Li L, Lv K. Dramatic Promotion of Visible-Light Photoreactivity of TiO2 Hollow Microspheres towards NO Oxidation by Introduction of Oxygen Vacancy[J]. Appl. Catal. B-Environ., 2019,256117860. doi: 10.1016/j.apcatb.2019.117860

    13. [13]

      Guediri M K, Chebli D, Bouguettoucha A, Bourzami R, Amrane A. Novel Fe2TiO5/Reduced Graphene Oxide Heterojunction Photocatalyst with Improved Adsorption Capacity and Visible Light Photoactivity: Experimental and DFT Approach[J]. Environ. Sci. Pollut. Res., 2021,28:8507-8519. doi: 10.1007/s11356-020-11221-0

    14. [14]

      Dong S Y, Cui L F, Zhang W, Xia L, Zhou S, Russell C, Fan M, Feng J, Sun J. Double-Shelled ZnSnO3 Hollow Cubes for Efficient Photocatalytic Degradation of Antibiotic Wastewater[J]. Chem. Eng. J., 2020,384123279. doi: 10.1016/j.cej.2019.123279

    15. [15]

      Sivula K, Le Formal F, Grätzel M. Solar Water Splitting: Progress Using Hematite (α-Fe2O3) Photoelectrodes[J]. ChemSusChem, 2011,4:432-449. doi: 10.1002/cssc.201000416

    16. [16]

      Solarska R, Królikowska A, Augustyński J. Silver Nanoparticle Induced Photocurrent Enhancement at WO3 Photoanodes[J]. Angew. Chem. Int. Ed., 2010,49:7980-7983. doi: 10.1002/anie.201002173

    17. [17]

      Cao D P, Wang J, Zhang J B, Liu S, Xu F, Xu S, Xu X, Mi B, Gao Z. Mechanism Investigation of the Postnecking Treatment to WO3 Photoelectrodes[J]. ACS Appl. Energy Mater., 2018,1:4670-4677. doi: 10.1021/acsaem.8b00805

    18. [18]

      Meng L X, Tian W, Wu F L, Cao F, Li L. TiO2 ALD Decorated CuO/ BiVO4 pn Heterojunction for Improved Photoelectrochemical Water Splitting[J]. J. Mater. Sci. Technol., 2019,35:1740-1746. doi: 10.1016/j.jmst.2019.03.008

    19. [19]

      Xu Z Q, Guan Z J, Yang J J, Li Q. Band Positions and Photoelectrochemical Properties of Solution-Processed Silver-Substituted Cu2ZnSnS4 Photocathode[J]. ACS Appl. Energy Mater., 2019,2:2779-2785. doi: 10.1021/acsaem.9b00116

    20. [20]

      Feng J Y, Huang H T, Fang T, Wang X, Yan S, Luo W, Yu T, Zhao Y, Li Z, Zou Z. Defect Engineering in Semiconductors: Manipulating Nonstoichiometric Defects and Understanding Their Impact in Oxynitrides for Solar Energy Conversion[J]. Adv. Funct. Mater., 2019,291808389. doi: 10.1002/adfm.201808389

    21. [21]

      Cao D P, Yin H M, Yu X H, Zhang J, Jiao Y, Zheng W, Mi B, Gao Z. Role of Modifying Photoanodes by Organic Titanium on Charge Collection Efficiency Enhancement in Dye-Sensitized Solar Cells[J]. Adv. Eng. Mater., 2020,221901071. doi: 10.1002/adem.201901071

    22. [22]

      Zhang Z J, Karinata I, Nagashima H, Moto S, Ohara K, Sugimoto K, Tachikawa T. Interfacial Oxygen Vacancies Yielding Long-Lived Holes in Hematite Mesocrystal-Based Photoanodes[J]. Nat. Commun., 2019,104832. doi: 10.1038/s41467-019-12581-z

    23. [23]

      Yu X L, Liu J Q, Yin W C, Wang T, Quan L, Ran Y, Cui J, Wang L, Zhang Y. Ultrathin NiMn-Layered Double Hydroxide Nanosheets Coupled with α-Fe2O3 Nanorod Arrays for Photoelectrochemical Water Splitting[J]. Appl. Surf. Sci., 2019,492:264-271. doi: 10.1016/j.apsusc.2019.06.162

    24. [24]

      Lee H, Kim K H, Choi W H, Moon B, Kong H, Kang J. Cobalt-Phosphate Catalysts with Reduced Bivalent Co-Ion States and Doped Nitrogen Atoms Playing as Active Sites for Facile Adsorption, Fast Charge Transfer, and Robust Stability in Photoelectrochemical Water Oxidation[J]. ACS Appl. Mater. Interfaces, 2019,11:44366-44374. doi: 10.1021/acsami.9b16523

    25. [25]

      Cao D P, Zhang J B, Wang A C, Yu X H, Mi B X. Fabrication of Cr-Doped SrTiO3/Ti-Doped α-Fe2O3 Photoanodes with Enhanced Photoelectrochemical Properties[J]. J. Mater. Sci. Technol., 2020,56:189-195. doi: 10.1016/j.jmst.2020.04.025

    26. [26]

      Cao D P, Wang A C, Yu X H, Yin H, Zhang J, Mi B, Gao Z. Room-Temperature Preparation of TiO2/Graphene Composite Photoanodes for Efficient Dye-Sensitized Solar Cells[J]. J. Colloid Interface Sci., 2021,586:326-334. doi: 10.1016/j.jcis.2020.10.096

    27. [27]

      Li C C, Wang T, Luo Z B, Liu S, Gong J. Enhanced Charge Separation through ALD-Modified Fe2O3/Fe2TiO5 Nanorod Heterojunction for Photoelectrochemical Water Oxidation[J]. Small, 2016,25:3415-3422.

    28. [28]

      Regue M, Ahmet I Y, Bassi P S, Johnson A, Fiechter S, Krol R, Abdi F, Eslava S. Zn-Doped Fe2TiO5 Pseudobrookite-Based Photoanodes Grown by Aerosol-Assisted Chemical Vapor Deposition[J]. ACS Appl. Energy Mater., 2020,3:12066-12077. doi: 10.1021/acsaem.0c02190

    29. [29]

      Bassi P S, Chiam S Y, Gurudayal , Barber J, Wong L. Hydrothermal Grown Nanoporous Iron Based Titanate, Fe2TiO5 for Light Driven Water Splitting[J]. ACS Appl. Mater. Interfaces, 2014,6:22490-22495. doi: 10.1021/am5065574

    30. [30]

      Xiao Y, Lv X X, Feng K, Lu C, Li H T, Zhong J, Deng J J. Water-Soluble Peroxotitanium Complex: A Novel Strategy to Prepare Fe2O3/ Fe2TiO5 Photoanode with Enhanced Water Oxidation[J]. J. Alloy. Compd., 2022,898162930. doi: 10.1016/j.jallcom.2021.162930

    31. [31]

      Waqas M. Fe2TiO5 /Fe2O3 (Shell/Shell) and (Shell/Core) Heterostructured for Efficient Oxygen Evolution[J]. Inorg. Chem., 2021,60(17):13461-13470. doi: 10.1021/acs.inorgchem.1c01789

    32. [32]

      Bassi P S, Antony R P, Boix P P, Fang Y N, Barber J, Wong L H. Crystalline Fe2O3/Fe2TiO5 Heterojunction Nanorods with Efficient Charge Separation and Hole Injection as Photoanode for Solar Water Oxidation[J]. Nano Energy, 2016,22:310-318. doi: 10.1016/j.nanoen.2016.02.013

    33. [33]

      Deng Y X, Xing M Y, Zhang J L. An Advanced TiO2/Fe2TiO5/Fe2O3 Triple-Heterojunction with Enhanced and Stable Visible-Light-Driven Fenton Reaction for the Removal of Organic Pollutants[J]. Appl. Catal. B-Environ., 2017,211:157-166. doi: 10.1016/j.apcatb.2017.04.037

    34. [34]

      Yu R, Li Z, Wang D, Lai X, Xing C, Yang M, Xing X. Fe2 TiO5/α-Fe2O3 Nanocomposite Hollow Spheres with Enhanced Gas-Sensing Properties[J]. Scr. Mater., 2010,63(2):155-158. doi: 10.1016/j.scriptamat.2010.03.043

    35. [35]

      Kannan K, Radhika D, Nikolova M P, Sadasivuni K, Mahdizadeh H, Verma U. Structural Studies of Bio-mediated NiO Nanoparticles for Photocatalytic and Antibacterial Activities[J]. Inorg. Chem. Commun., 2020,113107755. doi: 10.1016/j.inoche.2019.107755

    36. [36]

      Lee D K, Lee D, Lumley M A, Choi K S. Progress on Ternary Oxide-Based Photoanodes for Use in Photoelectrochemical Cells for Solar Water Splitting[J]. Chem. Soc. Rev., 2019,48:2126-2157. doi: 10.1039/C8CS00761F

    37. [37]

      Xu Q L, Zhang L Y, Cheng B, Fan J J, Yu J G. S-Scheme Heterojunction Photocatalyst[J]. Chem, 2020,6:1543-1559. doi: 10.1016/j.chempr.2020.06.010

  • 加载中
    1. [1]

      Qingwang LIU . MoS2/Ag/g-C3N4 Z-scheme heterojunction: Preparation and photocatalytic performance. Chinese Journal of Inorganic Chemistry, 2025, 41(4): 821-832. doi: 10.11862/CJIC.20240148

    2. [2]

      Jun DongSenyuan TanSunbin YangYalong JiangRuxing WangJian AoZilun ChenChaohai ZhangQinyou AnXiaoxing Zhang . Spatial confinement of free-standing graphene sponge enables excellent stability of conversion-type Fe2O3 anode for sodium storage. Chinese Chemical Letters, 2025, 36(3): 110010-. doi: 10.1016/j.cclet.2024.110010

    3. [3]

      Cailiang YueNan SunYixing QiuLinlin ZhuZhiling DuFuqiang Liu . A direct Z-scheme 0D α-Fe2O3/TiO2 heterojunction for enhanced photo-Fenton activity with low H2O2 consumption. Chinese Chemical Letters, 2024, 35(12): 109698-. doi: 10.1016/j.cclet.2024.109698

    4. [4]

      Yuan CONGYunhao WANGWanping LIZhicheng ZHANGShuo LIUHuiyuan GUOHongyu YUANZhiping ZHOU . Construction and photocatalytic properties toward rhodamine B of CdS/Fe3O4 heterojunction. Chinese Journal of Inorganic Chemistry, 2024, 40(11): 2241-2249. doi: 10.11862/CJIC.20240219

    5. [5]

      Yujia LITianyu WANGFuxue WANGChongchen WANG . Direct Z-scheme MIL-100(Fe)/BiOBr heterojunctions: Construction and photo-Fenton degradation for sulfamethoxazole. Chinese Journal of Inorganic Chemistry, 2024, 40(3): 481-495. doi: 10.11862/CJIC.20230314

    6. [6]

      Tong WANGQinyue ZHONGQiong HUANGWeimin GUOXinmei LIU . Mn-doped carbon quantum dots/Fe-doped ZnO flower-like microspheres heterojunction: Construction and photocatalytic performance. Chinese Journal of Inorganic Chemistry, 2025, 41(8): 1589-1600. doi: 10.11862/CJIC.20250011

    7. [7]

      Zhiwen HUHuiying ZHANGJiayan ZHOUYulong YANGPing LIZelong CHENWeixia DONGQifu BAO . Time evolution of in-situ synthesized Bi12TiO20/BaTiO3 heterojunctions and catalytic mechanisms. Chinese Journal of Inorganic Chemistry, 2026, 42(1): 65-77. doi: 10.11862/CJIC.20250172

    8. [8]

      Xi YANGChunxiang CHANGYingpeng XIEYang LIYuhui CHENBorao WANGLudong YIZhonghao HAN . Co-catalyst Ni3N supported Al-doped SrTiO3: Synthesis and application to hydrogen evolution from photocatalytic water splitting. Chinese Journal of Inorganic Chemistry, 2025, 41(3): 440-452. doi: 10.11862/CJIC.20240371

    9. [9]

      Runzi CaoHeng ShaoXinjie WangJian WangEnxiang ShangYang Li . Photocatalytic production of high-value-added fuels from biodegradable PBAT by Nb2O5/GCN heterojunction catalyst: Performance and mechanism. Chinese Chemical Letters, 2025, 36(7): 111029-. doi: 10.1016/j.cclet.2025.111029

    10. [10]

      Haojie DuanHejingying NiuLina GanXiaodi DuanShuo ShiLi Li . Reinterpret the heterogeneous reaction of α-Fe2O3 and NO2 with 2D-COS: The role of SDS, UV and SO2. Chinese Chemical Letters, 2024, 35(6): 109038-. doi: 10.1016/j.cclet.2023.109038

    11. [11]

      Juhong LianDeng LiYongmei MaHui BianYifan ShaoZitong WangJunqing YanRuibin JiangShengzhong (Frank) LiuFuxiang Zhang . Decorating CsPbBr3 with In2O3 seeds to build intimate direct Z-scheme heterojunction for promoted photocatalytic CO2 reduction. Chinese Chemical Letters, 2025, 36(11): 111394-. doi: 10.1016/j.cclet.2025.111394

    12. [12]

      Zheng LiuYuqing BianGraham DawsonJiawei ZhuKai Dai . Rational constructing of Zn0.5Cd0.5S-diethylenetriamine/g-C3N4 S-scheme heterojunction with enhanced photocatalytic H2O2 production. Chinese Chemical Letters, 2025, 36(9): 111272-. doi: 10.1016/j.cclet.2025.111272

    13. [13]

      Zhinan GUOJunli WANGQiang ZHAOZhifang JIAZuopeng LIKewei WANGYong GUO . Cu2O/Bi2CrO6 Z-scheme heterojunction: Construction and photocatalytic degradation properties for tetracycline. Chinese Journal of Inorganic Chemistry, 2025, 41(4): 741-752. doi: 10.11862/CJIC.20240403

    14. [14]

      Ning LiuMan TianYe ZhangJinming YangZhihao WangWangxi DaiGuixiang QuanJianqiu LeiXiaodong ZhangLiang Tang . Three-dimensional MIL-88A(Fe)-derived α-Fe2O3 and graphene composite for efficient photo-Fenton-like degradation of ciprofloxacin. Chinese Chemical Letters, 2025, 36(12): 111063-. doi: 10.1016/j.cclet.2025.111063

    15. [15]

      Xingmin ChenYunyun WuYao TangPeishen LiShuai GaoQiang WangWen LiuSihui Zhan . Construction of Z-scheme Cu-CeO2/BiOBr heterojunction for enhanced photocatalytic degradation of sulfathiazole. Chinese Chemical Letters, 2024, 35(7): 109245-. doi: 10.1016/j.cclet.2023.109245

    16. [16]

      Guie LiChunyan YangQiu YangQingzhu ZhengMenghan LiJianhua QuGuangshan Zhang . A magnetically recyclable CoFe2O4/BiOBr S-scheme heterojunction for efficient photocatalytic degradation of diuron: Performance, durability and mechanism exploration. Chinese Chemical Letters, 2026, 37(1): 111207-. doi: 10.1016/j.cclet.2025.111207

    17. [17]

      Yuchen Guo Xiangyu Zou Xueling Wei Weiwei Bao Junjun Zhang Jie Han Feihong Jia . Fe regulating Ni3S2/ZrCoFe-LDH@NF heterojunction catalysts for overall water splitting. Chinese Journal of Structural Chemistry, 2024, 43(2): 100206-100206. doi: 10.1016/j.cjsc.2023.100206

    18. [18]

      Yingqi BAIHua ZHAOHuipeng LIXinran RENJun LI . Perovskite LaCoO3/g-C3N4 heterojunction: Construction and photocatalytic degradation properties. Chinese Journal of Inorganic Chemistry, 2025, 41(3): 480-490. doi: 10.11862/CJIC.20240259

    19. [19]

      Min WANGDehua XINWei ZHANGHaiying YANGYuchun WANGZhaorong LIUMeng SHILe SHI . Preparation and full-spectrum catalytic degradation performance of nitrogen vacancy g-C3N4/Bi/BiOBr/BiOI heterojunction material. Chinese Journal of Inorganic Chemistry, 2025, 41(11): 2283-2298. doi: 10.11862/CJIC.20250109

    20. [20]

      Xingyan LiuKaili WuYacen TangNing QiYumeng ZhangYouzhou HeMin FuYanhui Ao . Ti3C2 MXene-derived TiO2@C attached on Bi2WO6 with oxygen vacancies to fabricate S-scheme heterojunction for photocatalytic antibiotics degradation and NO removal. Chinese Chemical Letters, 2025, 36(11): 110882-. doi: 10.1016/j.cclet.2025.110882

Metrics
  • PDF Downloads(2)
  • Abstract views(1208)
  • HTML views(134)

通讯作者: 陈斌, bchen63@163.com
  • 1. 

    沈阳化工大学材料科学与工程学院 沈阳 110142

  1. 本站搜索
  2. 百度学术搜索
  3. 万方数据库搜索
  4. CNKI搜索
Address:Zhongguancun North First Street 2,100190 Beijing, PR China Tel: +86-010-82449177-888
Powered By info@rhhz.net

/

DownLoad:  Full-Size Img  PowerPoint
Return