Citation: Yi ZHANG, Cui-Ping ZHOU, Qi-Feng ZHANG, Xin-Dan FENG. Combustion Synthesis and Performances of Amorphous La2Ti2O7∶Eu3+ Phosphor for Plant Growth Lighting[J]. Chinese Journal of Inorganic Chemistry, ;2022, 38(6): 1073-1080. doi: 10.11862/CJIC.2022.114 shu

Combustion Synthesis and Performances of Amorphous La2Ti2O7∶Eu3+ Phosphor for Plant Growth Lighting

  • Corresponding author: Yi ZHANG, yizhang@sicau.edu.cn
  • Received Date: 10 February 2022
    Revised Date: 7 April 2022

Figures(10)

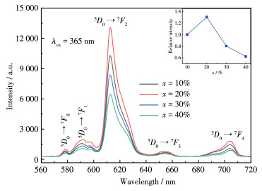
  • Amorphous La2Ti2O7∶Eu3+ phosphors were synthesized by the combustion method and characterized by X-ray diffraction (XRD), scanning electron microscope (SEM), and photoluminescence spectra to study the structure, morphology, and luminescent properties. Then it was further applied in wheat growth lighting LEDs (lightemitting diodes) to investigate the illumination effect on growth rate and photosynthesis pigments of wheat. Compared with the crystalline sample synthesized by the solid-state method, the amorphous La2Ti2O7∶Eu3+ phosphor can increase the emission intensity of 7F2 energy-level transition relative to 7F1 energy-level from 2.8 to 5.3 by reducing the coordination environment symmetry around Eu3+ ions, and the emission peak showed a redshift from 611 to 613 nm. The amorphous La2Ti2O7∶Eu3+ phosphor exhibited a color coordinate of (0.661, 0.339) and a color purity of 95.9% as compared with 90.9% of the crystalline sample, which is more suitable for applications in plant growth lighting LEDs. The amorphous La2Ti2O7∶Eu3+ phosphor overcomes the problem of low luminous efficiency of Eu3+ ions in the amorphous host, which achieved a high internal quantum efficiency of 79.8% and an external quantum efficiency of 43.0%. Besides, the emission intensity of the amorphous La2Ti2O7∶Eu3+ phosphor at 150 ℃ can maintain 46.3% of that at room temperature. Finally, the as-fabricated LED lamp can accelerate the growth rate of wheat, resulting in an improvement of 28% of the content of chlorophyll and carotene, which shows a potential to be applied in agricultural lighting LEDs.
  • 加载中
    1. [1]

      Avinash A, Gupta S D. Impact of Light-Emitting Diodes (LEDs) and Its Potential on Plant Growth and Development in Controlled-Environment Plant Production System[J]. Current Biotechnology, 2016,5(1):28-43. doi: 10.2174/2211550104666151006001126

    2. [2]

      Sipos L, Boros I F, Csambalik L, Székely G, Jung A, Balázs L. Horticultural Lighting System Optimalization: A Review[J]. Sci. Hortic., 2020,273109631. doi: 10.1016/j.scienta.2020.109631

    3. [3]

      Adachi S. Photoluminescence Properties of Mn4+-Activated Oxide Phosphors for Use in White-LED Applications: A Review[J]. J. Lumin., 2018,202:263-281. doi: 10.1016/j.jlumin.2018.05.053

    4. [4]

      Chen W, Shen L L, Shen C Y, Zhang Z L, Liang X J, Xiang W D. Mn4+-Related Photoemission Enhancement via Energy Transfer in La2MgGeO6∶Dy3+, Mn4+ Phosphor for Plant Growth Light-Emitting Diodes[J]. J. Am. Ceram. Soc., 2019,102(1):331-341. doi: 10.1111/jace.15923

    5. [5]

      Fu L Y, Yang Y L, Zhang Y, Ren X F, Zhu Y J, Zhu J J, Wu Y, Wang J, Feng X. The Novel Sr3LiSbO6∶Mn4+, Ca2+ Far-Red-Emitting Phosphors with over 95% Internal Quantum Efficiency for Indoor Plant Growth LEDs[J]. J. Lumin., 2021,237118165. doi: 10.1016/j.jlumin.2021.118165

    6. [6]

      Zhang Y, Sun S, Yin P F, Yang Y L, Fu L Y, Wang J, Feng X, Rao H B, Wang Y Y. Luminescence-Enhancement and Tunable-Excitation of Far-Red Emitting La2LiSbO6: Mn4+, Bi3+ Phosphors for Plant Growth Lighting[J]. J. Lumin., 2020,224117268. doi: 10.1016/j.jlumin.2020.117268

    7. [7]

      Li L, Pan Y X, Huang Y, Huang S M, Wu M M. Dual-Emissions with Energy Transfer from the Phosphor Ca14Al10Zn6O35∶Bi3+, Eu3+ for Application in Agricultural Lighting[J]. J. Alloys Compd., 2017,724:735-743. doi: 10.1016/j.jallcom.2017.07.047

    8. [8]

      Sun Z, Zhang Q H, Li Y G, Wang H Z. Thermal Stable La2Ti2O7∶Eu3+ Phosphors for Blue-Chip White LEDs with High Color Rendering Index[J]. J. Alloys Compd., 2010,506(1):338-342. doi: 10.1016/j.jallcom.2010.06.203

    9. [9]

      Park J Y, Park S J, Kwak M, Yang H K. Rapid Visualization of Latent Fingerprints with Eu-Doped La2Ti2O7[J]. J. Lumin., 2018,201:275-283. doi: 10.1016/j.jlumin.2018.04.012

    10. [10]

      Yang H H, Cheng H, Tang Y G, Lu Z G. Photoluminescence Enhancement of (La0.95Eu0.05)2Ti2O7 Nanophosphors via Li+ Doping[J]. J. Am. Ceram. Soc., 2009,92(4):931-933. doi: 10.1111/j.1551-2916.2009.02939.x

    11. [11]

      Xia M F, Ju Z H, Yang H, Wang Z B, Gao X P, Pan F X, Liu W S. Red-Emitting Enhancement by Inducing Lower Crystal Field Symmetry of Eu3+ Site in CaWO4∶Eu3+ Phosphor for N-UV W-LEDs[J]. J. Alloys Compd., 2018,739:439-446. doi: 10.1016/j.jallcom.2017.12.242

    12. [12]

      Yang X, Chen J C, Zheng S S, Chen C. A Downshifting Eu3+ Doped Glass Embedded with Concave Pyramid Microstructure to Improve the Efficiency of Silicon Solar Cell[J]. J. Rare Earths, 2020,38(11):1158-1164. doi: 10.1016/j.jre.2019.11.013

    13. [13]

      Zhang J P, Wu J M, Lu X L, Ma S W, Lei T Y, Wang S X, Ye Z M, Cheng X. Studying Crystal-Field Splitting Difference of Eu3+ Ions from Orthorhombic to Cubic Ca4Al6SO16[J]. Ceram. Int., 2020,46(5):5998-6005. doi: 10.1016/j.ceramint.2019.11.056

    14. [14]

      LI S, GUO N, LIANG Q M, DENG H X. Red Phosphors Doped by Eu Used in White LED[J]. Chinese J. Inorg. Chem., 2017,33(4):543-549.  

    15. [15]

      Walas M, Lisowska M, Lewandowski T, Becerro A I, Łapiński M, Synak A, Sadowski W, Kościelska B. From Structure to Luminescence Investigation of Oxyfluoride Transparent Glasses and Glass-Ceramics Doped with Eu3+/Dy3+ Ions[J]. J. Alloys Compd., 2019,806:1410-1418. doi: 10.1016/j.jallcom.2019.07.017

    16. [16]

      Pawlik N, Szpikowska-Sroka B, Goryczka T, Zubko M, Lelątko J, Pisarski W A. Structure and Luminescent Properties of Oxyfluoride Glass-Ceramics with YF3∶Eu3+ Nanocrystals Derived by Sol-Gel Method[J]. J. Eur. Ceram. Soc., 2019,39(15):5010-5017. doi: 10.1016/j.jeurceramsoc.2019.07.009

    17. [17]

      LI Y H, LU H Y, ZHANG Y M, LIU X. Combustion Synthesis and Properties of Gd3Ga5O12∶Eu3+ Luminescence Nanocrystals[J]. Chinese J. Inorg. Chem., 2011,27(3):533-536.  

    18. [18]

      SUN J Y, DU H Y, HU W X. Solid Luminescent Materials. Beijing: Chemical Industry Press, 2003: 65-66

    19. [19]

      Rahimian H, Mokhtari H, Shirmardi S P. Improvement of Eu3+ Emissions in Oxyfluoride Glass and Nano Glass-Ceramic by Electron Beam Irradiation[J]. J. Lumin., 2017,187:535-539. doi: 10.1016/j.jlumin.2017.03.025

    20. [20]

      Wang S X, Liu S X, Zhang J P, Ye Z M, Cheng X. Trace Detection of Impurity Phase in Preparation of Ye′elimite by Eu3+ Fluorescence Prober[J]. Sens. Actuators B, 2019,296126607. doi: 10.1016/j.snb.2019.05.084

    21. [21]

      Binnemans K. Interpretation of Europium(Ⅲ) Spectra[J]. Coord. Chem. Rev., 2015,295:1-45. doi: 10.1016/j.ccr.2015.02.015

    22. [22]

      Dang P P, Li G G, Yun X H, Zhang Q Q, Liu D J, Lian H Z, Shang M M, Lin J. Thermally Stable and Highly Efficient Red-Emitting Eu3+-Doped Cs3 GdGe3O9 Phosphors for WLEDs: Non-concentration Quenching and Negative Thermal Expansion[J]. Light Sci. Appl., 2021,10(1)29. doi: 10.1038/s41377-021-00469-x

    23. [23]

      Yang Y L, Fu L Y, Ren X F, Zhu Y J, Zhu J J, Wu Y, Pu X, Zhang Y. Sr3LiTaO6: xMn4+ Red-Emitting Phosphors for Indoor Plant Growth Lighting: High Thermal Stability and Quantum Efficiency[J]. J. Lumin., 2021,238118234. doi: 10.1016/j.jlumin.2021.118234

    24. [24]

      Han S, Du Y, Yuan J, Tao Y T, Wang Y J, Yan S S, Chen D P. Luminescence Behavior of Eu3+ in Silica Glass Containing GdVO4∶Eu Nanocrystals[J]. J. Non-Cryst. Solids, 2020,532119894. doi: 10.1016/j.jnoncrysol.2020.119894

  • 加载中
    1. [1]

      Nian LIUBiao ZHENGKun WANGChunbao ZHENGQingyan HANEnjie HESaidong XUE . Synthesis and spectroscopic performance of double perovskite Li0.5La0.5MgSrWO6∶Mn4+ phosphors for plant growth lighting. Chinese Journal of Inorganic Chemistry, 2026, 42(1): 129-140. doi: 10.11862/CJIC.20250069

    2. [2]

      Xuewei BACheng CHENGHuaikang ZHANGDeqing ZHANGShuhua LI . Preparation and luminescent performance of Sr1-xZrSi2O7xDy3+ phosphor with high thermal stability. Chinese Journal of Inorganic Chemistry, 2025, 41(2): 357-364. doi: 10.11862/CJIC.20240096

    3. [3]

      Cuiping HEZhuxuan LIYuqing SUNJie LIUShicheng XUZhanchao WU . Ca2+ doping induced crystal phase transition and spectral regulation of Ba3P4O13: Eu2+ phosphor. Chinese Journal of Inorganic Chemistry, 2025, 41(11): 2299-2306. doi: 10.11862/CJIC.20250074

    4. [4]

      Yan ZHAOXiaokang JIANGZhonghui LIJiaxu WANGHengwei ZHOUHai GUO . Preparation and fluorescence properties of Eu3+-doped CaLaGaO4 red-emitting phosphors. Chinese Journal of Inorganic Chemistry, 2024, 40(10): 1861-1868. doi: 10.11862/CJIC.20240242

    5. [5]

      Xiaokang JIANGJunliang MAYan ZHAOFeng GAOChangli LIUXingshen ZHAOHengwei ZHOU . Preparation and luminescent properties of Sm3+-doped La2MgZrO6 phosphors. Chinese Journal of Inorganic Chemistry, 2026, 42(2): 263-270. doi: 10.11862/CJIC.20250236

    6. [6]

      Han ZHANGJianfeng SUNJinsheng LIANG . Hydrothermal synthesis and luminescent properties of broadband near-infrared Na3CrF6 phosphor. Chinese Journal of Inorganic Chemistry, 2025, 41(2): 349-356. doi: 10.11862/CJIC.20240098

    7. [7]

      Yan ZHAOJiaxu WANGZhonghu LIChangli LIUXingsheng ZHAOHengwei ZHOUXiaokang JIANG . Gd3+-doped Sc2W3O12: Eu3+ red phosphor: Preparation and luminescence performance. Chinese Journal of Inorganic Chemistry, 2025, 41(3): 461-468. doi: 10.11862/CJIC.20240316

    8. [8]

      Shuhao FENGFeibing XIONGYaqing LINHan SUXu HAN . Preparation and luminescent properties of alkaline metal doped Cd3Al2Ge3O12: Pr3+ orange phosphors. Chinese Journal of Inorganic Chemistry, 2026, 42(2): 284-296. doi: 10.11862/CJIC.20250171

    9. [9]

      Shi-Yu LuWenzhao DouJun ZhangLing WangChunjie WuHuan YiRong WangMeng Jin . Amorphous-Crystalline Interfaces Coupling of CrS/CoS2 Few-Layer Heterojunction with Optimized Crystallinity Boosted for Water-Splitting and Methanol-Assisted Energy-Saving Hydrogen Production. Acta Physico-Chimica Sinica, 2024, 40(8): 2308024-0. doi: 10.3866/PKU.WHXB202308024

    10. [10]

      Xinyi Hong Tailing Xue Zhou Xu Enrong Xie Mingkai Wu Qingqing Wang Lina Wu . Non-Site-Specific Fluorescent Labeling of Proteins as a Chemical Biology Experiment. University Chemistry, 2024, 39(4): 351-360. doi: 10.3866/PKU.DXHX202310010

    11. [11]

      Zhen Yao Bing Lin Youping Tian Tao Li Wenhui Zhang Xiongwei Liu Wude Yang . Visible-Light-Mediated One-Pot Synthesis of Secondary Amines and Mechanistic Exploration. University Chemistry, 2024, 39(5): 201-208. doi: 10.3866/PKU.DXHX202311033

    12. [12]

      Houzhen Xiao Mingyu Wang Yong Liu Bangsheng Lao Lingbin Lu Minghuai Yu . Course Ideological and Political Design of Combustion Heat Measurement Experiment. University Chemistry, 2024, 39(2): 7-13. doi: 10.3866/PKU.DXHX202310011

    13. [13]

      Mi Wen Baoshuo Jia Yongqi Chai Tong Wang Jianbo Liu Hailong Wu . Improvement of Fluorescence Quantitative Analysis Experiment: Simultaneous Determination of Rhodamine 6G and Rhodamine 123 in Food Using Chemometrics-Assisted Three-Dimensional Fluorescence Method. University Chemistry, 2025, 40(4): 390-398. doi: 10.12461/PKU.DXHX202405147

    14. [14]

      Qiuyu Xiang Chunhua Qu Guang Xu Yafei Yang Yue Xia . A Journey beyond “Alum”. University Chemistry, 2024, 39(11): 189-195. doi: 10.12461/PKU.DXHX202404094

    15. [15]

      Chunyang Zheng Shiyu Liu Nuo Yi Hong Shang . The Adventures in the Kingdom of Plant Pigments. University Chemistry, 2024, 39(9): 170-176. doi: 10.3866/PKU.DXHX202308085

    16. [16]

      Shuyong Zhang Yaxian Zhu Wenqing Zhang Yuzhi Wang Jing Lu . Ideological and Political Design of Combustion Heat Measurement Experiment: Determination of Heat Value of Agricultural and Forestry Wastes. University Chemistry, 2024, 39(2): 1-6. doi: 10.3866/PKU.DXHX202303026

    17. [17]

      Zhou Fang Zhihao Zhang Weihan Jiang Kin Shing Chan . Warfarin: From Poison to Cure, the Remarkable Journey of a Molecule. University Chemistry, 2025, 40(4): 326-330. doi: 10.12461/PKU.DXHX202406038

    18. [18]

      Zhi Zheng Qi Ma Feiyang Liu Gukui Chen Junlong Zhao . Defeating Dental Plaque with Science: Unlocking the Power of Biofilm Management. University Chemistry, 2026, 41(2): 295-300. doi: 10.12461/PKU.DXHX202502088

    19. [19]

      Yuanyuan JIANGFangfang TUYuhong ZHANGShi CHENJiayuan XIANGXinhui XIA . Preparation and electrochemical properties of high-stability cathode prelithiation additive. Chinese Journal of Inorganic Chemistry, 2025, 41(6): 1101-1111. doi: 10.11862/CJIC.20240441

    20. [20]

      Yingxian Wang Tianye Su Limiao Shen Jinping Gao Qinghe Wu . Introduction of Chinese Lacquer from the Perspective of Chemistry: Popularizing Chemistry in Lacquer and Inherit Lacquer Art. University Chemistry, 2024, 39(5): 371-379. doi: 10.3866/PKU.DXHX202312015

Metrics
  • PDF Downloads(2)
  • Abstract views(2009)
  • HTML views(309)

通讯作者: 陈斌, bchen63@163.com
  • 1. 

    沈阳化工大学材料科学与工程学院 沈阳 110142

  1. 本站搜索
  2. 百度学术搜索
  3. 万方数据库搜索
  4. CNKI搜索
Address:Zhongguancun North First Street 2,100190 Beijing, PR China Tel: +86-010-82449177-888
Powered By info@rhhz.net

/

DownLoad:  Full-Size Img  PowerPoint
Return