Citation: Aili Dilinuer, Xi-Ran GAO, Kun-Hao BI, Ya-Ping FANG, Xing FAN, Nulahong Aisha. Performance of Different Metal-Modified HZSM-5 Catalysts for Methanol Carbonylation[J]. Chinese Journal of Inorganic Chemistry, ;2022, 38(5): 901-912. doi: 10.11862/CJIC.2022.082 shu

Performance of Different Metal-Modified HZSM-5 Catalysts for Methanol Carbonylation

  • Corresponding author: Nulahong Aisha, aisa705@163.com
  • Received Date: 18 February 2021
    Revised Date: 20 January 2022

Figures(6)

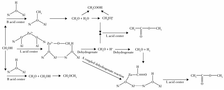
  • In this study, selective production of methanol carbonylation formed acetic acid using hydrothermal synthesis nanoporous zeolite molecular sieve as the catalyst. The incorporation of a suitable amount of metal not only facilitated the formation of acidity but also improved the efficiency of methanol carbonylation. The HZSM-5 catalyst was modified with Pt, Pd, Cu, Au, Zn by negative pressure deposition precipitation method to prepare catalysts with different acidities. Using X-ray diffraction, temperature-programmed desorption of ammonia, pyridine adsorption FTIR, N2 adsorption-desorption, and X-ray fluorescence analysis, the effect of different metals on the physico-chemical properties of the catalyst was studied, and the modification of HZSM-5 with different metals was investigated in the process of methanol carbonylation on the distribution and yield of methanol carbonyl products. The introduction of different metals had little effect on the specific surface area, pore size, and pore volume of the HZSM-5 catalyst, but significantly changed the acid strength of the catalyst surface. Pt, Au, Zn, and Cu modified HZSM-5 were favorable for the carbonylation of methanol to form methyl acetate and methyl formate. Cu-modified catalyst had a methanol conversion rate of 90.2% at 400 ℃, which was 12% higher than that of pristine HZSM-5, but the selectivity to the target product was lower than those of Pt/HZSM-5 and Au/HZSM-5. In a word, the introduction of metals changes the number of Br-nsted acid (B acid) and Lewis acid (L acid) centers on the catalyst surface. The conversion rate of methanol increased with the total acid sites. When the ratio of B acid to L acid on the catalyst surface was between 0.3 and 0.5, the catalyst showed better carbonylation activity.
  • 加载中
    1. [1]

      Cheung P, Bhan A, Sunley G J, Iglesia E. Selective Carbonylation of Dimethyl Ether to Methyl Acetate Catalyzed by Acidic Zeolites[J]. Angew. Chem. Int. Ed., 2010,45(10):17-20.

    2. [2]

      ZHANG J H. A Study on the Carbonylation of Methanol to Methyl Formate. Kunmig: Kunming University of Since and Technology, 2001: 4-6

    3. [3]

      Brownstein A. BP Chemicals Reveals Effective Alternative Acetic Acid Production[J]. Eur. Chem. News, 1998,69(1838)29.

    4. [4]

      Doyle G. Conversion of Methanol to Methyl Acetate Using Iron-Cobalt Catalyst: US4408069 A. 1983-10-04.

    5. [5]

      Tison Y, Lagoute J, Repain V, Chacon C, Girard Y, Rousset S, Joucken F, Sharma D, Henrard L, Amara H, Ghedjatt A, Ducastelle F. Electronic Interaction between Nitrogen Atoms in Doped Graphene[J]. ACS Nano, 2015,9(1):670-678. doi: 10.1021/nn506074u

    6. [6]

      Rojas A, Cubillos J, Martinez J, Guerrero D, Reyes P. Effect of the Activation Method on Activity of Supported Platinum Catalysts for Hydrogenation of m-Dinitrobenzene to m-Phenylenediamine[J]. Curr. Org. Chem., 2012,16(23):2770-2773. doi: 10.2174/138527212804546868

    7. [7]

      Ji H, Zhang Q, Wang B, Li C, Shan H. Synergistic Effect of Nickel Species and γ-Alumina Added to HZSM-5 on the Methanol to Aromatics[J]. Catal. Lett., 2014,144(11):1860-1867. doi: 10.1007/s10562-014-1348-8

    8. [8]

      Wang Y, Song J, Baxter N, Kuo G T, Wang S. Synthesis of Hierarchical ZSM-5 Zeolites by Solid-State Crystallization and Their Catalytic Properties[J]. J. Catal., 2017,349:53-65. doi: 10.1016/j.jcat.2017.03.005

    9. [9]

      Nandan D, Saxena S K, Viswanadham N. Synthesis of Hierarchical ZSM-5 Using Glucose as a Templating Precursor[J]. J. Mater. Chem. A, 2014,2(4):1054-1059. doi: 10.1039/C3TA13904B

    10. [10]

      Cui T L, Li X H, Lv L B, Wang X K, Su J. Nanoscale Kirkendall Growth of Silicalite-1 Zeolite Mesocrystals with Controlled Mesoporosity and Size[J]. Chem. Commun., 2015,51(63):12563-12566. doi: 10.1039/C5CC04837K

    11. [11]

      Li Y N, Liu S L, Xie S J, Xu L Y. Promoted Metal Utilization Capacity of Alkali-Treated Zeolite: Preparation of Zn/ZSM-5 and Its Application in 1-Hexene Aromatization[J]. Appl. Catal. A, 2009,360(1):8-16. doi: 10.1016/j.apcata.2009.02.039

    12. [12]

      Katada N, Igi H, Kim J H, Niwa M. Determination of the Acidic Properties of Zeolite by Theoretical Analysis of Temperature Programmed Desorption of Ammonia Based on Adsorption Equilbrium[J]. J.Phys. Chem. B, 1997,101(31):5969-5977. doi: 10.1021/jp9639152

    13. [13]

      Rodríguez-González L, Hermes F, Bertmer M, Rodríguez-Castellón E, Jiménez-López A, Simon U. The Acid Properties of H-ZSM-5 as Studied by NH3-TPD and 27Al-MAS-NMR Spectroscopy[J]. Appl. Catal. A, 2007,328(2):174-182. doi: 10.1016/j.apcata.2007.06.003

    14. [14]

      He Y P, Liu M, Dai C Y, Xu S T, Wei Y X, Liu Z M, Guo X W. Modification of Nanocrystalline HZSM-5 Zeolite with Tetrapropylammonium Hydroxide and Its Catalytic Performance in Methanol to Gasoline Reaction[J]. Chin. J. Catal., 2013,34(6):1148-1158. doi: 10.1016/S1872-2067(12)60579-8

    15. [15]

      Rownaghi A, Rezaei F, Hedlund J. Uniform Mesoporous ZSM-5 Single Crystals Catalyst with High Resistance to Coke Formation for Methanol Deoxygenation[J]. Microporous Mesoporous Mater., 2012,151:26-33. doi: 10.1016/j.micromeso.2011.11.020

    16. [16]

      Aisha N H. Nano-Au/HZSM-5 Zeolite Catalyst Prearation and Its Performance in n-Butane Conversion. Dalian: Dalian University of Technology, 2013: 90-95

    17. [17]

      Zhang X, Zhong J, Wang J, Zhang L, Gao J, Liu A. Catalytic Performance and Characterization of Ni-Doped HZSM-5 Catalysts for Selective Trimerization of n-Butane[J]. Fuel Process. Technol., 2009,90(7/8):863-870.

    18. [18]

      Zhang G Q, Bai T, Chen T F, Fan W T, Zhang X. Conversion of Methanol to Light Aromatics on Zn-Modified Nano-HZSM-5 Zeolite Catalysts[J]. Ind. Eng. Chem. Res., 2014,53(39):14932-14940. doi: 10.1021/ie5021156

    19. [19]

      Aisha N, LIU J X, ZHAO W P, WANG G R, GUO H C. Aromatization of n-Butane and i-Butane over Modified Nano-HZSM-5 Catalyst[J]. Journal of Molecular Catalysis, 2012,26(3):257-264.  

    20. [20]

      Aisha N, Liu J H, He N, Guo H C. Catalytic Conversion of n-Butane over Au-Zn-Modified Nano-Sized HZSM-5[J]. Chin. J. Catal., 2013,34(6):1262-1266. doi: 10.1016/S1872-2067(12)60539-7

    21. [21]

      Xue H F, Huang X M, Zhan E S, Ma M, Shen W. Dimethyl Ether Carbonylation to Methyl Acetate over Nanosized Mordenites[J]. Ind. Eng. Chem. Res., 2013,52:11510-11515. doi: 10.1021/ie400909u

    22. [22]

      Shang W X, Gao M Y, Chai Y C, Wu G, Guan N, Li L. Stabilizing Isolated Rhodium Cations by MFI Zeolite for Heterogeneous Methanol Carbonylation[J]. ACS Catal., 2021,11:7249-7256. doi: 10.1021/acscatal.1c00950

    23. [23]

      Feng S Q, Lin X S, Song X E, Liu Y, Jiang Z, Ding Y. Insight into the Stability of Binuclear Ir-La Catalysts for Efficient Heterogeneous Methanol Carbonylation[J]. J. Catal., 2019,377:400-408. doi: 10.1016/j.jcat.2019.06.050

    24. [24]

      LIU X Y, YU L Q, LI X W, YUAN S B. Aromatization of Hydrocarbon Molecules on Zinc-Modified ZSM-5 Zeolite Ⅱ. Intensity Distribution of L 1616 Acid and Position of Active Center. Acta Petrolei Sinica[J]. Petroleum Processing Section, 1989(4):34-41.  

    25. [25]

      WU Z N, WU Z J. Aromatization of C4 Hydrocarbons on ZSM-5 Molecular Sieve Catalyst(Ⅱ)[J]. Petrochemical Technology, 1983(4):185-189.  

    26. [26]

      Niu X J, Gao J, Miao Q, Dong M, Wang G F, Fan W B, Qin Z F, Wang J G. Influence of Preparation Method on the Performance of Zn-Containing HZSM-5 Catalysts in Methanol-to-Aromatics[J]. Microporous Mesoporous Mater., 2014,197:252-261. doi: 10.1016/j.micromeso.2014.06.027

    27. [27]

      Berndt H, Lietz G, Völter J. Zinc Promoted H-ZSM-5 Catalysts for Conversion of Propane to Aromatics Ⅱ[J]. Nature of the Active Sites and Their Activation. Appl. Catal. A, 1996,46(2):365-379.

    28. [28]

      Peng F. A Novel Sulfided Mo/C Catalyst for Direct Vapor Phase Carbonylation of Methanol at Atmospheric Pressure[J]. J. Nat. Gas Chem, 2003,12:31-36.

    29. [29]

      Treacy M, Higgins J B. Collection of Simulated XRD Powder Patterns for Zeolites Fifth (5th) Revised Edition[J]. Appl. Catal., 1986,21(2):388-389.

    30. [30]

      Wang X M, Zhao Z, Xu C M, Duan A J, Zhang L, Jiang J Y. Effects of Light Rare Earth on Acidity and Catalytic Performance of HZSM-5 Zeolite for Catalytic Cracking of Butane to Light Olefins[J]. J. Rare Earths, 2007,25(3):321-328. doi: 10.1016/S1002-0721(07)60430-X

    31. [31]

      Haw J F, Song W G, Marcus D M, Nicholas J B. The Mechanism of Methanol to Hydrocarbon Catalysis[J]. Acc. Chem. Res., 2003,36:317-326.

    32. [32]

      YUAN X C. Catalytic System of Methanol Carbonylation to Acetic Acid. Chongqing: Chongqing University, 2010: 22-30

    33. [33]

      Rojas H A, Cubillos J A, Martinez J J, Guerrero D C, Reyes P. Effect of the Activation Method on Activity of Supported Platinum Catalysts for Hydrogenation of m-Dinitrobenzene to m-Phenylenediamine[J]. Curr. Org. Chem., 2012,16(23):2770-2773.

    34. [34]

      Liu H, Guo Y G. Analysis on Investment of PetroChina Petrochemical Industry in 2005[J]. International Oil Economy, 2006,14(7):40-44.

    35. [35]

      Littlechild J A. Archaeal Enzymes and Applications in Industrial Biocatalysts[J]. Archaea, 2015,2015:1-10.

    36. [36]

      Al-Arfaj M A, Luyben W L. Comparative Control Study of Ideal and Methyl Acetate Reactive Distillation[J]. Chem. Eng. Sci., 2002,57(24):5039-5050.

    37. [37]

      Kang N, Yang Q L, An K, Li S S, Zhang L H, Liu Y. Mixed Oxides of La-Ga-O Modified Co/ZrO2 for Higher Alcohol Synthesis from Syngas[J]. Catal. Today, 2018,330:46-53.

    38. [38]

      Cheng K, Zhang L, Kang J C, Peng X B, Zhang Q H, Wang Y. Selective Transformation of Syngas into Gasoline-Range Hydrocarbons over Mesoporous HZSM-5 Supported Cobalt Nanoparticles[J]. Chem. Eur. J., 2015,21(5):1928-1937.

    39. [39]

      Choi S M, Kang Y J, Kim S W. Effect of γ-Alumina Nanorods on CO Hydrogenation to Higher Alcohols over Lithium-Promoted CuZn-Based Catalysts[J]. Appl. Catal., 2018,549:188-196.

    40. [40]

      Won B D, Ham H, Cho J M, Lee J B, Kim C U, Roh H S, Moon D J, Bae J W. Effect of Mn Promoter on Rh/Tungsten Carbide on Product Distributions of Alcohols and Hydrocarbons by CO Hydrogenation[J]. RSC Adv., 2016,6(103):101535-101543.

    41. [41]

      Gao S, Li X Y, Li Y Y, Yu H B, Zhang F F, Sun Y M, Fang H H, Zhang X B, Liang X L, Yuan Y Z. Effects of Gallium as an Additive on Activated Carbon-Supported Cobalt Catalysts for the Synthesis of Higher Alcohols from Syngas[J]. Fuel, 2018,230:194-201.

    42. [42]

      Huanng C, Zhang M W, Zhu C, Mu X L, Zhang K, Zhong L S, Fang K G, Wu M H. Fabrication of Highly Stable SiO2 Encapsulated Multiple CuFe Nanoparticles for Higher Alcohols Synthesis via CO Hydrogenation[J]. Catal. Lett., 2018,148(4):1080-1092.

    43. [43]

      Shen H D, Sun Z Y. A Miracle Metal@Zeolite for Selective Conversion of Syngas to Ethanol[J]. Chem, 2020,6(3):46-53.

    44. [44]

      Wang C T, Zhang J, Qin G Q, Wang L, Zuidema E, Yang Q, Dang S S, Yang C G, Xiao J P, Meng X J, Mesters C, Xiao F S. Direct Conversion of Syngas to Ethanol within Zeolite Crystals[J]. Chem, 2020,6(3):646-657.

    45. [45]

      Xu H S, Chen Q L. Catalytic Properties of ZSM-5 based Cu-Zn Catalysts Applies to Ethanol Synthesis from Syngas//Jawaid M, Kenawy E R[J]. MATEC Web of Conferences, 2016,6701012.

    46. [46]

      Wang D, Bi Q, Yin G, Wang P, Huag F, Xie X, Jiang M. Photochemical Preparation of Anatase Titania Supported Gold Catalyst for Ethanol Synthesis from CO2 Hydrogenation[J]. Catal. Lett., 2017,148(1):1-12.

    47. [47]

      Luk H T, Mondelli C, Ferre D C, Stewart J A, Perez-Ramirez J. Status and Prospects in Higher Alcohols Synthesis from Syngas[J]. Chem. Soc. Rev., 2017,46(5):1358-1426.

  • 加载中
    1. [1]

      Mengxiu LiJiahui MaoJiangfeng NiLiang Li . Three birds with one stone: modification of Li5FeO4 with thermal induction of Lewis acid. Acta Physico-Chimica Sinica, 2026, 42(4): 100189-0. doi: 10.1016/j.actphy.2025.100189

    2. [2]

      Hanxue LIUShijie LIMeng RENXuling XUEHongke LIU . Design and antitumor properties of dehydroabietic acid functionalized cyclometalated iridium(Ⅲ) complex. Chinese Journal of Inorganic Chemistry, 2025, 41(8): 1483-1494. doi: 10.11862/CJIC.20250031

    3. [3]

      Huiwei DingBo PengZhihao WangQiaofeng Han . Advances in Metal or Nonmetal Modification of Bismuth-Based Photocatalysts. Acta Physico-Chimica Sinica, 2024, 40(4): 2305048-0. doi: 10.3866/PKU.WHXB202305048

    4. [4]

      Xingyang LITianju LIUYang GAODandan ZHANGYong ZHOUMeng PAN . A superior methanol-to-propylene catalyst: Construction via synergistic regulation of pore structure and acidic property of high-silica ZSM-5 zeolite. Chinese Journal of Inorganic Chemistry, 2024, 40(7): 1279-1289. doi: 10.11862/CJIC.20240026

    5. [5]

      Jingxuan Zhang Weihao Jiang Siyuan Zhang Hongye Tian Ziye Huang Lin Huang Qikun Wu Jing Yang Yibin Jiang Cheng Wang . Automation and AI-Assisted Investigation of the Chemical Reactivity of Sulfosalicylic Acid. University Chemistry, 2026, 41(1): 332-345. doi: 10.12461/PKU.DXHX202505108

    6. [6]

      Junke LIUKungui ZHENGWenjing SUNGaoyang BAIGuodong BAIZuwei YINYao ZHOUJuntao LI . Preparation of modified high-nickel layered cathode with LiAlO2/cyclopolyacrylonitrile dual-functional coating. Chinese Journal of Inorganic Chemistry, 2024, 40(8): 1461-1473. doi: 10.11862/CJIC.20240189

    7. [7]

      Jianqiang Zheng Yongbin Huang Wencan Ming Yingju Liu . Intelligent Reaction Optimization: Synthesis of Acetylsalicylic Acid Driven by Deep Learning and Optimization Algorithms. University Chemistry, 2025, 40(9): 87-98. doi: 10.12461/PKU.DXHX202411062

    8. [8]

      Hong CAIJiewen WUJingyun LILixian CHENSiqi XIAODan LI . Synthesis of a zinc-cobalt bimetallic adenine metal-organic framework for the recognition of sulfur-containing amino acids. Chinese Journal of Inorganic Chemistry, 2025, 41(1): 114-122. doi: 10.11862/CJIC.20240382

    9. [9]

      Zhuoming Liang Ming Chen Zhiwen Zheng Kai Chen . Multidimensional Studies on Ketone-Enol Tautomerism of 1,3-Diketones By 1H NMR. University Chemistry, 2024, 39(7): 361-367. doi: 10.3866/PKU.DXHX202311029

    10. [10]

      Yajin LiHuimin LiuLan MaJiaxiong LiuDehua He . Photothermal Synthesis of Glycerol Carbonate via Glycerol Carbonylation with CO2 over Au/Co3O4-ZnO Catalyst. Acta Physico-Chimica Sinica, 2024, 40(9): 2308005-0. doi: 10.3866/PKU.WHXB202308005

    11. [11]

      Mengyang LIHao XUZhonghao NIUChunhua GONGWeihui ZHONGJingli XIE . Highly effective catalytic synthesis of β-amino alcohols by using viologen-polyoxometalate hybrid materials. Chinese Journal of Inorganic Chemistry, 2025, 41(7): 1294-1300. doi: 10.11862/CJIC.20250080

    12. [12]

      Lina GuoRuizhe LiChuang SunXiaoli LuoYiqiu ShiHong YuanShuxin OuyangTierui Zhang . Effect of Interlayer Anions in Layered Double Hydroxides on the Photothermocatalytic CO2 Methanation of Derived Ni-Al2O3 Catalysts. Acta Physico-Chimica Sinica, 2025, 41(1): 100002-0. doi: 10.3866/PKU.WHXB202309002

    13. [13]

      Guowen Xing Guangjian Liu Le Chang . Five Types of Reactions of Carbonyl Oxonium Intermediates in University Organic Chemistry Teaching. University Chemistry, 2025, 40(4): 282-290. doi: 10.12461/PKU.DXHX202407058

    14. [14]

      Youlin SIShuquan SUNJunsong YANGZijun BIEYan CHENLi LUO . Synthesis and adsorption properties of Zn(Ⅱ) metal-organic framework based on 3, 3', 5, 5'-tetraimidazolyl biphenyl ligands. Chinese Journal of Inorganic Chemistry, 2024, 40(9): 1755-1762. doi: 10.11862/CJIC.20240061

    15. [15]

      Qiang Zhou Pingping Zhu Wei Shao Wanqun Hu Xuan Lei Haiyang Yang . Innovative Experimental Teaching Design for 3D Printing High-Strength Hydrogel Experiments. University Chemistry, 2024, 39(6): 264-270. doi: 10.3866/PKU.DXHX202310064

    16. [16]

      Xudong Liu Huili Fan Junping Xiao Min Yang Yan Li . Teaching Approaches to the AE + AN Mechanism of Electrophilic Addition Reactions between Olefins and Inorganic Acids in Organic Chemistry. University Chemistry, 2025, 40(7): 367-372. doi: 10.12461/PKU.DXHX202409041

    17. [17]

      Guojie Xu Fang Yu Yunxia Wang Meng Sun . Introduction to Metal-Catalyzed β-Carbon Elimination Reaction of Cyclopropenones. University Chemistry, 2024, 39(8): 169-173. doi: 10.3866/PKU.DXHX202401060

    18. [18]

      Yan Qi Yueqin Yu Weisi Guo Yongjun Liu . 过渡金属参与的有机反应案例教学与实践探索. University Chemistry, 2025, 40(6): 111-117. doi: 10.12461/PKU.DXHX202411021

    19. [19]

      Ruizhi DuanXiaomei WangPanwang ZhouYang LiuCan Li . The role of hydroxyl species in the alkaline hydrogen evolution reaction over transition metal surfaces. Acta Physico-Chimica Sinica, 2025, 41(9): 100111-0. doi: 10.1016/j.actphy.2025.100111

    20. [20]

      Ruige ZHANGZhe ZHANGHe ZHENGZhan SHI . Recent advances of metal-organic frameworks for alkaline electrocatalytic oxygen evolution reaction. Chinese Journal of Inorganic Chemistry, 2025, 41(10): 2011-2028. doi: 10.11862/CJIC.20250185

Metrics
  • PDF Downloads(7)
  • Abstract views(1694)
  • HTML views(254)

通讯作者: 陈斌, bchen63@163.com
  • 1. 

    沈阳化工大学材料科学与工程学院 沈阳 110142

  1. 本站搜索
  2. 百度学术搜索
  3. 万方数据库搜索
  4. CNKI搜索
Address:Zhongguancun North First Street 2,100190 Beijing, PR China Tel: +86-010-82449177-888
Powered By info@rhhz.net

/

DownLoad:  Full-Size Img  PowerPoint
Return