Citation: Chun YANG, Xin-Yue ZHAO, Ling-Zhi ZHANG. Preparation and Electrochemical Performance of Porous Carbon/Selenium Composite Free-Standing Electrode[J]. Chinese Journal of Inorganic Chemistry, ;2021, 37(11): 1922-1930. doi: 10.11862/CJIC.2021.242 shu

Preparation and Electrochemical Performance of Porous Carbon/Selenium Composite Free-Standing Electrode

  • Corresponding author: Ling-Zhi ZHANG, lzzhang@ms.giec.ac.cn
  • Received Date: 1 February 2021
    Revised Date: 28 September 2021

Figures(9)

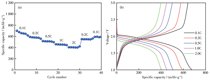
  • The porous carbon nanofiber films (PCNFS) were prepared via electrospinning and sol-gel method using SiO2 as template. Then, a flexible carbon/selenium composite electrode (Se@PCNFS) was obtained by melting and diffusion loading of selenium. The microstructure and morphology of the materials were characterized by X-ray diffraction (XRD), scanning electron microscopy (SEM) and transmission electron microscopy (TEM). The results showed that the porous carbon nanofibers endowed the diameter of about 300 nm and selenium was uniformly dispersed within the fibers. Thus, Se@PCNFS electrode showed outstanding cycling performance and rate performance in lithium-selenium battery. 1Se@PCNFS electrode delivered the initial specific capacity of 569 mAh·g-1 and maintained a reversible capacity of 340 mAh·g-1 after 500 cycles at 0.5C rate. The reversible capacity was 403 mAh·g-1 at 2C rate.
  • 加载中
    1. [1]

      Hu Y, Chen W, Lei T Y, Jiao Y, Huang J W, Hu A J, Gong C H, Yan C Y, Wang X F, Xiong J. Strategies Toward High-Loading Lithium-Sulfur Battery.[J]. Adv. Energy Mater., 2020,10(17)200082.  

    2. [2]

      Chen S R, Dai F, Cai M. Opportunities and Challenges of High-Energy Lithium Metal Batteries for Electric Vehicle Applications.[J]. ACS Energy Lett., 2020,5(10):3140-3151. doi: 10.1021/acsenergylett.0c01545

    3. [3]

      Nayak P K, Yang L T, Brehm W, Adelhelm P. From Lithium-Ion to Sodium-Ion Batteries: Advantages, Challenges, and Surprises.[J]. Angew. Chem. Int. Ed., 2018,57(1):102-120. doi: 10.1002/anie.201703772

    4. [4]

      Zhao M, Li B Q, Chen X, Xie J, Yuan H, Huang J Q. Redox Comediation with Organopolysulfides in Working Lithium-Sulfur Batteries.[J]. Chem, 2020,6(12):3297-3311. doi: 10.1016/j.chempr.2020.09.015

    5. [5]

      PAN P F, CHEN P, FANG Y N, SHAN Q, CHEN N N, FENG X M, LIU R Q, LI P, MA Y W. V2O5 Hollow Spheres as High Efficient Sulfur Host for Li-S Batteries.[J]. Chinese J. Inorg. Chem., 2020,36(3):575-583.  

    6. [6]

      Yu M L, Wang Z Y, Wang Y W, Dong Y F, Qiu J S. Freestanding Flexible Li2S Paper Electrode with High Mass and Capacity Loading for High-Energy Li-S Batteries.[J]. Adv. Energy Mater., 2017,71700018. doi: 10.1002/aenm.201700018

    7. [7]

      Wang H Q, Chen Z X, Liu H K, Guo Z P. A Facile Synthesis Approach to Micro-Macroporous Carbon from Cotton and Its Application in the Lithium-Sulfur Battery.[J]. RSC Adv., 2014,4(110):65074-65080. doi: 10.1039/C4RA12260G

    8. [8]

      Cheng X B, Yan C, Chen X, Guan C, Huang J Q, Peng H J, Zhang R, Yang S T, Zhang Q. Implantable Solid Electrolyte Interphase in Lithium -Metal Batteries.[J]. Chem, 2017,2(2):258-270. doi: 10.1016/j.chempr.2017.01.003

    9. [9]

      Zhang S S. Role of LiNO3 in Rechargeable Lithium/Sulfur Battery.[J]. Electrochim. Acta, 2012,70:344-348. doi: 10.1016/j.electacta.2012.03.081

    10. [10]

      Ma G Q, Wen Z Y, Jin J, Lu Y, Rui K, Wu X W, Zhang J C. Enhanced Performance of Lithium Sulfur Battery with Polypyrrole Warped Meso-porous Carbon/Sulfur Composite.[J]. J. Power Sources, 2014,254:353-359. doi: 10.1016/j.jpowsour.2013.12.085

    11. [11]

      Ding Z W, Zhao D L, Yao R R, Li C, Cheng X W, Hu T. Polyaniline@Spherical Ordered Mesoporous Carbon/Sulfur Nanocomposites for High-Performance Lithium-Sulfur Batteries.[J]. Int. J. Hydrogen Energy, 2018,43(22):10502-10510. doi: 10.1016/j.ijhydene.2018.04.134

    12. [12]

      Wang H L, Yang Y, Liang Y Y, Robinson J T, Li Y G, Jackson A, Cui Y, Dai H J. Graphene-Wrapped Sulfur Particles as a Rechargeable Lithium-Sulfur Battery Cathode Material with High Capacity and Cycling Stability.[J]. Nano Lett., 2011,11(7):2644-2647. doi: 10.1021/nl200658a

    13. [13]

      Seh Z W, Li W Y, Cha J J, Zheng G Y, Yang Y, McDowell M T, Hsu P C, Cui Y. Sulphur-TiO2 Yolk-Shell Nanoarchitecture with Internal Void Space for Long-Cycle Lithium-Sulphur Batteries.[J]. Nat. Commun., 2013,4:1-6.  

    14. [14]

      Luo C, Zhu Y J, Wen Y, Wang J J, Wang C S. Carbonized Polyacrylonitrile-Stabilized SeSx Cathodes for Long Cycle Life and High Power Density Lithium Ion Batteries.[J]. Adv. Funct. Mater., 2014,24:4082-4089. doi: 10.1002/adfm.201303909

    15. [15]

      Jin J, Tian X C, Srikanth N, Kong L B, Zhou K. Advances and Challenges of Nanostructured Electrodes for Li-Se Batteries.[J]. J. Mater. Chem. A, 2017,5(21):10110-10126. doi: 10.1039/C7TA01384A

    16. [16]

      Yao Y, Chen M L, Xu R, Zeng S F, Yang H, Ye S F, Liu F F, Wu X J, Yu Y. CNT Interwoven Nitrogen and Oxygen Dual-Doped Porous Carbon Nanosheets as Free-Standing Electrodes for High-Performance Na-Se and K-Se Flexible Batteries.[J]. Adv. Mater., 2018,30(49)1805234. doi: 10.1002/adma.201805234

    17. [17]

      Zhan J J, Xu Y H, Fan L, Zhu Y C, Liang J W, Qian Y T. Graphene-Encapsulated Selenium/Polyaniline Core-Shell Nanowires with Enhanced Electrochemical Performance for Li-Se Batteries.[J]. Nano Energy, 2015,13:592-600. doi: 10.1016/j.nanoen.2015.03.028

    18. [18]

      Kalimuthu B, Nallathamby K. Designed Formulation of Se-Impregnated N-Containing Hollow Core Mesoporous Shell Carbon Spheres: Multifunctional Potential Cathode for Li-Se and Na-Se Batteries.[J]. ACS Appl. Mater. Interfaces, 2017,9:26756-26770. doi: 10.1021/acsami.7b05103

    19. [19]

      Ding J, Zhou H, Zhang H L, Tong L Y, Mitlin D. Selenium Impregnated Monolithic Carbons as Free-Standing Cathodes for High Volumetric Energy Lithium and Sodium Metal Batteries.[J]. Adv. Energy Mater., 2018,81701918. doi: 10.1002/aenm.201701918

    20. [20]

      He J R, Chen Y F, Lv W Q, Wen K C, Li P J, Wang Z G, Zhang W L, Qin W, He W D. Three-Dimensional Hierarchical Graphene-CNT@Se: A Highly Efficient Freestanding Cathode for Li-Se Batteries.[J]. ACS Energy Lett., 2016,1(1):16-20. doi: 10.1021/acsenergylett.6b00015

    21. [21]

      Yang J Q, Zhou X L, Wu D H, Zhao X D, Zhou Z. S-Doped N-Rich Carbon Nanosheets with Expanded Interlayer Distance as Anode Materials for Sodium-Ion Batteries.[J]. Adv. Mater., 2017,291604108. doi: 10.1002/adma.201604108

    22. [22]

      Zeng L C, Zeng W C, Jiang Y, Wei X, Li W H, Yang C L, Zhu Y W, Yu Y. A Flexible Porous Carbon Nanofibers-Selenium Cathode with Superior Electrochemical Performance for Both Li-Se and Na-Se Batteries.[J]. Adv. Energy Mater., 2015,51401377. doi: 10.1002/aenm.201401377

    23. [23]

      Zhang S F, Wang W P, Xin S, Ye H, Yin Y X, Guo Y G. Graphitic Nanocarbon-Selenium Cathode with Favorable Rate Capability for Li -Se Batteries.[J]. ACS Appl. Mater. Interfaces, 2017,9(10):8759-8765. doi: 10.1021/acsami.6b16708

    24. [24]

      Yang X M, Wang H K, Yu D Y W, Rogach A L. Vacuum Calcination Induced Conversion of Selenium/Carbon Wires to Tubes for High-Performance Sodium -Selenium Batteries.[J]. Adv. Funct. Mater., 2018,28(8)1706609. doi: 10.1002/adfm.201706609

    25. [25]

      Yuan B B, Sun X Z, Zeng L C, Yu Y, Wang Q S. A Freestanding and Long-Life Sodium-Selenium Cathode by Encapsulation of Selenium into Microporous Multichannel Carbon Nanofibers.[J]. Small, 2018,14(9)1703252. doi: 10.1002/smll.201703252

    26. [26]

      Li Z, Yuan L X, Yi Z Q, Liu Y, Huang Y H. Confined Selenium within Porous Carbon Nanospheres as Cathode for Advanced Li-Se Batteries.[J]. Nano Energy, 2014,9:229-236. doi: 10.1016/j.nanoen.2014.07.012

    27. [27]

      Yang B B, Liu S T, Fedoseeva Y V, Okotrub A V, Makarova A A, Jia X L, Zhou J S. Engineering Selenium-Doped Nitrogen-Rich Carbon Nanosheets as Anode Materials for Enhanced Na-Ion Storage.[J]. J. Power Sources, 2021,493229700. doi: 10.1016/j.jpowsour.2021.229700

    28. [28]

      Jiang S F, Zhang Z A, Lai Y Q, Qu Y H, Wang X W, Li J. Selenium Encapsulated into 3D Interconnected Hierarchical Porous Carbon Aerogels for Lithium-Selenium Batteries with High Rate Performance and Cycling Stability.[J]. J. Power Sources, 2014,267(1):394-404.  

    29. [29]

      Li J, Zhao X X, Zhang Z A, Lai Y Q. Facile Synthesis of Hollow Carbonized Polyaniline Spheres to Encapsulate Selenium for Advanced Rechargeable Lithium-Selenium Batteries.[J]. J. Alloys Compd., 2015,619(15):794-799.  

    30. [30]

      Park S K, Park J S, Kang Y C. Metal-Organic-Framework-Derived N-Doped Hierarchically Porous Carbon Polyhedrons Anchored on Crumpled Graphene Balls as Efficient Selenium Hosts for High-Performance Lithium-Selenium Batteries.[J]. ACS Appl. Mater. Interfaces, 2018,10(19):16531-16540. doi: 10.1021/acsami.8b03104

    31. [31]

      Lu P F, Liu F Y, Zhou F, Qin J Q, Shi H D, Wu Z S. Lignin Derived Hierarchical Porous Carbon with Extremely Suppressed Polysele-nide Shuttling for High-Capacity and Long-Cycle-Life Lithium-Selenium Batteries.[J]. J. Med. Chem., 2021,55:476-483.  

    32. [32]

      Yang J, Gao H C, Ma D J, Zou J S, Lin Z, Kang X W, Chen S W. High-Performance Li-Se Battery Cathode Based on CoSe2-Porous Carbon Composites.[J]. Electrochim. Acta, 2018,264(20):341-349.  

    33. [33]

      Zhao X S, Jiang L, Ma C H, Cheng L, Wang C Z, Chen G, Yue H J, Zhang D. The Synergistic Effects of Nanoporous Fiber TiO2 and Nickel Foam Interlayer for Ultra-Stable Performance in Lithium-Selenium Batteries.[J]. J. Power Sources, 2021,490(1)229534.  

  • 加载中
    1. [1]

      Qi LiPingan LiZetong LiuJiahui ZhangHao ZhangWeilai YuXianluo Hu . Fabricating Micro/Nanostructured Separators and Electrode Materials by Coaxial Electrospinning for Lithium-Ion Batteries: From Fundamentals to Applications. Acta Physico-Chimica Sinica, 2024, 40(10): 2311030-0. doi: 10.3866/PKU.WHXB202311030

    2. [2]

      Ying LiYushen ZhaoKai ChenXu LiuTingfeng YiLi-Feng Chen . Rational Design of Cross-Linked N-Doped C-Sn Nanofibers as Free-Standing Electrodes towards High-Performance Li-Ion Battery Anodes. Acta Physico-Chimica Sinica, 2024, 40(3): 2305007-0. doi: 10.3866/PKU.WHXB202305007

    3. [3]

      Yan'e LIUShengli JIAYifan JIANGQinghua ZHAOYi LIXinshu CHANG . MoO3/cellulose derived carbon aerogel: Fabrication and performance as cathode for lithium-sulfur battery. Chinese Journal of Inorganic Chemistry, 2025, 41(8): 1565-1573. doi: 10.11862/CJIC.20250054

    4. [4]

      Yingtong FANYujin YAOShouhao WANYihang SHENXiang GAOCuie ZHAO . Construction of copper tetrakis(4-carboxyphenyl)porphyrin/silver nanowire composite electrode for flexible and transparent supercapacitors. Chinese Journal of Inorganic Chemistry, 2025, 41(7): 1309-1317. doi: 10.11862/CJIC.20250043

    5. [5]

      Fengzhang TUZhong JIN . Honeycomb-like N, O dual-doped carbon/selenium composites: Preparation and performance in alkali metal-selenium batteries. Chinese Journal of Inorganic Chemistry, 2025, 41(11): 2371-2384. doi: 10.11862/CJIC.20250227

    6. [6]

      Zeyu LiuWenze HuangYang XiaoJundong ZhangWeijin KongPeng WuChenzi ZhaoAibing ChenQiang Zhang . Nanocomposite Current Collectors for Anode-Free All-Solid-State Lithium Batteries. Acta Physico-Chimica Sinica, 2024, 40(3): 2305040-0. doi: 10.3866/PKU.WHXB202305040

    7. [7]

      Jun HuangPengfei NieYongchao LuJiayang LiYiwen WangJianyun Liu . 丝光沸石负载自支撑氮掺杂多孔碳纳米纤维电容器及高效选择性去除硬度离子. Acta Physico-Chimica Sinica, 2025, 41(7): 100066-0. doi: 10.1016/j.actphy.2025.100066

    8. [8]

      Zeqiu ChenLimiao CaiJie GuanZhanyang LiHao WangYaoguang GuoXingtao XuLikun Pan . Advanced electrode materials in capacitive deionization for efficient lithium extraction. Acta Physico-Chimica Sinica, 2025, 41(8): 100089-0. doi: 10.1016/j.actphy.2025.100089

    9. [9]

      Limin Zhang Mengmeng Liu Yang Tian . Size Determines Performance: A Novel Experimental Design for Voltammetric Teaching at Microelectrode and Glassy Carbon Electrode. University Chemistry, 2025, 40(11): 281-288. doi: 10.12461/PKU.DXHX202412047

    10. [10]

      Tao WangQin DongCunpu LiZidong Wei . Sulfur Cathode Electrocatalysis in Lithium-Sulfur Batteries: A Comprehensive Understanding. Acta Physico-Chimica Sinica, 2024, 40(2): 2303061-0. doi: 10.3866/PKU.WHXB202303061

    11. [11]

      Ying Liu Jia Ji Yinling Hou Lilan Guo Xuan Lv . Selenium’s Journey. University Chemistry, 2025, 40(7): 218-224. doi: 10.12461/PKU.DXHX202409046

    12. [12]

      Yan XinYunnian GeZezhong LiQiaobao ZhangHuajun Tian . Research Progress on Modification Strategies of Organic Electrode Materials for Energy Storage Batteries. Acta Physico-Chimica Sinica, 2024, 40(2): 2303060-0. doi: 10.3866/PKU.WHXB202303060

    13. [13]

      Tengjiao Wang Tian Cheng Rongjun Liu Zeyi Wang Yuxuan Qiao An Wang Peng Li . Conductive Hydrogel-based Flexible Electronic System: Innovative Experimental Design in Flexible Electronics. University Chemistry, 2024, 39(4): 286-295. doi: 10.3866/PKU.DXHX202309094

    14. [14]

      Qinjin DAIShan FANPengyang FANXiaoying ZHENGWei DONGMengxue WANGYong ZHANG . Performance of oxygen vacancy-rich V-doped MnO2 for high-performance aqueous zinc ion battery. Chinese Journal of Inorganic Chemistry, 2025, 41(3): 453-460. doi: 10.11862/CJIC.20240326

    15. [15]

      Yuying JIANGJia LUOZhan GAO . Development status and prospects of solid oxide cell high entropy electrode catalysts. Chinese Journal of Inorganic Chemistry, 2025, 41(9): 1719-1730. doi: 10.11862/CJIC.20250124

    16. [16]

      Jianqiao ZHANGYang LIUYan HEYaling ZHOUFan YANGShihui CHENGBin XIAZhong WANGShijian CHEN . Ni-doped WP2 nanowire self-standingelectrode: Preparation and alkaline electrocatalytic hydrogen evolution property. Chinese Journal of Inorganic Chemistry, 2025, 41(8): 1610-1616. doi: 10.11862/CJIC.20240444

    17. [17]

      Juan WANGZhongqiu WANGQin SHANGGuohong WANGJinmao LI . NiS and Pt as dual co-catalysts for the enhanced photocatalytic H2 production activity of BaTiO3 nanofibers. Chinese Journal of Inorganic Chemistry, 2024, 40(9): 1719-1730. doi: 10.11862/CJIC.20240102

    18. [18]

      Xiaojing TianZhichun HuangQingsong ZhangXu WangNing YangNanping Deng . PNIPAm Thermo-Responsive Nanofibers Mats: Morphological Stability and Response Behavior under Cross-Linking. Acta Physico-Chimica Sinica, 2024, 40(4): 2304037-0. doi: 10.3866/PKU.WHXB202304037

    19. [19]

      Hao ChenDongyue YangGang HuangXinbo Zhang . Progress on Liquid Organic Electrolytes of Li-O2 Batteries. Acta Physico-Chimica Sinica, 2024, 40(7): 2305059-0. doi: 10.3866/PKU.WHXB202305059

    20. [20]

      Keke GaoHaozhe XuXingkun LiuChunwen Sun . Cr-doped lithium-rich manganese-based materials as a cathode for high-performance all-solid-state lithium batteries. Acta Physico-Chimica Sinica, 2026, 42(3): 100200-0. doi: 10.1016/j.actphy.2025.100200

Metrics
  • PDF Downloads(7)
  • Abstract views(2366)
  • HTML views(450)

通讯作者: 陈斌, bchen63@163.com
  • 1. 

    沈阳化工大学材料科学与工程学院 沈阳 110142

  1. 本站搜索
  2. 百度学术搜索
  3. 万方数据库搜索
  4. CNKI搜索
Address:Zhongguancun North First Street 2,100190 Beijing, PR China Tel: +86-010-82449177-888
Powered By info@rhhz.net

/

DownLoad:  Full-Size Img  PowerPoint
Return