三个Zn(Ⅱ)/Co(Ⅱ)配位聚合物的合成、结构与光带能隙
English
Syntheses, Structures and Optical Band Gaps of Three Zn(Ⅱ)/Co(Ⅱ) Coordination Polymers
-
Key words:
- Zn(Ⅱ) complex
- / Co(Ⅱ) complex
- / coordination polymer
- / crystal structure
- / optical band gap
-
In the last couple of years, the researches on coor-dination polymers (CPs) have been flourishing[1-2]. The driving forces arise mainly from CPs' various struc-tures, structure-relevant properties and potential appli-cations in gas separation, fluorescent sensing, heteroge-neous catalysis, and so on[3-9]. Among these properties, CPs' semiconducting properties are so far few studied and relevant studies are in their initial stages[10-12]. Com-pared with traditional semiconductors (e.g., Si, Ge, SiC and GaN), CPs semiconductors have their own advan-tages for their special components (the combination of organic ligands and metal ions) and easy tunability of their structures. In CPs, the functional organic ligands can impart semiconducting behavior to inorganic ions, which provide more versatility than organic or inorgan-ic semiconductors. So, further investigation about CPs semiconductors are deserved to study. On the other hand, the performances of CPs rely on their unique structures, therefore it has been an important subject in the coordination chemistry field to understand the assembly law of CPs. Up to now, although a few effec-tive synthetic strategies have been developed to get tar-get CPs, such as secondary-building-units-based reticu-lar chemistry method suggested by Yaghi[13] and molec-ular tectonics proposed by Hsseini[14-15], for most CPs, especially CPs with flexible/semirigid ligands, we still have obstacles to accurately predict their structures for the reason that many factors, such as temperature, an-ions and the structures of ligands, influence the assem-bly of CPs[16-20]. Therefore, while focusing on the study of CPs properties, persistently investigating the con-struction of CPs is still necessary.
In the assembly of CPs, the utilization of mixed - ligand can not only expand the variety of CPs, but also combine their advantages of different ligands[21-22]. In most reported cases, the mixed-ligands are usually the combination of one carboxylic linker and one neutral N-donor linker. The utilization of two functionally differ-ent ligands provides more efficient control over the charge distribution during coordination, thereby enabling the synthesis of the desired CPs[23-24]. In another word, through the utilization of above mixed linkers, CPs with more diverse structures and potential func-tions can be created continuously.
With this in mind, we also adopt a dual ligand synthesis strategy that combines multidentate organic carboxylic ligand and bis -imidazole ligand (Scheme 1). For carboxylic ligand, we choose Ⅴ-shaped zwitterionic 4-carboxy-1-(4-carboxybenzyl)-pyridinium chloride (H2 (L1)Cl) bridging ligand as angular 2- connected linker, which can react with 2- connected node to form 1D zig-zag chain or 1D helical chain[25-27]. For N-donor ligand, we select two widely used flexible bis-imidazole based isomers: 1, 4-bis(imidazole-1-ylmethyl)benzene (L2) and 1, 3 - bis(imidazole-1-ylmethyl)benzene (L3), as 2 - connected organic linkers, which can be used for inves-tigating the ligands effect on the structures of CPs. Besides 2 - conneted mixed organic linkers, Zn(Ⅱ) and Co(Ⅱ) ions are picked as metal nodes because their common coordination geometries are tetrahedron or octahedron, which can be regarded as two or three an-gular nodes with common vertices. Moreover, both of them are also good candidates as metal nodes for the construction of semiconductor CPs. In this contribu-tion, we report three N-donor ligands directed coordina-tion polymers [Zn(L1) (L2)0.5Cl]n (1), [Co(L1) (L2)0.5 Cl]n (2) and {[Zn(L1) (L3)]ClO4·1.7H2O}n (3) based on an angular zwitterionic carboxylic ligand L1.
Scheme 1
1. Experimental
1.1 General procedures
All chemical reagents were available directly on the market without any purification. The synthesis of ligands L1, L2 and L3 referred to previously reported methods[28-29]. The elemental composition (C, H, N) were determined using a Perkin-Elmer 240C elemental analyzer. The powder X - ray diffraction (PXRD) of the as - synthesized samples were recorded using a Rigaku Ultima Ⅳ diffractometer with graphite monochromatic Cu Kα radiation (λ=0.154 18 nm) at 40 kV and 40 mA in the angular range of 5° to 50° (2θ). FT - IR spectra were determined by using KBr pellets in a range from 400 to 4 000 cm-1 on a Nicolet iS50 FT-IR spectrome-ter. Complexes 1~3 were analysed by thermogravimetry on Mettler - Toledo TGA 2 with the purpose of investi-gating their thermal stability and amount of guest mole-cules. UV-Vis DRS spectra were recorded on a Hitachi UH4150 spectrophotometer.
1.2 Synthesis of [Zn(L1)(L2)0.5Cl]n (1)
H2(L1)Cl (49.2 mg, 0.2 mmol), Zn(NO3)2·6H2O (59.6 mg, 0.2 mmol), NaOH (8 mg, 0.2 mmol), L2 (47.6 mg, 0.2 mmol) and 6 mL H2O were accurately weighed and placed in a steel reactor with 20 mL PTFE liner. After well-mixed, the reactor was put in the oven at 120 ℃ for 72 h and then cooled down by 5 ℃·h-1. The obtained mixture was then filtered to separate out color-less crystals. Yield: 57%. Anal. Calcd. for C21H17ClN3O4Zn(%): C, 52.96; H, 3.60; N, 8.82. Found (%): C, 53.01; H, 3.52; N, 8.89. IR (KBr, cm-1): 3 112m, 3 044w, 1 643vs, 1 565s, 1 532m, 1 460w, 1 366vs, 1 291w, 1 240w, 1 165w, 1 096m, 1 030w, 951 w, 866w, 803m, 762s, 662m, 487w, 415w.
1.3 Synthesis of [Co(L1)(L2)0.5Cl]n (2)
Complex 2 was synthesized in a similar way to 1. Special attention should be paid to the replacement of Zn(NO3) 2·6H2O with Co(NO 3) 2·6H2O. Purple bulk crys-tals were collected after the filtration of reaction mix-ture. Yield: 27%. Anal. Calcd. for C21H17ClN3O4Co(%):C, 53.69; H, 3.65; N, 8.94. Found(%): C, 53.67; H, 3.72; N, 8.87. IR (KBr, cm-1): 3 112m, 3 044w, 1 643vs, 1 567s, 1 529m, 1 641w, 1 366vs, 1 288w, 1 240w, 1 165w, 1 095m, 1 031w, 949w, 866w, 805m, 763s, 662m, 488w, 420w.
1.4 Synthesis of {[Zn(L1)(L3)]ClO4·1.7H 2O}n (3)
Complex 3 was synthesized in a similar way to 1.Special attention should be paid to the replacement of Zn(NO3) 2·6H 2 O with Zn(ClO4)2·6H2O and L2 with L3. The obtained mixture was filtered to separate out color-less bulk crystals. Yield: 76%. Anal. Calcd. for C28H 27.40ClN5O9.70Zn(%): C, 48.74; H, 4.00; N, 10.15. Found(%): C, 48.79; H, 4.06; N, 10.13. IR (KBr, cm-1): 3 608w, 3 512w, 3 131m, 3 052m, 1 652vs, 1 568s, 1 528s, 1 448m, 1 361vs, 1 241m, 1 101vs, 955m, 858m, 824m, 803m, 764s, 742s, 720s, 689m, 655m, 624s, 499w, 473w, 405w.
1.5 Crystal structure determination
The single crystal X - ray diffraction of complexes 1~3 were recorded using Bruker Smart Apex Ⅱ CCD diffractometer with graphite monochromated Mo Kα radiation (λ=0.071 073 nm). All the structures were solved by direct method and refined by the full-matrix least-square method on F 2 using the software package SHELXTL - 2014[30-32]. Anisotropic thermal parameters were applied to all non-hydrogen atoms. Partial H atoms of water molecules in 3 were localized by differ-ent electron density map. The lattice water content was further confirmed by elemental analysis and thermo-gravimetric analysis. All H atoms in ligands L1, L2 and L3 were inserted in ideal positions. Crystal data and structure refinements for complexes 1~3 are listed in Table 1.
Table 1
Complex 1 2 3 Empirical formula C21H17ClN3O4Zn C21H17ClN3O4Co C28H28ClN5O10Zn Formula weight 476.20 469.76 695.37 Crystal system Orthorhombic Orthorhombic Triclinic Space group Pbcn Pbcn P1 a / nm 3.153 5(8) 3.143 3(5) 0.832 69(3) b / nm 0.740 9(2) 0.738 05(11) 1.111 88(5) c / nm 1.805 5(6) 1.799 8(3) 1.633 67(7) α/(°) 81.295 0(10) β/(°) 82.113 0(10) γ/(°) 84.422 0(10) V / nm3 4.218(2) 4.175 4(11) 1.476 45(11) Z 8 8 2 Dc / (g·cm-3) 1.500 1.495 1.564 μ / mm-1 1.324 0.983 0.989 F(000) 1 944 1 920 716 (2θ)max / (°) 50.5 52.9 50.5 Independent reflection 4 343 4 308 6 441 Data, restraint, parameter 4 343, 0, 271 4 308, 0, 271 6 441, 2, 412 Rint 0.039 1 0.029 1 0.031 0 Goodness-of-fit on F2 1.131 1.109 1.064 R1, wR2 [I>2σ(I)] 0.063 4, 0.197 6 0.062 1, 0.195 7 0.053 9, 0.139 8 R1, wR2 (all data) 0.076 3, 0.206 5 0.073 1, 0.205 2 0.059 6, 0.143 6 CCDC: 1973985, 1; 1973986, 2; 1973987, 3.
2. Results and discussion
2.1 Crystal structures of [Zn(L1) (L2)0.5Cl]n (1) and [Co(L1)(L2)0.5Cl]n (2)
Crystallographic analysis reveals that complexes 1 and 2 possess same crystal structure. Therefore, only complex 1 is discussed as a representative in this paper. Complex 1 belongs to orthorhombic crystal sys-tem with Pbcn space group. The asymmetric unit of complex 1 contains a Zn(Ⅱ) ion, a L1 ligand, half L2 ligand and a coordinated chloride anion. As shown in Fig. 1, each tetracoordinated ZnZn(Ⅱ) ion is surrounded by two O atoms from two different L1 ligands, one N atom from ligand L2 and one terminal Cl atom, displaying a distorted tetrahedral geometry. It is worth mentioning that, compared with Zn(Ⅱ) ions, Co(Ⅱ) ions with tetrahe-dral configuration are less common relative to the octa-hedral ones[33], leading to lower production of complex 2 than that of 1. The bond angles of 1 fall in a range of 98.00(16)°~135.82(12)°. The detailed data of the bond lengths and bond angles are shown in Table S1 (Sup-porting information).
Figure 1
It is intriguing that 1 features a (6, 3) topological wavy 2D herringbone layer structure, displaying a rare 2D→3D inclined polycatenated structure[34]. In the case of 1, tetracoordinated Zn(Ⅱ) ions possess a termi-nal chloride counterion, which is useless for the exten-sion of coordination networks, so the Zn(Ⅱ) ions can be regarded as pyramidal 3 - connected nodes. Compared with Zn(Ⅱ) centers, the mixed ligands L1 and L2 both adopt bis - monodentate bridging modes, which can be considered as 2-connected linkers. The combination of 3 - connected nodes and 2 - connceted linkers generate M2L3-type herringbone layer with (6, 3) topology (Fig. 2) [35]. It is noteworthy that whether L1 or L2 both own methylene group, which facilitates the adjust of configuration to meet the needs of coordination geome-try of central ions. For L1 ligand, it presents Ⅴ-confor-mation with dihedral angle of 74.650° between ben-zene ring and pyridine ring. In contrast to L1, L2 shows trans - conformation with dihedral angle of 84.628° be-tween benzene ring and imidazole ring. All in all, such bending nature of L1 and L2 ligands finally leads to the formation of wavy 2D layers.
Figure 2
On the other hand, the undulated structure of 1 can also be described from another perspective. Firstly, each 2- connected Ⅴ-shaped L1 ligand links two Zn(Ⅱ) ions via two coordination bonds with angular configura-tion along c axis to form 21 helices with screw pitch of 1.805 5 nm. Such 1D helical chains further connect with adjacent two ones via Z - shaped L2 ligands in alternate ways to generate a 2D wavelike network. It is noticeable that adjacent 1D helical chains possess opposite helicity, leading to the formation of achiral wavy 2D sheet, which can also be thought of as consist-ing of [M6(L1)4(L2) 2] six-membered rings. These six-membered rings feature slightly distorted chair con-formation with two kinds of side lengths of 1.490 and 1.391 nm. Obviously, the above six-membered rings possess large void, which usually will result in inter-penetration to avoid large surface energy. As expected, the undulated 2D layers of 1 also exhibit inclined inter-penetration, leading to 2D→3D inclined polycatenated architectures rather than parallel 2D→2D and 2D→ 3D polycatenated architectures[36], which is attributed to small amplitude of undulated 2D layers (Fig. 3). Finally, these 2D layers are further consolidated via abundant C-H…Cl and C-H…O hydrogen bonds as listed in Table S2.
Figure 3
2.2 Crystal structure of {[Zn(L1)(L3)]ClO4· 1.7H2O}n (3)
When replacing L2 ligands with its isomer L3, a new complex 3 was obtained. Compared with 1, 3 crys-tallizes in the triclinic crystal system with space group P1, featuring a 1D catenated chain structure. Each repeat unit contains one Zn(Ⅱ) ions one L1 ligand, one L3 ligand, one counter perchlorate and two lattice water molecules. As depicted in Fig. 4, Zn(Ⅱ) ions in 3 also adopt a tetrahedral geometry as observed in 1, which is furnished with two carboxyl O atoms from two different L1 ligands and two N atoms from two different L3 ligands. From the topological point of view, the Zn(Ⅱ) centers in 3 can be regarded as 4 -connected tet-rahedral nodes rather than 3-conneted pyramidal ones in 1, which arises from stronger coordination ability of chloride anions than perchlorate anions, occupying one coordination site. The average Zn-O and Zn-N bond distances are 0.195 0 and 0.198 5 nm, respectively, which are comparable to those in 1. The bond angles of 3 fall in a range of 96.19(11)°~120.71(11)° with small-er deviation than those of 1, meaning small degree of distortion.
Figure 4
As observed in 1, the L1 ligands in 3 also take bis- monodentate bridging mode to link two Zn(Ⅱ) ions. The dihedral angle between benzene ring and pyridine ring is 62.432°, smaller than that in 1. Compared with L1 ligands, Zn(Ⅱ) ions in 1 and 3 take different connect-ed fashions: 4-connected fashion in 3 and 3-conncent-ed fashion in 1. The Zn(Ⅱ) centers first connect with L1 ligands, generating 1D zigzag chain rather than 1D helical chain in 1 along b axis direction. Then, two face - to - face 1D zigzag chains are further combined into a whole via two C - shaped bridging L3 ligands in a 'double bridge 'fashion (Fig. 5). It is noticeable that two L3 ligands and two Zn(Ⅱ) ions form a M2L2 26 - membered ring, exhibiting a chair conformation. Due to large distances between benzene rings of L3 ligands, obviously, there is no π - π interactions in/between M2L2 rings. Except for above-mentioned M2L2 -type 26-membered ring, a bigger 56-membered M4L4-type rings exist in the 1D chain of 1, which can be considered as a secondary building unit (SBU). Based on above view-point, the 1D chain can also be regarded as the catena-tion of M4L4 - type rings via sharing the Zn(Ⅱ) atoms. Such 1D chains are further extended into 2D layer in an interdigitation fashion via π-π stacking (the centroid - to - centroid distances between two parallel benzene rings and two parallel pyridine rings are 0.036 7 and 0.036 0 nm, respectively) as shown in Fig. 6. It is worth noting that the adjacent 1D chains with opposite direc-tion are alternately arranged in an offset fashion, as ob-served in reported complex {[Cd(L)2]·2H2 O}⊃C3H 6O[25]. Finally, these 2D layers are stacked up in parallel fash-ion, forming 3D framework. The perchlorate anions and guest water molecules are fixed in the voids of 3 via abundant C -H…O and O-H…O hydrogen bonds as tabulated in Table S2.
Figure 5
Figure 6
2.3 Anion and N-donor ancillary ligand effect
According to above structural description, we can certainly draw a conclusion that anions and N-donor ancillary ligand play a critical role in the assembly of complexes 1~3. In contrast to uncoordinated perchlo-rate counterions, chloride ions in complexes 1 and 2, acting as terminal ligands, exhibit more stronger coordi-nation ability as expected, leading to the formation of 3-connected pyramidal metal node in 1 and 2 rather than 4-connected tetrahedral metal node in 3. For 3-connected pyramidal nodes, they can be considered as the combination of one angular node and one unoccu-pied site. Similarly, 4-connected tetrahedral nodes can be regarded as the combination of two angular nodes with shared vertex. Moreover, Ⅴ-shaped L1 ligands can also be seemed as 2 -connected angular organic linkers. It is noticeable that both angular nodes and linkers fea-ture similar angles because they both build on central C and Zn/Co atoms with sp3 hybridization. And, on this basis, such angular nodes and linkers with 1:1 ratio will generate 1D helical chains and zigzag chains. How-ever, which type of 1D chain depends on the dihedral angle between angular node and linker. In the cases of 1 and 2, the dihedral angle is 74.710°, while for com-plex 3, the corresponding dihedral angle is 4.196°. Apparently, above results indicate that the relative positions of angular nodes and angular linkers deter-mine the type of one-dimensional chains: helical chain with big dihedral angle or zigzag chain with almost par-allel fashion. In 1 and 2, each 1D screw chain alterna-tively connects with two adjacent helical chains through right and left Z - shaped L2 ligands. Whereas, in 3, each 1D zigzag chain combine with another same 1D chain with back to back fashion via two C - shaped L3 ligands. All in all, anions and N -donor ancillary ligands have an obvious impact on the assembly of tar-get complexes 1~3.
2.4 FT-IR spectroscopy analyses
The IR spectra of 1~3 are shown in Fig.S1. Com-plexes 1 and 2 displayed similar absorption peaks, which are different from those of 3 in some bands. There was an obvious absorption peak at 3 608 cm-1 for 3, indicating the existence of guest molecules, whereas no apparent infrared absorption peaks were observed in the same band region for 1 and 2, which are in consis-tent with their crystal structures. Moreover, there were another two absorption peaks at 1 101 and 624 cm-1 for 3, which are attributed to antisymmetric stretching vibration and symmetric variable-angle vibration of per-chlorate anions. Except for the above-mentioned peaks for 3, the other absorption peaks were similar with 1 and 2. Two weak peaks appeared at 3 112 and 3 044 cm-1, which are attributed to the stretching vibration of C-H bonds of benzene and the imidazole rings, respec-tively. In addition, for complexes 1~3, two strong infra-red absorption peaks for carboxyl groups were observed at 1 643 and 1 366 cm-1, which are assigned to the asymmetric and symmetric stretching vibration. All in all, the IR results of 1~3 are highly in agreement with their crystal structures.
2.5 X-ray power diffraction analyses and thermogravimetric analyses
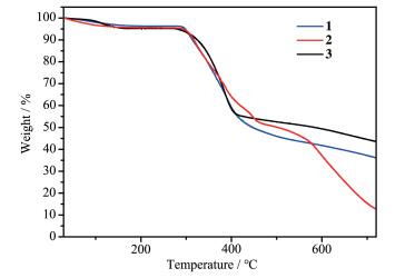
The phase purity of as -synthesized samples of 1~3 was ensured by comparing the experimental XRD and simulated one (Fig. S2~S4). Thermogravimetric analy-ses (TGA) of complexes 1~3 are shown in Fig. 7. For 1 and 2, although they have same structures, the TG curves were a bit of difference. Both 1 and 2 began to lose weight in low temperature, which result from the loss of absorbed water as a consequence of the exis-tence of potential solvent area volumes (0.321 7 nm3 for 1 and 0.382 4 nm3 for 2)[37]. Above 290 ℃, 1 and 2 began to rapidly decompose. For 3, in a temperature range of 30~160.5 ℃, an initial weight loss of 4.54% was observed, attributed to the removal of lattice water molecules (Calcd. 4.4%). When the temperature reached 275 ℃, complex 3 began to collapse. TG re-sults reveal the framed structure of 1~3 have good ther-mal stability.
Figure 7
2.6 Optical band gaps
To investigate the potential of complexes 1 ~3 as semiconductors, the UV-Vis diffuse reflection spec-trum to determine the band gap Eg was measured. By using Kubelka-Munk (K-M) function, the Eg values are obtained as the intersection point between the energy axis and the line extrapolated from the linear portion of the adsorption edge[38-39]. As shown in Fig. 8~10, the Eg of 1 and 3 also had similar values, 2.96 and 3.16 eV, respectively, which were bigger than 1.72 eV for 2. According to reported semiconducting complexes MFU-4 (3.08 eV) and Co-MFU-4 (1.72 eV), the difference of Eg values of 1~3 are mainly dominated by different metal centers: diamagnetic d10 Zn(Ⅱ) in 1 and 3 vs d7 Co(Ⅱ) ions in 2, because the introduction of Co ions can insert unoccupied d-orbitals below the LUMO ener-gy of the ligands, reducing the band gaps[40]. The results indicate center metal ions have more big effect on the optical band gaps of CPs than organic ligands.
Figure 8
Figure 9
Figure 10
3. Conclusions
Using different isomeric N -donor auxiliary ligand L2 and L3 and metal salts, three new coordination poly-mers 1~3 containing zwitterionic L1 ligands were suc-cessfully obtained, which reveals that different anions and auxiliary ligands have a critical effect on the final supramolecular structures. Relevant systematic study indicates that angular nodes and linkers with different dihedral angle can generate 1D helical or zigzag chain, which can be further extended into different structures by using different bridging ligands. Isomorphic com-pounds 1 and 2 are composed of 1D helical chains and Z - shaped L2 ligands, displaying 2D wavy herringbone network structure with 2D→3D inclined polycatena-tion topology. Complex 3 consists of 1D zigzag chain and C-shaped L3 ligands, exhibiting 1D catenated chain structure, which are further assembled into 2D layer through abundant π-π stacking. Through the study in this paper, we anticipate that relevant strategy will be helpful to construct new coordination frame-works with specific structures and properties. Further-more, all complexes exhibit wide band gaps, which has certain significance to the research of wide-band-gap semiconductors.
Supporting information is available at http://www.wjhxxb.cn
-
-
[1]
Hong X J, Song C L, Yang Y, et al. ACS Nano, 2019, 13:1923-1931 doi: 10.1021/acsnano.7b00017
-
[2]
Noori Y, Akhbari K. RSC Adv., 2017, 7:1782-1808 doi: 10.1039/C6RA24958B
-
[3]
Pan M, Su C Y. CrystEngComm, 2014, 16:7847-7859 doi: 10.1039/C4CE00616J
-
[4]
Calbo J, Golomb M J, Walsh A. J. Mater. Chem. A, 2019, 7:16571-16597 doi: 10.1039/C9TA04680A
-
[5]
Huang Y Q, Chen H Y, Wang Y, et al. RSC Adv., 2018, 8:21444-21450 doi: 10.1039/C8RA02809E
-
[6]
Amarajothi D, Abdullah M A, Hermenegildo G. ACS Catal., 2017, 7:2896-2919 doi: 10.1021/acscatal.6b03386
-
[7]
Lustig W P, Mukherjee S, Rudd N D, et al. Chem. Soc. Rev., 2017, 46:3242-3285 doi: 10.1039/C6CS00930A
-
[8]
Mingabudinova L R, Vinogradov Ⅴ Ⅴ, Milichko Ⅴ A, et al. Chem. Soc. Rev., 2016, 45:5408-5431 doi: 10.1039/C6CS00395H
-
[9]
Yu S, Zhang Q H, Hu H C, et al. RSC Adv., 2020, 10:11831-11835 doi: 10.1039/D0RA01604G
-
[10]
Usman M, Mendiratta S, Lu K L. Adv. Mater., 2017, 29:1605071 doi: 10.1002/adma.201605071
-
[11]
Alvaro M, Carbonell E, Ferrer B, et al. Chem. Eur. J., 2007, 13:5106-5112 doi: 10.1002/chem.200601003
-
[12]
Choi J H, Choi Y J, Lee J W, et al. Phys. Chem. Chem. Phys., 2009, 11:628-631 doi: 10.1039/B816668D
-
[13]
Li H L, Eddaoudi M, O'Keeffe M, et al. Nature, 1999, 402:276-279 doi: 10.1038/46248
-
[14]
Hosseini M W. Acc. Chem. Res., 2005, 38:313-323 doi: 10.1021/ar0401799
-
[15]
Hosseini M W. CrystEngComm, 2004, 6:318-322 doi: 10.1039/b412125m
-
[16]
Bello L, Quintero M, Mora A J, et al. CrystEngComm, 2015, 17:5921-5931 doi: 10.1039/C5CE00646E
-
[17]
Huang Y Q, Shen Z L, Okamura T, et al. Dalton Trans., 2008:204-213 https://www.sciencedirect.com/science/article/pii/B9780128002063000203
-
[18]
Huang Y Q, Zhao W, Chen J G, et al. Z. Anorg. Allg. Chem., 2012, 638:679-682 doi: 10.1002/zaac.201100310
-
[19]
Huang Y Q, Wan Y, Cheng H D, et al. Chin. J. Struct. Chem., 2014, 33:928-934
-
[20]
Liao W M, Zeng Q, He Y H, et al. J. Solid. State Chem., 2019, 277:448-453 doi: 10.1016/j.jssc.2019.07.003
-
[21]
Bhattacharya B, Ghoshal D. CrystEngComm, 2015, 17:8388-8413 doi: 10.1039/C5CE01246E
-
[22]
Zhang J Y, Wang K, Li X B, et al. Inorg. Chem., 2014, 53:9306-9314 doi: 10.1021/ic5014279
-
[23]
Qu Y J, Li J, Duan S E. J. Mol. Struct., 2018, 1166:155-158 doi: 10.1016/j.molstruc.2018.04.029
-
[24]
Kan W Q, Ma J F, Liu Y Y, et al. CrystEngComm, 2012, 14:2316-2326 doi: 10.1039/c2ce06176g
-
[25]
Huang Y Q, Li Z G, Chen H Y, et al. CrystEngComm, 2017, 19:6686-6693 doi: 10.1039/C7CE01568B
-
[26]
Huang Y Q, Chen H Y, Li Z G, et al. Inorg. Chim. Acta, 2017, 466:71-77 doi: 10.1016/j.ica.2017.05.039
-
[27]
Ezuhara T, Endo K, Aoyama Y. J. Am. Chem. Soc., 1999, 121:3279-3283 doi: 10.1021/ja9819918
-
[28]
Kong G Q, Wu C D. Cryst. Growth Des., 2010, 10:4590-4595 doi: 10.1021/cg100885e
-
[29]
Xu G C, Ding Y J, Huang Y Q, et al. Microporous Mesopo-rous Mater., 2008, 113:511-522 doi: 10.1016/j.micromeso.2007.12.012
-
[30]
Sheldrick G M. SHELX-97, An Integrated System for Solving Crystal Structures from Diffraction Data, University of Göttingen, Germany, 1997.
-
[31]
Sheldrick G M. SHELX-97, An Integrated System for Refin-ing Crystal Structures from Diffraction Data, University of Göttingen, Germany, 1997.
-
[32]
Sheldrick G M. SHELXTL, Version 6.10, Bruker AXS Inc., Madison, Wisconsin, USA, 2000.
-
[33]
Lacroix P G, Averseng F, Malfant Ⅰ, et al. Inorg. Chim. Acta, 2004, 357:3825-3835 doi: 10.1016/j.ica.2004.03.004
-
[34]
Batten S R, Robson R. Angew. Chem. Int. Ed., 1998, 37:1460-1494 doi: 10.1002/(SICI)1521-3773(19980619)37:11<1460::AID-ANIE1460>3.0.CO;2-Z
-
[35]
Wang R M, Zhang M H, Wang W, et al. Chin. J. Struct. Chem., 2016, 35:1714-1722 https://pubs.rsc.org/en/content/articlelanding/2014/ra/c4ra09520k#!
-
[36]
Erer H, Yeşilel O Z, Arıcı M, et al. J. Solid State Chem., 2014, 210:261-266 doi: 10.1016/j.jssc.2013.11.036
-
[37]
Huang Y Q, Wan Y, Chen H Y, et al. New J. Chem., 2016, 40:7587-7595 doi: 10.1039/C6NJ01231K
-
[38]
Du P, Yang Y, Yang J, et al. Dalton Trans., 2013, 42:1567-1580 doi: 10.1039/C2DT31964K
-
[39]
Ji W J, Zhai Q G, Li S N, et al. Inorg. Chem. Commun., 2012, 24:209-211 doi: 10.1016/j.inoche.2012.07.014
-
[40]
Sippel P, Denysenko D, Loidl A, et al. Adv. Funct. Mater., 2014, 24:3885-3896 doi: 10.1002/adfm.201400083
-
[1]
-
Table 1. Crystal data and structure refinements for complexes 1~3
Complex 1 2 3 Empirical formula C21H17ClN3O4Zn C21H17ClN3O4Co C28H28ClN5O10Zn Formula weight 476.20 469.76 695.37 Crystal system Orthorhombic Orthorhombic Triclinic Space group Pbcn Pbcn P1 a / nm 3.153 5(8) 3.143 3(5) 0.832 69(3) b / nm 0.740 9(2) 0.738 05(11) 1.111 88(5) c / nm 1.805 5(6) 1.799 8(3) 1.633 67(7) α/(°) 81.295 0(10) β/(°) 82.113 0(10) γ/(°) 84.422 0(10) V / nm3 4.218(2) 4.175 4(11) 1.476 45(11) Z 8 8 2 Dc / (g·cm-3) 1.500 1.495 1.564 μ / mm-1 1.324 0.983 0.989 F(000) 1 944 1 920 716 (2θ)max / (°) 50.5 52.9 50.5 Independent reflection 4 343 4 308 6 441 Data, restraint, parameter 4 343, 0, 271 4 308, 0, 271 6 441, 2, 412 Rint 0.039 1 0.029 1 0.031 0 Goodness-of-fit on F2 1.131 1.109 1.064 R1, wR2 [I>2σ(I)] 0.063 4, 0.197 6 0.062 1, 0.195 7 0.053 9, 0.139 8 R1, wR2 (all data) 0.076 3, 0.206 5 0.073 1, 0.205 2 0.059 6, 0.143 6 -
扫一扫看文章
计量
- PDF下载量: 2
- 文章访问数: 1221
- HTML全文浏览量: 137

下载:
下载: