Effect of Reaction Medium on Solvothermal Synthesis of CuS Crystals
- Corresponding author: ZHAO Wei, zhaowei2004@tsinghua.org.cn
Citation:
ZHAO Wei, RONG Jia-Cheng, LIU Nian-Qi, WANG Zi-Hao. Effect of Reaction Medium on Solvothermal Synthesis of CuS Crystals[J]. Chinese Journal of Inorganic Chemistry,
;2018, 34(3): 454-460.
doi:
10.11862/CJIC.2018.052
MEI Chang-Song, ZHONG Shun-He. Chinese J. Inorg. Chem., 2005, 21(12):1809-1814
doi: 10.3321/j.issn:1001-4861.2005.12.006
WANG Dan-Jun, ZHANG Jie, GUO Li, et al. J. Inorg. Mater., 2015, 30(7):683-693
ZHANG Wei, HUANG Ying, SHAO Jie, et al. Dev. Appl. Mater., 2012, 27(3):92-96
Monteagudo J M, Durán A, González R, et al. Appl. Catal., B, 2015, 176/177:120-129
doi: 10.1016/j.apcatb.2015.03.055
ZHOU Qi, ZHONG Yong-Hui, CHEN Xing, et al. Acta Materiae Compositae Sinica, 2014, 31(2):255-262
LIU Ren-Yue, WU Zhen, BAI Yu, et al. J. Inorg. Mater., 2017, 33(3):519-527
Yu C L, Cao F F, Li X, et al. Chem. Eng. J., 2013, 219:86-95
doi: 10.1016/j.cej.2012.12.064
He H B, Xue S S, Wu Z, et al. Chin. J. Catal., 2016, 27:1841-1850
Yu C L, Yang K, Xie Y, et al. Nanoscale, 2013, 5:2142-2151
doi: 10.1039/c2nr33595f
YANG Ju-Xiang, SONG Shao-Fei, SHEN Shu-Kun, et al. Mater. Rev., 2007, 21(3):54-58
XU Lei, XIA Hai-Ping, HU Ming-Jie. Acta Opt. Sin., 2013, 33(1):159-163
ZHANG Tong, ZHANG Yue-Wei, ZHANG Shi-Zhu, et al. Mater. Rev., 2009, 23(3): 24-28
SHEN Yu-Fang, LONG Fei, ZOU Zheng-Guang. Mater. Rev., 2006, 20(6):28-31
JIA Bo, YANG Liu, QU Peng, et al. Bull Chin. Ceramic Soc., 2015(2):420-427
GENG Xiao-Hong, WANG Qian, YU Yang, et al. Chem. World, 2017(4):200-205
TAI Yu-Ping, DU Jin-Ping, MA Shu-Hui, et al. Coal Chem. Ind., 2008, 31(10): 21-23
ZHAO Jun, WANG Huan-Wei, SUN Mo-Jie, et al. Bull. Chin. Ceramic Soc., 2014(9):252-255
Kim H J, Kim J H, Kumar C H S S P, et al. J. Electroanal. Chem., 2015, 739:20-27
doi: 10.1016/j.jelechem.2014.12.016
ZHAO Juan, HU Hui-Fang, ZENG Ya-Ping, et al. Acta Phys. Sin., 2013, 62(15): 158104(7 Pages)
doi: 10.7498/aps.62.158104
Zhao W, Wang Z H, Zhou L, et al. Front. Mater. Sci., 2016, 10(3):290-299
doi: 10.1007/s11706-016-0349-5
Cavalcante R P, Dantas R F, Wender H, et al. Appl. Catal., B, 2015, 176-177:173-182
doi: 10.1016/j.apcatb.2015.04.007
Zhang J, Yu J G, Zhang Y M, et al. Nano Lett., 2011, 11(11):4774-4779
doi: 10.1021/nl202587b
Tanveer M, Cao C B, Aslam I, et al. New J. Chem., 2015, 39(2):1459-1468
doi: 10.1039/C4NJ01834F
Zhuo WANG , Junshan ZHANG , Shaoyan YANG , Lingyan ZHOU , Yedi LI , Yuanpei LAN . Preparation and photocatalytic performance of CeO2-reduced graphene oxide by thermal decomposition. Chinese Journal of Inorganic Chemistry, 2024, 40(9): 1708-1718. doi: 10.11862/CJIC.20240067
Haitao Wang , Lianglang Yu , Jizhou Jiang , Arramel , Jing Zou . S-Doping of the N-Sites of g-C3N4 to Enhance Photocatalytic H2 Evolution Activity. Acta Physico-Chimica Sinica, 2024, 40(5): 2305047-0. doi: 10.3866/PKU.WHXB202305047
Jianyin He , Liuyun Chen , Xinling Xie , Zuzeng Qin , Hongbing Ji , Tongming Su . Construction of ZnCoP/CdLa2S4 Schottky Heterojunctions for Enhancing Photocatalytic Hydrogen Evolution. Acta Physico-Chimica Sinica, 2024, 40(11): 2404030-0. doi: 10.3866/PKU.WHXB202404030
Chengxiao Zhao , Zhaolin Li , Dongfang Wu , Xiaofei Yang . SBA-15 templated covalent triazine frameworks for boosted photocatalytic hydrogen production. Acta Physico-Chimica Sinica, 2026, 42(1): 100149-0. doi: 10.1016/j.actphy.2025.100149
Jingzhuo Tian , Chaohong Guan , Haobin Hu , Enzhou Liu , Dongyuan Yang . Waste plastics promoted photocatalytic H2 evolution over S-scheme NiCr2O4/twinned-Cd0.5Zn0.5S homo-heterojunction. Acta Physico-Chimica Sinica, 2025, 41(6): 100068-0. doi: 10.1016/j.actphy.2025.100068
Jiawei Hu , Kai Xia , Ao Yang , Zhihao Zhang , Wen Xiao , Chao Liu , Qinfang Zhang . Interfacial Engineering of Ultrathin 2D/2D NiPS3/C3N5 Heterojunctions for Boosting Photocatalytic H2 Evolution. Acta Physico-Chimica Sinica, 2024, 40(5): 2305043-0. doi: 10.3866/PKU.WHXB202305043
Ke Li , Chuang Liu , Jingping Li , Guohong Wang , Kai Wang . Architecting Inorganic/Organic S-Scheme Heterojunction of Bi4Ti3O12 Coupling with g-C3N4 for Photocatalytic H2O2 Production from Pure Water. Acta Physico-Chimica Sinica, 2024, 40(11): 2403009-0. doi: 10.3866/PKU.WHXB202403009
Guoqiang Chen , Zixuan Zheng , Wei Zhong , Guohong Wang , Xinhe Wu . Molten Intermediate Transportation-Oriented Synthesis of Amino-Rich g-C3N4 Nanosheets for Efficient Photocatalytic H2O2 Production. Acta Physico-Chimica Sinica, 2024, 40(11): 2406021-0. doi: 10.3866/PKU.WHXB202406021
Chenye An , Sikandaier Abiduweili , Xue Guo , Yukun Zhu , Hua Tang , Dongjiang Yang . Hierarchical S-scheme Heterojunction of Red Phosphorus Nanoparticles Embedded Flower-like CeO2 Triggering Efficient Photocatalytic Hydrogen Production. Acta Physico-Chimica Sinica, 2024, 40(11): 2405019-0. doi: 10.3866/PKU.WHXB202405019
Bowen Liu , Jianjun Zhang , Han Li , Bei Cheng , Chuanbiao Bie . MOF-derived ZnO/PANI S-scheme heterojunction for efficient photocatalytic phenol mineralization coupled with H2O2 generation. Acta Physico-Chimica Sinica, 2025, 41(10): 100121-0. doi: 10.1016/j.actphy.2025.100121
Xinyu Yin , Haiyang Shi , Yu Wang , Xuefei Wang , Ping Wang , Huogen Yu . Spontaneously Improved Adsorption of H2O and Its Intermediates on Electron-Deficient Mn(3+δ)+ for Efficient Photocatalytic H2O2 Production. Acta Physico-Chimica Sinica, 2024, 40(10): 2312007-0. doi: 10.3866/PKU.WHXB202312007
Heng Chen , Longhui Nie , Kai Xu , Yiqiong Yang , Caihong Fang . Remarkable Photocatalytic H2O2 Production Efficiency over Ultrathin g-C3N4 Nanosheet with Large Surface Area and Enhanced Crystallinity by Two-Step Calcination. Acta Physico-Chimica Sinica, 2024, 40(11): 2406019-0. doi: 10.3866/PKU.WHXB202406019
Deyun Ma , Fenglan Liang , Qingquan Xue , Yanping Liu , Chunqiang Zhuang , Shijie Li . Interfacial engineering of Cd0.5Zn0.5S/BiOBr S-scheme heterojunction with oxygen vacancies for effective photocatalytic antibiotic removal. Acta Physico-Chimica Sinica, 2025, 41(12): 100190-0. doi: 10.1016/j.actphy.2025.100190
Kun WANG , Wenrui LIU , Peng JIANG , Yuhang SONG , Lihua CHEN , Zhao DENG . Hierarchical hollow structured BiOBr-Pt catalysts for photocatalytic CO2 reduction. Chinese Journal of Inorganic Chemistry, 2024, 40(7): 1270-1278. doi: 10.11862/CJIC.20240037
Qinhui Guan , Yuhao Guo , Na Li , Jing Li , Tingjiang Yan . Molecular sieve-mediated indium oxide catalysts for enhancing photocatalytic CO2 hydrogenation. Acta Physico-Chimica Sinica, 2025, 41(11): 100133-0. doi: 10.1016/j.actphy.2025.100133
Zijian Jiang , Yuang Liu , Yijian Zong , Yong Fan , Wanchun Zhu , Yupeng Guo . Preparation of Nano Zinc Oxide by Microemulsion Method and Study on Its Photocatalytic Activity. University Chemistry, 2024, 39(5): 266-273. doi: 10.3866/PKU.DXHX202311101
Xia ZHANG , Yushi BAI , Xi CHANG , Han ZHANG , Haoyu ZHANG , Liman PENG , Shushu HUANG . Preparation and photocatalytic degradation performance of rhodamine B of BiOCl/polyaniline. Chinese Journal of Inorganic Chemistry, 2025, 41(5): 913-922. doi: 10.11862/CJIC.20240255
Yifan ZHAO , Qiyun MAO , Meijing GUO , Guoying ZHANG , Tongliang HU . Z-scheme bismuth-based multi-site heterojunction: Synthesis and hydrogen production from photocatalytic hydrogen production. Chinese Journal of Inorganic Chemistry, 2025, 41(7): 1318-1330. doi: 10.11862/CJIC.20250001
Jiajia Wang , Sibo Huang , Xijing Gao , Chaoxun Liu , Haibo Zhang . 光催化硝酸根还原产氨的综合实验设计. University Chemistry, 2025, 40(8): 241-248. doi: 10.12461/PKU.DXHX202410050
Wenxiu Yang , Jinfeng Zhang , Quanlong Xu , Yun Yang , Lijie Zhang . Bimetallic AuCu Alloy Decorated Covalent Organic Frameworks for Efficient Photocatalytic Hydrogen Production. Acta Physico-Chimica Sinica, 2024, 40(10): 2312014-0. doi: 10.3866/PKU.WHXB202312014
(a) ethylene glycol, 170 ℃, 60 min, (b) ethylene glycol, 170 ℃, 90 min, (c) VDMF:VH2O=1:1 and (d) PVP, 0.5 g
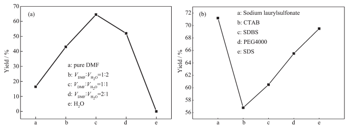
(a) Different solvents; (b) Adding surfactant
(a) pure DMF, (b) pure ethylene glycol and (c) pure water
(a) VDMF:VH2O=2:1, (b) VDMF:VH2O=1:1, (c) VDMF:VH2O=1:2 and (d) Vethylene glycol:VH2O=1:1
(a) 0.25, (b) 0.5 and (c) 1 g
(a) 0.25, (b) 0.5, (c) 0.75 and (d) 1 g
(a) Methyl orange; (b) Rhodamine B