Preparation and Electrochemical Properties of (Pr0.9La0.1)2(Ni0.74Cu0.21Ga0.05)O4+δ Nanofiber Cathode
- Corresponding author: SUN Li-Ping, lipingsun98@yahoo.com
Citation:
SHENG Shuang, ZHAO Jia-Qi, SUN Li-Ping, HUO Li-Hua, ZHAO Hui. Preparation and Electrochemical Properties of (Pr0.9La0.1)2(Ni0.74Cu0.21Ga0.05)O4+δ Nanofiber Cathode[J]. Chinese Journal of Inorganic Chemistry,
;2018, 34(2): 247-254.
doi:
10.11862/CJIC.2018.043
Hassmann K. Fuel Cells, 2001, 1(1):78-84
doi: 10.1002/(ISSN)1615-6854
Steele B C H, Heinzel A. Nature, 2001, 414:345-352
doi: 10.1038/35104620
Cayan F N, Zhi M J, Pakalapati R S, et al. J. Power Sources, 2008, 185:595-602
doi: 10.1016/j.jpowsour.2008.06.058
Leng Y J, Chan S H, Khor K A, et al. J. Appl. Electrochem., 2004, 34:409-415
doi: 10.1023/B:JACH.0000016627.29374.24
Zhi M J, Mariani N, Gemmen R, et al. Energy Environ. Sci., 2011, 4:417-420
doi: 10.1039/C0EE00358A
FAN Yu-Hang, SUN Li-Ping, HUO Li-Hua, et al. Chinese J. Inorg. Chem., 2016, 10(32):1730-1738
Setevich C, Toscani L, Larrondo S, et al. Solid State Ionics, 2017, 300:140-148
doi: 10.1016/j.ssi.2016.12.016
Prakash B S, Kumar S S, Aruna S T, et al. Surf. Coat. Int., 2017, 310:25-32
doi: 10.1016/j.surfcoat.2016.12.004
Li H, Sun L P, Feng Q M, et al. J. Solid State Electrochem., 2017, 21:273-280
doi: 10.1007/s10008-016-3364-7
SUN Li-Ping, ZHAO Hui, WANG Wen-Xue, et al. Chinese J. Inorg. Chem., 2014, 4(30):757-762
Zhi M J, Lee S W, Miller N, et al. Energy Environ. Sci., 2012, 5:7066-7071
doi: 10.1039/c2ee02619h
SUN Li-Ping, LI Qiang, ZHAO Hui, et al. Chinese J. Inorg. Chem., 2014, 5(30):1045-1050
Aruna S T, Balaji L S, Kumar S S, et al. Renewable Susta-inable Energy Rev., 2017, 67:673-682
doi: 10.1016/j.rser.2016.09.003
Chen Y, Bu Y F, Zhao B, et al. Nano Energy, 2016, 26:90-99
doi: 10.1016/j.nanoen.2016.05.001
Jin C, Mao Y C, Rooney D W, et al. Ceram. Int., 2016, 42:9311-9314
doi: 10.1016/j.ceramint.2016.02.121
Sun L P, Li Q, Zhao H, et al. Int. J. Hydrogen Energy, 2012, 37:11955-11962
doi: 10.1016/j.ijhydene.2012.05.112
Li Q, Sun L P, Zhao H, et al. J. Power Sources, 2014, 263:125-129
doi: 10.1016/j.jpowsour.2014.04.025
Zhao T, Sun L P, Li Q, et al. J. Electrochem. Energy Convers. Storage, 2016, 1(13):0110061(7 Pages)
Boehm E, Bassat J M, Dordor P, et al. Solid State Ionics, 2005, 176:2717-2725
doi: 10.1016/j.ssi.2005.06.033
Philippeau B, Mauvy F, Mazataud C, et al. Solid State Ionics, 2013, 249-250:17-25
doi: 10.1016/j.ssi.2013.06.009
Kovalevsky A V, Kharton V V, Yaremchenko A A, et al. J. Eur. Ceram. Soc., 2007, 27:4269-4272
doi: 10.1016/j.jeurceramsoc.2007.02.136
Yashima M, Yamada H, Ishihara T, et al. Chem. Mater., 2012, 24:4100-4113
doi: 10.1021/cm3021287
Wang Y F, Cheng J G, Jiang Q M, et al. J. Power Sources, 2011, 196:3104-3108
doi: 10.1016/j.jpowsour.2010.11.106
Kovalevsky A V, Kharton V V, Yaremchenko A A, et al. J. Electroceram, 2007, 18:205-218
doi: 10.1007/s10832-007-9024-7
Ishihara T, Nakashima K, Okada S, et al. Solid State Ionics, 2008, 179:1367-1371
doi: 10.1016/j.ssi.2007.11.019
Yashima M, Sirikanda N, Ishihara T. J. Am. Chem. Soc., 2010, 132:2385-2392
doi: 10.1021/ja909820h
Peng S J, Wei Y Y, Xue J, et al. Int. J. Hydrogen Energy, 2013, 38:10552-10558
doi: 10.1016/j.ijhydene.2013.06.073
Singh K K, Ganguly P, Goodenough J B. J. Solid State Chem., 1984, 52:254-273
doi: 10.1016/0022-4596(84)90009-4
Lavat A E, Baran E J. J. Alloys Compd., 2004, 368:130-134
doi: 10.1016/j.jallcom.2003.08.071
Flura A, Nicollet C, Fourcade S, et al. Electrochim. Acta, 2015, 174:1030-1040
doi: 10.1016/j.electacta.2015.06.084
SHENG Shuang, ZHAO Hui, HAO Ju-Hong, et al. Chinese J. Inorg. Chem., 2016, 12(32):2143-2150
Fukunaga H, Koyama M, Takahashi N, et al. Solid State Ionics, 2000, 132:279-285
doi: 10.1016/S0167-2738(00)00642-1
Zhao H, Huo L H, Gao S. J. Power Sources, 2004, 125:149-154
doi: 10.1016/j.jpowsour.2003.07.009
Gao Z, Liu X M, Bergman B, et al. J. Power Sources, 2011, 196:9195-9203
doi: 10.1016/j.jpowsour.2011.07.012
Wang Y X, Zhao X Y, Lü S Q, et al. Ceram. Int., 2014, 40:7321-7327
doi: 10.1016/j.ceramint.2013.12.074
Zhang L L, Liu M, Huang J H, et al. Int. J. Hydrogen Energy, 2014, 39:7972-7979
doi: 10.1016/j.ijhydene.2014.03.055
Ying Li , Yushen Zhao , Kai Chen , Xu Liu , Tingfeng Yi , Li-Feng Chen . Rational Design of Cross-Linked N-Doped C-Sn Nanofibers as Free-Standing Electrodes towards High-Performance Li-Ion Battery Anodes. Acta Physico-Chimica Sinica, 2024, 40(3): 2305007-0. doi: 10.3866/PKU.WHXB202305007
Yan'e LIU , Shengli JIA , Yifan JIANG , Qinghua ZHAO , Yi LI , Xinshu CHANG . MoO3/cellulose derived carbon aerogel: Fabrication and performance as cathode for lithium-sulfur battery. Chinese Journal of Inorganic Chemistry, 2025, 41(8): 1565-1573. doi: 10.11862/CJIC.20250054
Tong Zhou , Jun Li , Zitian Wen , Yitian Chen , Hailing Li , Zhonghong Gao , Wenyun Wang , Fang Liu , Qing Feng , Zhen Li , Jinyi Yang , Min Liu , Wei Qi . Experiment Improvement of “Redox Reaction and Electrode Potential” Based on the New Medical Concept. University Chemistry, 2024, 39(8): 276-281. doi: 10.3866/PKU.DXHX202401005
Ji-Quan Liu , Huilin Guo , Ying Yang , Xiaohui Guo . Calculation and Discussion of Electrode Potentials in Redox Reactions of Water. University Chemistry, 2024, 39(8): 351-358. doi: 10.3866/PKU.DXHX202401031
Qi Li , Pingan Li , Zetong Liu , Jiahui Zhang , Hao Zhang , Weilai Yu , Xianluo Hu . Fabricating Micro/Nanostructured Separators and Electrode Materials by Coaxial Electrospinning for Lithium-Ion Batteries: From Fundamentals to Applications. Acta Physico-Chimica Sinica, 2024, 40(10): 2311030-0. doi: 10.3866/PKU.WHXB202311030
Jianqiao ZHANG , Yang LIU , Yan HE , Yaling ZHOU , Fan YANG , Shihui CHENG , Bin XIA , Zhong WANG , Shijian CHEN . Ni-doped WP2 nanowire self-standingelectrode: Preparation and alkaline electrocatalytic hydrogen evolution property. Chinese Journal of Inorganic Chemistry, 2025, 41(8): 1610-1616. doi: 10.11862/CJIC.20240444
Wuxin Bai , Qianqian Zhou , Zhenjie Lu , Ye Song , Yongsheng Fu . Co-Ni Bimetallic Zeolitic Imidazolate Frameworks Supported on Carbon Cloth as Free-Standing Electrode for Highly Efficient Oxygen Evolution. Acta Physico-Chimica Sinica, 2024, 40(3): 2305041-0. doi: 10.3866/PKU.WHXB202305041
Juan WANG , Zhongqiu WANG , Qin SHANG , Guohong WANG , Jinmao LI . NiS and Pt as dual co-catalysts for the enhanced photocatalytic H2 production activity of BaTiO3 nanofibers. Chinese Journal of Inorganic Chemistry, 2024, 40(9): 1719-1730. doi: 10.11862/CJIC.20240102
Xiaojing Tian , Zhichun Huang , Qingsong Zhang , Xu Wang , Ning Yang , Nanping Deng . PNIPAm Thermo-Responsive Nanofibers Mats: Morphological Stability and Response Behavior under Cross-Linking. Acta Physico-Chimica Sinica, 2024, 40(4): 2304037-0. doi: 10.3866/PKU.WHXB202304037
Yingtong FAN , Yujin YAO , Shouhao WAN , Yihang SHEN , Xiang GAO , Cuie ZHAO . Construction of copper tetrakis(4-carboxyphenyl)porphyrin/silver nanowire composite electrode for flexible and transparent supercapacitors. Chinese Journal of Inorganic Chemistry, 2025, 41(7): 1309-1317. doi: 10.11862/CJIC.20250043
Shuhong Xiang , Lv Yang , Yingsheng Xu , Guoxin Cao , Hongjian Zhou . Selective electrosorption of Cs(Ⅰ) from high-salinity radioactive wastewater using CNT-interspersed potassium zinc ferrocyanide electrodes. Acta Physico-Chimica Sinica, 2025, 41(9): 100097-0. doi: 10.1016/j.actphy.2025.100097
Jun Huang , Pengfei Nie , Yongchao Lu , Jiayang Li , Yiwen Wang , Jianyun Liu . 丝光沸石负载自支撑氮掺杂多孔碳纳米纤维电容器及高效选择性去除硬度离子. Acta Physico-Chimica Sinica, 2025, 41(7): 100066-0. doi: 10.1016/j.actphy.2025.100066
Yu Dai , Xueting Sun , Haoyu Wu , Naizhu Li , Guoe Cheng , Xiaojin Zhang , Fan Xia . Determination of the Michaelis Constant for Gold Nanozyme-Catalyzed Decomposition of Hydrogen Peroxide. University Chemistry, 2025, 40(5): 351-356. doi: 10.12461/PKU.DXHX202407052
Mengfei He , Chao Chen , Yue Tang , Si Meng , Zunfa Wang , Liyu Wang , Jiabao Xing , Xinyu Zhang , Jiahui Huang , Jiangbo Lu , Hongmei Jing , Xiangyu Liu , Hua Xu . Epitaxial Growth of Nonlayered 2D MnTe Nanosheets with Thickness-Tunable Conduction for p-Type Field Effect Transistor and Superior Contact Electrode. Acta Physico-Chimica Sinica, 2025, 41(2): 100016-0. doi: 10.3866/PKU.WHXB202310029
Endong YANG , Haoze TIAN , Ke ZHANG , Yongbing LOU . Efficient oxygen evolution reaction of CuCo2O4/NiFe-layered bimetallic hydroxide core-shell nanoflower sphere arrays. Chinese Journal of Inorganic Chemistry, 2024, 40(5): 930-940. doi: 10.11862/CJIC.20230369
Fanpeng Meng , Fei Zhao , Jingkai Lin , Jinsheng Zhao , Huayang Zhang , Shaobin Wang . Optimizing interfacial electric fields in carbon nitride nanosheet/spherical conjugated polymer S-scheme heterojunction for hydrogen evolution. Acta Physico-Chimica Sinica, 2025, 41(8): 100095-0. doi: 10.1016/j.actphy.2025.100095
Wei Sun , Yongjing Wang , Kun Xiang , Saishuai Bai , Haitao Wang , Jing Zou , Arramel , Jizhou Jiang . CoP Decorated on Ti3C2Tx MXene Nanocomposites as Robust Electrocatalyst for Hydrogen Evolution Reaction. Acta Physico-Chimica Sinica, 2024, 40(8): 2308015-0. doi: 10.3866/PKU.WHXB202308015
Chaolin Mi , Yuying Qin , Xinli Huang , Yijie Luo , Zhiwei Zhang , Chengxiang Wang , Yuanchang Shi , Longwei Yin , Rutao Wang . Galvanic Replacement Synthesis of Graphene Coupled Amorphous Antimony Nanoparticles for High-Performance Sodium-Ion Capacitor. Acta Physico-Chimica Sinica, 2024, 40(5): 2306011-0. doi: 10.3866/PKU.WHXB202306011
Yu'ang Liu , Yuechao Wu , Junyu Huang , Tao Wang , Xiaohong Liu , Tianying Yan . Computation of Absolute Electrode Potential of Standard Hydrogen Electrode Using Ab Initio Method. University Chemistry, 2025, 40(3): 215-222. doi: 10.12461/PKU.DXHX202407112
Limin Zhang , Mengmeng Liu , Yang Tian . Size Determines Performance: A Novel Experimental Design for Voltammetric Teaching at Microelectrode and Glassy Carbon Electrode. University Chemistry, 2025, 40(11): 281-288. doi: 10.12461/PKU.DXHX202412047
(a) unheated; sintering at (b) 400 ℃, (c) 600 ℃ and (d) 950 ℃
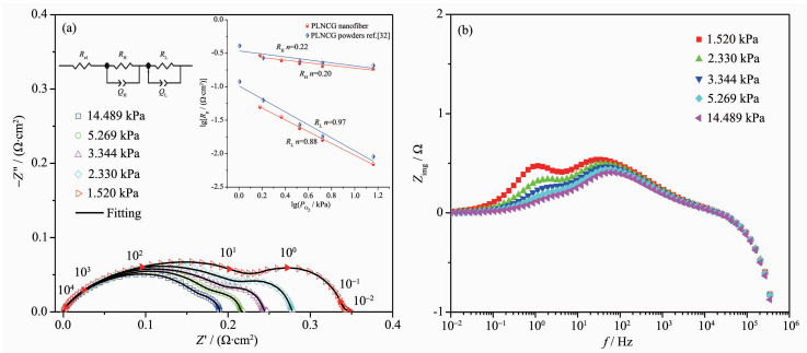
Inset displays the dependence of polarization resistance on oxygen partial pressure at 700 ℃