Citation: Xue-min Yin, Ya-wei Qin, Li-yang Zhang, Shuai Ma, Jin-yong Dong. Effect of Hydrogen on Copolymerization between Dichlorosilane-functionalized Nonconjugated α,ω-Diolefin and Propylene[J]. Acta Polymerica Sinica, 2020, 51(4): 377-384. doi: 10.11777/j.issn1000-3304.2019.19187
氢气对氯硅烷功能化非共轭α,ω-双烯烃和丙烯共聚物链结构的影响
-
关键词:
- Ziegler-Natta催化剂
- / 氢气
- / 氯硅烷功能化α,ω-双烯烃
- / 长链支化结构
- / 链转移反应
English
Effect of Hydrogen on Copolymerization between Dichlorosilane-functionalized Nonconjugated α,ω-Diolefin and Propylene
-
聚丙烯树脂(PP)是目前应用最广、发展最快、牌号最多的合成树脂之一,广泛地应用于人们的日常生活和工业生产中. 其中,85%以上的聚丙烯树脂是由MgCl2/TiCl4型Ziegler-Natta催化剂获得[1],高活性、高立构选择性和颗粒反应器技术推动了聚丙烯工业的跨越式发展. 但是,由该催化剂催化丙烯聚合得到的聚丙烯呈线形结构,加工温度高于熔融温度时熔体黏度大幅降低,导致其熔体强度低,加工窗口窄,在使用发泡、热成型、热涂覆以及吹塑等加工方法的领域应用受限.
长支链结构可有效地提高聚合物的熔体加工性能,解决加工应用过程中的熔体强度低和加工温度窗口窄的问题,因此,一直以来,可控制备长链支化聚丙烯树脂是学术界和工业界关注的热点之一[2~4]. 国内外科研机构和企业采用辐照改性法、挤出改性法或催化聚合法[5~7](茂金属催化剂、后过渡金属催化剂或α,ω-双烯烃共聚)等进行了相关的研究,Borealis公司和日本聚丙烯公司(JPP)分别推出了DaployTM和WAYMAXTM等长链支化聚丙烯产品. 我们课题组选用传统的非共轭α,ω-双烯烃(如1,7-辛二烯、1,9-癸二烯等)与丙烯等烯烃单体进行共聚反应,在生成长支链结构的同时,发现其中一个双键可参与丙烯共聚,另一双键由于空间位阻效应不易再参与聚合反应而形成悬垂双键,导致其形成长支链结构的效率不高[8]. 最近,我们对非共轭α,ω-双烯烃进行硅氯功能化,硅氯基团在水或醇存在下进行缩合反应,连接2个及以上的聚丙烯大分子链,最终形成长链支化结构[9]. 该方法基于Ziegler-Natta催化剂更加有效地获得了长支链结构的聚丙烯树脂. 具有优异加工性能的聚丙烯材料不只是需要长支链结构带来的高熔体强度特性,还需要具有较好的流动性,进一步改善其熔体加工性能.
众所周知,在丙烯聚合过程中,氢气作为链转移剂来调节聚合物的相对分子质量[10,11],以此获得熔体流动性不同的聚丙烯树脂. 催化剂的氢调敏感性与其组成和结构密切相关,是评价催化剂性能的重要指标之一 [12~14]. 因此,在共聚反应体系中,研究氢气对共聚单体的插入率及分子链结构的影响,显得尤为重要.
本工作基于前期研究工作基础,在氯硅烷功能化非共轭α,ω-双烯烃和丙烯的共聚合体系中引入氢气,考察了氢气对聚合活性和聚合物相对分子质量的影响,通过流变学手段,研究了氢气对氯硅烷功能化非共轭α,ω-双烯烃的插入率、共聚物分子链结构及其熔体黏弹性的影响.
1. 实验部分
1.1 主要原料
聚合级丙烯(中石化北京燕山分公司);氢气(北京泰龙电子技术公司);MgCl2/BMMF/TiCl4催化剂(Ti: 3.8 wt%,BMMF: 11.2 wt%),其中BMMF为9,9-二(甲氧基甲基)芴,自制;二(5-己烯基)二氯硅烷(DHDCS)制备方法参考文献[9];三乙基铝(AlEt3,美国Albermarle公司);氘代邻二氯苯(北京伊诺凯科技有限公司);正己烷﹑正庚烷,天津市康科德科技有限公司,使用前经金属钠回流除水;二苯甲酮,北京化学试剂公司;金属钠,北京化工四厂;去离子水,化学所自制.
1.2 聚合反应
聚合反应在装有机械搅拌2 L的不锈钢高压反应釜中进行,聚合反应釜抽真空后,冲入丙烯至微高于常压,排放丙烯气体,反复进行3次. 在室温条件下,依次向反应釜中加入一定量的氢气、8.0 mmol AlEt3以及 250 g 液态丙烯,搅拌3 min 后加入一定量的DHDCS以及 13 mg 催化剂,最后用 250 g液态丙烯将加料口处的物料冲入反应釜中,聚合反应温度为70 °C,反应时间1 h. 反应完成后,将反应釜温度降至室温,放空残余丙烯,收集聚合物. 然后将得到的聚合物在沸腾的去离子水中搅拌反应20 min,过滤,在真空干燥箱中(85 °C)烘干聚合物.
1.3 聚合物的表征
聚合物链结构的表征在Bruker AVANCE 500核磁共振波谱仪上进行,溶剂为氘代邻二氯苯,温度为110 °C. 聚合物热性质的测试在Perkin-Elmer公司DSC-7型示差量热扫描仪(differential scanning calorimetry,DSC)上进行. 取 2 ~ 5 mg样品,N2氛围,以 50 °C /min的升温速率从30 °C升至 200 °C,在 200 °C时恒温 5 min,以消除样品的热历史,然后以 10 °C/min的速率降至 30 °C,在30 °C恒温5 min,再以10 °C/min的速率升至200 °C,并对第二次升温和第一次降温数据进行分析. 采用美国安捷伦公司PL-220型高温凝胶渗透色谱仪对聚合物的分子量及分子量分布进行测试,该仪器配置折光示差、黏度和光散射3种检测器,凝胶渗透色谱柱使用由Polymer Laboratory Inc.公司生产的,3根串联的PLgel Mixed-B(10 μm)型柱子,柱温为150 °C,加热区温度为120 °C,加入的抗氧剂Irgafos 168含量为0.0125 wt%,溶剂为 1,2,4-三氯苯(TCB),流动相流速为 1.0 mL/min. 聚合物凝胶含量的测定:精确称取质量为m1的聚合物,将聚合物在沸腾的二甲苯中煮12 h,然后将聚合物转移至索氏提取器中并抽提12 h,以确保充分除去聚合物的可溶部分,抽提完成后,将抽提后的聚合物放于60 °C真空干燥箱干燥24 h,然后精确称取聚合物的质量为m2. 聚合物的凝胶含量为:Gel content = m2/m1 × 100 %. 聚合物的流变测试在TA公司AR2000流变仪上进行,蠕变测试条件:N2氛围下,200 °C,固定应力值10 Pa,测试时间为11000 s. 小振幅振荡剪切测试条件: N2氛围下,温度200 °C,从高频向低频扫描,扫描频率为 500 ~ 0.01 rad/s,应变为1.25% (线性黏弹区内),平板夹具直径25 mm,平板间隙1 mm. 样片在德国Haake公司微量注射成型仪MiniJet系统上进行注射成型,注射温度为210 °C,注射压力为80 MPa.
2. 结果与讨论
2.1 氢气对DHDCS与丙烯共聚的影响
采用MgCl2/BMMF/TiCl4 Ziegler-Natta催化剂进行聚合反应,聚合反应条件和部分实验结果列于表1. 由表1结果可以看出,随着氢气浓度的增加,聚合反应的活性明显提高,聚合物的分子量明显降低,说明氢气在聚合反应中起到了活化作用和链转移剂作用,这与之前氢气对丙烯聚合的影响结果相一致[15~17]. 当聚合反应中无氢气存在时,将所得聚合物经沸腾的二甲苯抽提,结果显示聚合物中有大量的二甲苯不溶物 (45.9 wt%),说明无氢气存在时较多的DHDCS单体参与丙烯共聚,且经过沸腾的去离子水处理后,不同聚合物链之间的Si―Cl基团发生脱水缩合反应形成交联网络结构. 而当有氢气存在时,聚合物中不再有二甲苯不溶物存在,说明氢气的引入抑制了DHDCS单体在聚合物分子链中的插入,较少的DHDCS插入到聚合物链中,经脱水缩合后聚合物链之间不能有效形成交联网络结构. 由于受到链结构的影响,聚合物的结晶温度呈下降趋势(表1).
表 1
Table 1. Conditions and results of PP with Ziegler-Natta catalyst and DHDCS at the different hydrogen concentrations aRun $p_{{\rm H}_2} $ 

(MPa)Activity
(104 g pp /gcat·h)Mw b × 10−4
(g/mol)PDI b Tm c
(°C)Tc c
(°C)Gel content d
(wt%)Pendant vinyl e
(mol%)1 0 0.96 68.4 4.2 163.9 124.6 45.9 0.12 2 0.2 1.8 32.3 4.9 165.9 121.4 0 0.07 3 0.5 2.1 30.2 5.9 164.7 120.2 0 0.06 4 1.0 1.8 22.0 5.2 163.6 119.6 0 0.05 a Polymerization conditions: 500 g propylene; AlEt3, 8.0 mmol; DHDCS, 2.83 mmol; the H2 pressure is the pressure drop in 0.1 L steel-tank; Ziegler-Natta catalysts, ~ 13 mg; temperature, 70 °C; duration, 60 min; b Determined using GPC in 1,2,4-trichlorobenzene at 150 °C; c Determined by DSC; d Gel content was the proportion of insoluble port extracted with xylene; e Determined by 1H-NMR 为了进一步验证氢气对DHDCS与丙烯共聚的影响,我们通过1H-NMR对DHDCS在聚丙烯链中的插入率进行分析并作定量计算. 图1为run 1 ~ run 4所得聚合物经沸腾去离子水处理后的1H-NMR谱图. 如图1所示,无氢气存在时聚合物中悬垂双键的特征峰(H1特征峰和H2特征峰的化学位移分别在5.80和4.95处)最强,随着氢气含量的增加,run 2 ~ run 4聚合物分子链中悬垂双键的特征峰强度明显变弱. 通过对特征峰的峰面积积分,计算悬垂双键在聚丙烯分子链中的摩尔比,定量确定DHDCS在聚合物中的插入率,结果列于表1中. 随着氢气含量增加,DHDCS在聚丙烯链中的插入率由0.12 mol%降低到0.05 mol%,表明聚合物链中长链支化含量明显减少,这说明氢气的存在抑制了DHDCS在丙烯聚合中的插入,且氢气含量越高,DHDCS在聚合物链中的插入率越低,减少了交联结构的生成,这与二甲苯不溶物测试结果相一致.
图 1
Figure 1. 1H-NMR spectra and structure of samples in Table 1: (a) run 1, (b) run 2, (c) run 3 and (d) run 42.2 聚合物的流变测试结果
流变测试是对聚合物链结构表征的一种常用手段[18,19],其对链结构的微小变化有着明显的响应,不同的链结构表现出不同的流变行为. 首先我们对制备的聚合物进行小振幅震荡剪切流变测试,在线性黏弹区内,频率扫描从高频到低频. 以下我们通过流变测试研究了聚合物熔体的黏弹性,并对聚合物的链结构进行了分析.
图2为run 1 ~ run 4聚丙烯样品在200 °C下的储能模量G′ (图2(A))和损耗模量G″ (图2(B))对剪切频率ω的流变曲线. 于无氢气存在下制备的样品run 1储能模量G′ (图2(A)中曲线(a))和损耗模量G″ (图2(B)中曲线(a)) 在低频末端区明显的出现平台,表现出明显的末端效应. 而随着氢气含量增加,聚合物的储能模量G′和损耗模量G″低频末端区的末端效应逐渐减弱,说明聚合物链松弛时间变短,聚合物中长链支化结构减少,聚合物更接近于线性结构的流变行为.
图 2
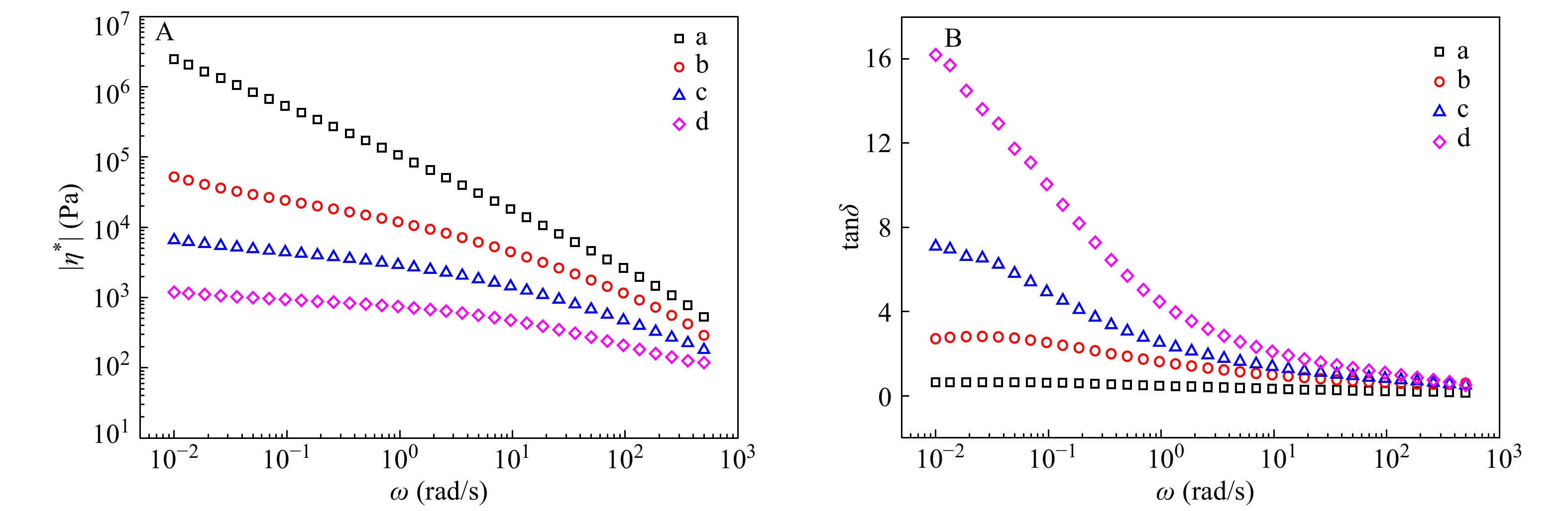
Figure 2. Plots of (A) dynamic storage moduli G′ and (B) dynamic loss moduli G″ at 200 °C of polymer samples post treated by water in Table 1: (a) run 1, (b) run 2, (c) run 3 and (d) run 4聚合物的复数黏度(|η*|)对剪切频率ω的流变曲线如图3(A)所示,无氢气引入时,聚合物的复数黏度曲线表现出明显的“剪切变稀”现象,而随着氢气含量增加,剪切变稀现象减弱. 图3(B)为聚合物的损耗角(tanδ)-剪切频率(ω)的曲线,可以看出随着氢气含量增加,损耗角明显增加. 以上现象均表明氢气引入后,聚合物熔体链缠结作用减弱,链段松弛时间变短,聚合物中长链支化含量减少,聚合物链结构更接近于线性结构. 同时,对不同氢气浓度下聚合物在低频区ω = 0.01 rad/s处储能模量G′的末端斜率和储能模量G′的数值作图,如图4所示. 随着氢气含量增加,储能模量G′末端斜率呈线性增加,储能模量G′的数值明显下降,这表明聚合物中长链支化结构逐渐减少. 这与前面1H-NMR测试结果相一致.
图 3
Figure 3. Plots of (A) complex viscosity |η*| and (B) loss angle (tanδ) at 200 °C of polymer samples post treated by water in Table 1: (a) run 1, (b) run 2, (c) run 3 and (d) run 4图 4
对run 1 ~ run 4样品的η′-η″作图,得到Cole-Cole曲线(图5(A)),对于run 1而言(无氢气存在),其Cole-Cole图明显的偏离半圆状,且高黏度区曲线上翘程度最大,说明聚合物中长链支化结构或交联结构较多. 而随着氢气引入量增加,样品的Cole-Cole图偏离半圆状的程度逐渐减小,当氢气引入较多时,样品(run 4)的Cole-Cole图接近于半圆状,表明此聚合物接近于线性结构. 对样品run 1 ~ run 4的logG′-logG″作图,即得到Han曲线(图5(B)),从图中可以看出,当聚合反应中无氢气引入时,所得聚合物的Han图曲线在低模量区有上翘的趋势,随着聚合反应中氢气引入量增加,所得聚合物的Han图曲线偏离线性程度逐渐减小. 当氢气引入量较多时(run 4),所得聚合物的Han图曲线接近于线性关系. vGP图可以定性地反映聚合物链的结构特征,线性聚合物的相位角δ在低|G*|时接近于90°[20,21],图5(C)显示无氢气存在时δ值最小,随着氢气浓度增加,相位角δ值逐渐增加,当氢气引入量较多时(run 4),相位角δ值接近于90°. 这一结果进一步说明氢气引入后聚合物中长链支化结构减少,表明氢气存在会抑制DHDCS单体在丙烯聚合中的插入.
图 5
Figure 5. (A) Cole-Cole plot (η′-η″), (B) Han plot (logG′-logG″), and (C) vGP plot (δ-|G*|) of polymer samples in Table 1: (a) run 1, (b) run 2, (c) run 3 and (d) run 4零剪切黏度η0是最常用来对比线形聚合物和长链支化聚合物的方法[22],对于线形聚合物其logη0和logMw之间呈线性关系. 首先对一系列线性聚丙烯进行logη0-logMw拟合得到以下方程:
$ \log {\eta _0} = - 17.58 + 3.82\log M_{\rm w} $ 然后对样品run 1 ~ run 4进行蠕变扫描测试,结果如图6所示. 样品run 1 ~ run 4的Mw和η0之间的关系见图7,从图中可以看出,样品run 1的η0值明显的偏离线性聚丙烯logη0-logMw拟合的直线,且随着氢气含量增加,η0值向上偏离的程度逐渐减小.
图 6
Figure 6. Creep plot at 200 °C of polymer samples in Table 1: (a) run 1, (b) run 2, (c) run 3 and (d) run 4图 7
Figure 7. Plots of η0-Mw at 200 °C of samples in Table 1为了进一步研究DHDCS在聚合物中的插入情况,我们对聚合物中支化链数量进行了定量计算. 根据Colby等[23]经验模型,方程如下:
$ {{\rm{\eta }}_0} = \mathop {\lim }\limits_{{\rm{t}} \to \infty } \frac{t}{{J\left( t \right)}} $ Janzen-Colby经验模型:
$ {\eta _0} = A{M_{\rm b}}\left[ {1 + {{\left( {\frac{{{M_{\rm b}}}}{{{M_{\rm c}}}}} \right)}^{2.4}}} \right]{\left( {\frac{{{M_{\rm w}}}}{{{M_{\rm b}}}}} \right)^{\frac{s}{\gamma }}} $ $ \frac{s}{\gamma } = \max \left[ {1,\frac{3}{2} + \frac{9}{8}B \ln \left( {\frac{{{M_{\rm b}}}}{{90{M_{\rm Kuhn}}}}} \right)} \right] $ 式中Mb为支化聚合物中支化点之间或支化点与链端之间的平均分子量,Mkuhn为等效自由链段长度,B为常数. 对于PP而言,Mc为13600 g/mol,Mkuhn为187.8 g/mol,B为3.4. 计算结果列于表2,可以看出随着氢气浓度增加,样品的零剪切黏度η0 逐渐减小,Mb值也逐渐减小,Mb/Mw值从0.70 增加到0.95,而对于线形聚丙烯而言,Mb/Mw值为1,通过以上对比可以发现,氢气加入量较多时,聚合物链结构非常接近于线性结构,说明聚合物中长链支化数量随氢气浓度增加而减小,与前面的表征结果相呼应. 基于以上测试结果,二(5-己烯基)二氯硅烷与丙烯共聚合的反应机理如图8所示.
表 2
Run $p_{{\rm H}_2} $ 

(MPa)Mw × 10−4
(g/mol)η0
(Pa·s)Mb × 10−4
(g/mol)Mb/Mw 1 0 68.4 1.3 × 107 48.0 0.70 2 0.2 32.3 5.5 × 104 25.9 0.80 3 0.5 30.2 8.4 × 103 27.5 0.91 4 1.0 22.0 1.5 × 103 20.9 0.95 图 8
3. 结论
基于Ziegler-Natta催化剂在不同氢气含量条件下制备了一系列聚丙烯样品. 本文研究了氢气对二(5-己烯基)二氯硅烷与丙烯共聚产物链结构的影响. 结果显示,氢气引入后,聚合反应的活性明显提高,聚合物相对分子质量降低. 1H-NMR测试结果显示,随着氢气加入量的增加,二(5-己烯基)二氯硅烷在聚丙烯链中的插入率由0.12 mol%降至0.05 mol%. 聚合物熔体流变测试结果表明,随着氢气浓度的增加,储能模量G′和损耗模量G″低频末端值显著降低,末端斜率明显增大,复数黏度显著降低. 从Cole-Cole图,Han图和vGp图均可看出,氢气引入后聚合物链中长支链结构数量较少. Colby方程计算结果也显示随着氢气含量增加,聚合物中的支化链数量逐渐减少. 相比于氢气分子,二(5-己烯基)二氯硅烷分子空间位阻较大,氢气的链转移反应更容易发生,因此,在氢气存在下,二(5-己烯基)二氯硅烷在聚丙烯链中的插入率降低. 上述结果对长支链密度和相对分子质量的调控并获得流动性好的聚丙烯树脂具有重要的指导意义.
-
-
[1]
Klaue A, Kruck M, Friederichs N, Bertola F, Wu H, Morbidelli M. Ind Eng Chem Res, 2019, 58(2): 886 − 896 doi: 10.1021/acs.iecr.8b05296
-
[2]
Liu P W, Liu W F, Wang W J, Li B G, Zhu S P. Macromol React Eng, 2016, 10(3): 156 − 179 doi: 10.1002/mren.201500053
-
[3]
Zulli F, Andreozzi L, Passaglia E, Augier S, Giordano M. J Appl Polym Sci, 2013, 127(2): 1423 − 1432 doi: 10.1002/app.38076
-
[4]
Yang T T, Qin Y W, Dong J Y. Macromolecules, 2018, 51(22): 9234 − 9249 doi: 10.1021/acs.macromol.8b01958
-
[5]
Walter P, Trinkle S, Lilge D, Friedrich C, Mülhaupt R. Macromol Mater Eng, 2001, 286(5): 309 − 315 doi: 10.1002/1439-2054(20010501)286:5<309::AID-MAME309>3.0.CO;2-F
-
[6]
Wang B, Zhang Y M, Ma Z, Pan L, Yu S J, Li Y S. Polym Chem, 2016, 7(17): 2938 − 2946 doi: 10.1039/C6PY00333H
-
[7]
Wang B, Long Y Y, Li Y G, Men Y F, Li Y S. Polymer, 2015, 61: 108 − 114 doi: 10.1016/j.polymer.2015.01.076
-
[8]
Shi J J, Dong J Y. Polymer, 2016, 85: 10 − 18 doi: 10.1016/j.polymer.2016.01.024
-
[9]
Zhou Hangsheng(周杭生), Li Kang(李康), Qin Yawei(秦亚伟), Dong Jinyong(董金勇). Atca Polymerica Sinica(高分子学报), 2019, 50(11): 1177 − 1186 doi: 10.11777/j.issn1000-3304.2019.19078
-
[10]
Bukatov G D, Goncharov V S, Eakharov V A. Macromol Chem Phys, 1995, 196(5): 1751 − 1759 doi: 10.1002/macp.1995.021960529
-
[11]
Vittoria A, Mingione A, Abbate R A, Cipullo R, Busico V. Ind Eng Chem Res, 2019, 58(32): 14729 − 14735 doi: 10.1021/acs.iecr.9b02801
-
[12]
Chadwick J C. Macromol Symp, 2001, 173(1): 21 − 36 doi: 10.1002/1521-3900(200108)173:1<21::AID-MASY21>3.0.CO;2-A
-
[13]
Chadwick J C, Morini G, Balbontin G. Camurati I, Heere J J R, Mingozzi I, Teston F Macromol Chem Phys, 2001, 202(10): 1995 − 2002 doi: 10.1002/1521-3935(20010601)202:10<1995::AID-MACP1995>3.0.CO;2-L
-
[14]
Chadwick J C, Morini G, Albizzati E, Balbontin G, Mingozzi I, Cristofori A, Sudmeijer O, vanKessel G M M. Macromol Chem Phys, 1996, 197(8): 2501 − 2510 doi: 10.1002/macp.1996.021970814
-
[15]
Alshaiban A, Soares J B P. Macromol React Eng, 2014, 8(10): 723 − 735 doi: 10.1002/mren.201400028
-
[16]
Shen Xianrong(沈显荣), Fu Zhisheng(傅智盛), Fan Zhiqinag(范志强). Atca Polymerica Sinica(高分子学报), 2013, (12): 1537 − 1544 doi: 10.3724/SP.J.1105.2013.13127
-
[17]
Alshaiban A, Soares J B P. Macromol React Eng, 2012, 6(6-7): 265 − 274 doi: 10.1002/mren.201200002
-
[18]
Walter P, Trinkle S, Suhm J, Mäder D, Friedrich C, Mülhaupt R. Macromol Chem Phys, 2000, 201(5): 604 − 612 doi: 10.1002/(SICI)1521-3935(20000301)201:5<604::AID-MACP604>3.0.CO;2-I
-
[19]
Ye Z B, AlObaidi F, Zhu S P. Macromol Chem Phys, 2004, 205(7): 897 − 906 doi: 10.1002/macp.200300128
-
[20]
Trinkle S, Walter P, Friedrich C. Rheologica Acta, 2002, 41(1-2): 103 − 113 doi: 10.1007/s003970200010
-
[21]
Pötschke P, Abdel-Goad M, Alig I, Dudkin S, Lellinger D. Polymer, 2004, 45(26): 8863 − 8870 doi: 10.1016/j.polymer.2004.10.040
-
[22]
Münstedt H. Soft Matter, 2011, 7(6): 2273 − 2283 doi: 10.1039/C0SM00891E
-
[23]
Janzen J, Colby R H. J Mol Struct, 1999, 485(SI): 569 − 584
-
[1]
-
Figure 1 1H-NMR spectra and structure of samples in Table 1: (a) run 1, (b) run 2, (c) run 3 and (d) run 4
Figure 2 Plots of (A) dynamic storage moduli G′ and (B) dynamic loss moduli G″ at 200 °C of polymer samples post treated by water in Table 1: (a) run 1, (b) run 2, (c) run 3 and (d) run 4
Figure 3 Plots of (A) complex viscosity |η*| and (B) loss angle (tanδ) at 200 °C of polymer samples post treated by water in Table 1: (a) run 1, (b) run 2, (c) run 3 and (d) run 4
Figure 5 (A) Cole-Cole plot (η′-η″), (B) Han plot (logG′-logG″), and (C) vGP plot (δ-|G*|) of polymer samples in Table 1: (a) run 1, (b) run 2, (c) run 3 and (d) run 4
Figure 6 Creep plot at 200 °C of polymer samples in Table 1: (a) run 1, (b) run 2, (c) run 3 and (d) run 4
Figure 7 Plots of η0-Mw at 200 °C of samples in Table 1
Table 1. Conditions and results of PP with Ziegler-Natta catalyst and DHDCS at the different hydrogen concentrations a
Run $p_{{\rm H}_2} $ 

(MPa)Activity
(104 g pp /gcat·h)Mw b × 10−4
(g/mol)PDI b Tm c
(°C)Tc c
(°C)Gel content d
(wt%)Pendant vinyl e
(mol%)1 0 0.96 68.4 4.2 163.9 124.6 45.9 0.12 2 0.2 1.8 32.3 4.9 165.9 121.4 0 0.07 3 0.5 2.1 30.2 5.9 164.7 120.2 0 0.06 4 1.0 1.8 22.0 5.2 163.6 119.6 0 0.05 a Polymerization conditions: 500 g propylene; AlEt3, 8.0 mmol; DHDCS, 2.83 mmol; the H2 pressure is the pressure drop in 0.1 L steel-tank; Ziegler-Natta catalysts, ~ 13 mg; temperature, 70 °C; duration, 60 min; b Determined using GPC in 1,2,4-trichlorobenzene at 150 °C; c Determined by DSC; d Gel content was the proportion of insoluble port extracted with xylene; e Determined by 1H-NMR Table 2. Colby equation parameters of polymer samples
Run $p_{{\rm H}_2} $ 

(MPa)Mw × 10−4
(g/mol)η0
(Pa·s)Mb × 10−4
(g/mol)Mb/Mw 1 0 68.4 1.3 × 107 48.0 0.70 2 0.2 32.3 5.5 × 104 25.9 0.80 3 0.5 30.2 8.4 × 103 27.5 0.91 4 1.0 22.0 1.5 × 103 20.9 0.95 -
扫一扫看文章
计量
- PDF下载量: 29
- 文章访问数: 7021
- HTML全文浏览量: 838

下载:
下载: