Citation: Sheng Weijian, Jin Cheng'an, Shan Shang, Jia Yixia, Gao Jianrong. Metal-Free Polychloromethylation/Cyclization of N-Aryl Acrylamides[J]. Chinese Journal of Organic Chemistry, 2015, 36(2): 325-329. doi: 10.6023/cjoc201509008
无金属催化N-芳基丙烯酰胺的多氯甲基化/环化反应
English
Metal-Free Polychloromethylation/Cyclization of N-Aryl Acrylamides
-
Key words:
- benzoyl peroxide
- / polychloromethylation
- / radical
- / oxindole
-
2-吲哚酮类化合物广泛存在于具有生物活性的天然产物及药物分子中, 在有机合成中具有较大的应用价值, 因此该类化合物的合成研究得到化学家们的广泛关注[1].近年来, 已经发展了一系列高效合成方法来获得2-吲哚酮类化合物.其中, 以N-芳基丙烯酰胺为原料来合成各种官能团化的吲哚酮类化合物的研究得到化学家的普遍关注[2], 特别是基于自由基历程, 通过自由基加成/环化串联反应来构筑官能团化的吲哚酮化合物已发展成为一种高效合成策略.基于这一策略, 各种金属催化(如Ag, Cu, Fe, Mn等)[3]和无金属催化[4]的新反应相继被报道.
氯仿(CHCl3)和二氯甲烷(CH2Cl2)是常见的溶剂, 同时也是很好的多氯甲基自由基源, 在过氧苯甲酰(BPO)[5]、过氧化二异丙苯(DCP)[6]等引发剂以及光催化剂作用下[7], 能选择性地产生多氯甲基自由基.我们设想以氯仿和二氯甲烷作为多氯甲基自由基源, 将产生的多氯甲基自由基与N-芳基丙烯酰胺反应, 通过自由基加成/环化过程合成多氯甲基取代的2-吲哚酮类化合物, 从而为官能化吲哚酮化合物的合成提供一种新方法.
1 结果与讨论
1.1 反应条件优化
首先, 我们选择N-甲基-N-苯基丙烯酰胺(1a)为模型底物, 以氯仿为溶剂并作为三氯甲基自由基源, 在80 ℃条件下对不同的氧化剂进行了筛选.如表 1所示, 以TBHP, DTBP, K2S2O8或分子氧为氧化剂时, 反应并不能很好地发生(Entries 1~4).令人高兴的是, 当使用BPO (含水25%)为氧化剂时, 反应顺利进行并以56%的分离收率获得目标产物2a, 而使用无水BPO时目标产物的收率并没有提高(Entry 6).考虑反应体系中可能生成苯甲酸并影响反应获得目标产物, 因此探索了不同的碱添加剂对反应的影响(表 1, Entries 7~10).发现添加K2CO3或K3PO4•3H2O不仅能显著提高反应速度, 且目标产物的收率也有明显提高, 其中在0.5 equiv.的K3PO4•3H2O下目标产物的收率可提高到70%.然而, NaOAc以及NEt3的添加未能提高反应收率, 底物浓度对反应也有明显影响.当氯仿溶剂的体积提高一倍时, 反应收率可进一步提高至80% (Entry 11), 而氯仿体积提高两倍时, 产物收率明显下降(Entry 12).此外, 对BPO的用量以及反应温度的优化并没有进一步提高反应收率(Entries 13~16).

Entry Oxidant (equiv.) Base (equiv.) CHCl3/mL Time/h Yield b/% 1 TBHP (2.5) — 3 24 <5, (35)f 2 DTBP (2.5) — 3 24 <5 3 K2S2O8 (2.5) — 3 24 0 4 O2 — 3 24 0 5 BPO (2.5) — 3 3 56 6 c BPO (2.5) — 3 3 52 7 BPO (2.5) K2CO3 (0.5) 3 3 60 8 BPO (2.5) K3PO4"3H2O (0.5) 3 2 70 9 BPO (2.5) NaOAc (0.5) 3 3 35 10 BPO (2.5) NEt3 (0.5) 3 5 51 11 BPO (2.5) K3PO4" 3H2O (0.5) 6 2 80 12 BPO (2.5) K3PO4"3H2O (0.5) 9 2 49 13 BPO (1.5) K3PO4"3H2O (0.5) 6 3 44 14 BPO (3.5) K3PO4"3H2O (0.5) 6 2 55 15 d BPO (2.5) K3PO4"3H2O (0.5) 6 24 0 16 e BPO (2.5) K3PO4"3H2O (0.5) 6 2 47 aReaction conditions: 1a (0.25 mmol, 1 equiv.), oxidant (2.5 equiv.), 80 ℃, under air, sealed tube; TBHP (70% aqueous), BPO (25% water).bIsolated yields. cAnhydrous BPO was used. d 60 ℃. e100 ℃. f110 ℃. 表 1 反应条件优化a
Table 1. Optimization of the reaction conditions1.2 底物范围的扩展
基于上述优化的反应条件, 我们对反应的底物范围进行了考察.如表 2所示, 一系列N-甲基-N-芳基丙烯酰胺底物均能在最优条件下顺利地与氯仿发生反应获得相应的目标产物.首先考察了酰胺氮原子上的保护基团R1, 发现不同的保护基对反应有较明显的影响.当R1为甲基、苯基和苄基时, 反应均能以良好的收率获得目标产物2a~2c (Entries 1~3);而当R1=H时, 反应不能发生(Entry 4).对N-甲基-N-芳基丙烯酰胺的芳环取代基R2进行考察, 发现氮原子对位的取代基无论是吸电子基还是供电子基, 反应均能顺利进行并获得较好的收率, 而吸电子基更加有利于反应(Entries 5~8);芳环邻位带有取代基Cl或Br时, 可能由于反应位阻的缘故, 仅获得中等收率的目标产物(Entries 9, 10, 14);而芳环间位双取代的丙烯酰胺底物也能很好地参与反应并以较好的收率获得目标产物2k~2m (Entries 11~13).进一步我们又对烯烃的R3基团进行了简单考察, 然而遗憾的是当R3=H时, 反应未能获得目标产物(Entry 15);而当R3为苯基时, 目标产物2p的收率也仅为30% (Entry 16).

Entry Product R1 R2 R3 Time/h Yield b /% 1 2a Me H Me 2 80 2 2b Ph H Me 1.5 83 3 2c Bn H Me 2 72 4 2d H H Me 30 0 5 2e Me 4-CN Me 3.5 79 6 2f Me 4-Cl Me 1.5 68 7 2g Me 4-Br Me 1.5 62 8 2h Me 4-CH3 Me 2 55 9 2i Me 2-Cl Me 2 51 10 2j Me 2-Br Me 2 46 11 2k Me 3, 5-Me2 Me 1.5 60 12 2l Me 3, 5-F2 Me 2.5 75 13 2m Me 3, 5-Cl2 Me 2 64 14 2n Me 4-Me-2-Br Me 4.5 42 15 2o Me H H 30 0 16 2p Me H Ph 24 30 aReaction conditions: 1 (0.25 mmol), BPO (benzoyl peroxide 75%, remainder water, 2.5 equiv.), K3PO4•3H2O (0.5 equiv.), CHCl3 (6.0 mL), 80 ℃, under air, sealed tube; bIsolated yields. 表 2 反应底物拓展a
Table 2. Substrate scope of N-arylacrylamides and CHCl3此外, 将上述最优条件应用至N-甲基-N-芳基丙烯酰胺与二氯甲烷的反应(表 3), 反应顺利进行并以中等到良好的收率获得二氯甲基化的2-吲哚酮化合物.

Entry Product R4 Time/h Yield b /% 1 3a H 2 77 2 3b 4-Cl 2 67 3 3c 4-Br 2 65 4 3d 4-CN 3.5 80 5 3e 3, 5-Cl2 3 69 6 3f 4-Me-6-Br 6 50 aReaction conditions: 1 (0.25 mmol), BPO (benzoyl peroxide 75%, remainder water, 2.5 equiv.), K3PO4•3H2O (0.5 equiv.), CH2Cl2 (6.0 mL), 80 ℃, under air, sealed tube; bIsolated yields. 表 3 N-芳基丙烯酰胺与二氯甲烷的反应a
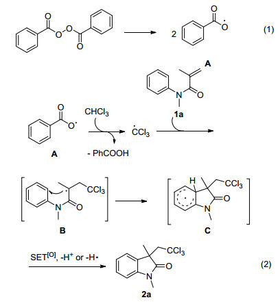
Table 3. Reaction of N-arylacrylamides with CH2Cl2根据相关文献报道[3i, 6], 我们提出了可能的反应机理, 如Scheme 1所示.首先BPO裂解产生自由基A, 进而攫取氯仿的氢产生三氯甲基自由基.随后, 三氯甲基自由基对N-甲基芳基丙烯酰胺(1a)的双键发生加成反应而生成中间体B, 中间体B经分子内自由基加成获得中间体C, 最后C通过单电子转移并失去氢质子或者直接被自由基A(或三氯甲基自由基)夺去氢自由基从而得到目标产物2a.
2 结论
发展了一种简单高效合成多氯甲基化2-吲哚酮的新方法.该方法以BPO为氧化剂, 氯仿或二氯甲烷为三氯甲基或二氯甲基自由基源, 无需金属催化剂, 以较好的收率获得多氯甲基化2-吲哚酮化合物, 底物适用范围较广.
3 实验部分
3.1 仪器与试剂
实验所用溶剂使用前均按照处理溶剂的标准方法进行. 1H NMR, 13C NMR均在Bruker AVANCE III 500 MHz型核磁共振仪上测定, 溶剂为CDCl3, 内标为TMS; 质谱数据的测定采用Agilent公司6210 LC/TOF质谱仪.柱层析使用200~300目硅胶, 展开剂为石油醚(60~90 ℃)和乙酸乙酯.所有实验药品均为市售分析纯级试剂.化合物1按文献[2b, 8]合成.
3.2 实验方法
在25 mL Schlenk瓶中依次称入1(0.25 mmol), BPO (0.625 mmol), K3PO4•3H2O (0.125 mmol), 通过注射器加入6 mL CHCl3(或CH2Cl2)后, 在密闭状态下80 ℃反应, 经TLC检测反应结束后, 冷却至室温.随后加入20 mL水, 用乙酸乙酯20 mL萃取二次, 将合并的有机相依次用10 mL水及10 mL饱和食盐水洗涤, 经无水硫酸钠干燥后过滤, 减压蒸馏去除溶剂后经柱层析分离纯化得到目标产物2或3.
1, 3-二甲基-3-(2, 2, 2-三氯乙基)吲哚-2-酮(2a)[3i]:产率80%. 1H NMR (500 MHz, CDCl3)δ: 7.38~7.36 (m, 1H), 7.32 (td, J=7.8, 1.2 Hz, 1H), 7.08 (td, J=7.6, 1.0 Hz, 1H), 6.89 (d, J=7.8 Hz, 1H), 3.71 (d, J=15.3 Hz, 1H), 3.35 (d, J=15.3 Hz, 1H), 3.25 (s, 3H), 1.41 (s, 3H).
1-苯基-3-甲基-3-(2, 2, 2-三氯乙基)吲哚-2-酮(2b):产率83%. 1H NMR (500 MHz, CDCl3)δ: 7.54 (td, J=6.6, 1.9 Hz, 2H), 7.44~7.41 (m, 4H), 7.25 (td, J=7.8, 1.3 Hz, 1H), 7.12 (td, J=7.6, 1.0 Hz, 1H), 6.88 (d, J=7.9 Hz, 1H), 3.81 (d, J=15.4 Hz, 1H), 3.44 (d, J=15.4 Hz, 1H), 1.54 (s, 3H); 13C NMR (125 MHz, CDCl3)δ: 177.8, 143.3, 134.6, 129.6, 129.4, 128.4, 128.1, 126.3, 125.9, 122.4, 109.8, 96.3, 60.2, 48.2, 27.4; HRMS (ESI) calcd for C17H14Cl3NO (M+H)+ 354.0219, found 354.0217.
1-苄基-3-甲基-3-(2, 2, 2-三氯乙基)吲哚-2-酮(2c)[3i]:产率72%. 1H NMR (500 MHz, CDCl3)δ: 7.38 (dd, J=7.5, 0.7 Hz, 1H), 7.36~7.30 (m, 4H), 7.29~7.27 (m, 1H), 7.22 (td, J=7.8, 1.2 Hz, 1H), 7.05 (td, J=7.6, 0.9 Hz, 1H), 6.84 (d, J=7.9 Hz, 1H), 5.00 (d, J=15.5 Hz, 1H), 4.90 (d, J=15.5 Hz, 1H), 3.77 (d, J=15.3 Hz, 1H), 3.40 (d, J=15.3, 1H), 1.46 (s, 3H).
1, 3-二甲基-5-氰基-3-(2, 2, 2-三氯乙基)吲哚-2-酮(2e)[3i]:产率79%. 1H NMR (500 MHz, CDCl3)δ: 7.66 (dd, J=8.1, 1.6 Hz, 1H), 7.63 (d, J=1.4 Hz, 1H) 6.97 (d, J=8.2 Hz, 1H), 3.73 (d, J=15.4 Hz, 1H), 3.38 (d, J=15.4 Hz, 1H), 3.28 (s, 3H), 1.44 (s, 3H).
1, 3-二甲基-5-氯-3-(2, 2, 2-三氯乙基)吲哚-2-酮(2f)[3i]:产率68%. 1H NMR (500 MHz, CDCl3)δ: 7.49 (d, J=2.0 Hz, 1H), 7.45 (dd, J=8.3, 1.9 Hz, 1H), 6.77 (d, J=8.3 Hz, 1H), 3.70 (d, J=15.4 Hz, 1H), 3.32 (d, J=15.4 Hz, 1H), 3.23 (s, 3H), 1.41 (s, 3H).
1, 3-二甲基-5-溴-3-(2, 2, 2-三氯乙基)吲哚-2-酮(2g)[3i]:产率62%. 1H NMR (500 MHz, CDCl3)δ: 7.35 (d, J=2.0 Hz, 1H), 7.30 (dd, J=8.3, 2.1 Hz, 1H), 6.82 (d, J=8.3 Hz, 1H), 3.71 (d, J=15.4 Hz, 1H), 3.33 (d, J=15.3 Hz, 1H), 3.24 (s, 3H), 1.41 (s, 3H).
1, 3, 5-三甲基-3-(2, 2, 2-三氯乙基)吲哚-2-酮(2h)[3i]:产率55%. 1H NMR (500 MHz, CDCl3)δ: 7.18 (d, J=0.45 Hz, 1H), 7.12 (dd, J=7.9, 0.8 Hz, 1H), 6.78 (d, J=7.9 Hz, 1H), 3.80 (d, J=15.3 Hz, 1H), 3.33 (d, J=15.3 Hz, 1H), 3.23 (s, 3H), 2.35 (s, 3H), 1.39 (s, 3H).
1, 3-二甲基-7-氯-3-(2, 2, 2-三氯乙基)吲哚-2-酮(2i):产率51%. 1H NMR (500 MHz, CDCl3)δ: 7.28 (s, 1H), 7.24 (d, J=7.8 Hz, 1H), 6.98 (t, J=7.8 Hz, 1H), 3.70 (d, J=15.3 Hz, 1H), 3.62 (s, 3H), 3.33 (d, J=15.3 Hz, 1H), 1.40 (s, 3H); 13C NMR (125 MHz, CDCl3)δ: 178.8, 139.3, 132.4, 130.8, 124.1, 122.7, 115.8, 95.9, 60.1, 47.7, 30.0, 27.1; HRMS (ESI) calcd for C12H11Cl4NO (M+H)+ 325.9673, found 325.9676.
1, 3-二甲基-7-溴-3-(2, 2, 2-三氯乙基)吲哚-2-酮(2j):产率46%. 1H NMR (500 MHz, CDCl3)δ: 7.43 (dd, J=8.2, 1.1 Hz, 1H), 7.28 (dd, J=7.4, 1.1 Hz, 1H), 6.92 (t, J=7.5 Hz, 1H), 3.71 (d, J=15.3 Hz, 1H), 3.63 (s, 3H), 3.33 (d, J=15.3 Hz, 1H), 1.40 (s, 3H); 13C NMR (125 MHz, CDCl3)δ: 178.9, 140.8, 134.2, 132.7, 124.6, 123.1, 102.7, 95.9, 60.1, 47.7, 30.0, 27.1; HRMS (ESI) calcd for C12H11BrCl3NO (M+H)+ 369.9168, found 369.9166.
1, 3, 4, 6-四甲基-3-(2, 2, 2-三氯乙基)吲哚-2-酮(2k)[3i]:产率60%. 1H NMR (500 MHz, CDCl3)δ: 6.66 (s, 1H), 6.57 (s, 1H), 3.63 (d, J=15.4 Hz, 1H), 3.46 (d, J=15.3 Hz, 1H), 3.21 (s, 3H), 2.40 (s, 3H), 2.36 (s, 3H), 1.45 (s, 3H).
1, 3-二甲基-4, 6-二氟-3-(2, 2, 2-三氯乙基)吲哚-2-酮(2l):产率75%. 1H NMR (500 MHz, CDCl3)δ: 6.49 (m, 2H), 3.63 (d, J=15.2 Hz, 1H), 3.44 (d, J=15.2 Hz, 1H), 3.22 (s, 3H), 1.47 (s, 3H); 13C NMR (125 MHz, CDCl3)δ: 178.3, 164.1 (dd, JC—F=246.5, 13.0 Hz), 159.6 (dd, JC—F=247.2, 14.1 Hz), 145.8 (t, JC—F=13.3 Hz), 111.3 (q, JC—F=3.3 Hz), 97.8 (t, JC—F=25.6 Hz), 95.9, 93.7 (q, JC—F=3.5 Hz), 58.9, 46.9, 27.1, 24.6; HRMS (ESI) calcd for C12H10Cl3F2NO (M+H)+ 327.9874, found 327.9872.
1, 3-二甲基-4, 6-二氯-3-(2, 2, 2-三氯乙基)吲哚-2-酮(2m):产率64%. 1H NMR (500 MHz, CDCl3)δ: 7.02 (d, J=1.7 Hz, 1H), 6.81 (d, J=1.7 Hz, 1H), 3.71 (d, J=15.2 Hz, 1H), 3.54 (d, J=15.3 Hz, 1H), 3.22 (s, 3H), 1.54 (s, 3H); 13C NMR (125 MHz, CDCl3)δ: 177.8, 145.8, 135.3, 132.9, 125.2, 123.2, 107.9, 95.9, 57.6, 48.6, 26.9, 22.9; HRMS (ESI) calcd for C12H10Cl5NO (M+H)+ 359.9283, found 359.9283.
1, 3, 5-三甲基-7-溴-3-(2, 2, 2-三氯乙基)吲哚-2-酮(2n)[3i]:产率42%. 1H NMR (500 MHz, CDCl3)δ: 7.24 (s, 1H), 7.08 (s, 1H), 3.69 (d, J=15.3 Hz, 1H), 3.60 (s, 3H), 3.30 (d, J=15.3 Hz, 1H), 2.30 (s, 3H), 1.39 (s, 3H).
1-甲基-3-苯基-3-(2, 2, 2-三氯乙基)吲哚-2-酮(2p)[3i]:产率30%. 1H NMR (500 MHz, CDCl3)δ: 7.52 (dd, J=7.5, 0.68 Hz, 1H), 7.42~7.39 (m, 3H), 7.34~7.28 (m, 3H), 7.15 (td, J=7.6, 1.0 Hz, 1H), 6.95 (d, J=7.9 Hz, 1H), 4.27 (d, J=15.2 Hz, 1H), 3.74 (d, J=15.3 Hz, 1H), 3.24 (s, 3H).
1, 3-二甲基-3-(2, 2, -二氯乙基)吲哚-2-酮(3a)[3i]:产率77%. 1H NMR (500 MHz, CDCl3)δ: 7.33 (td, J=7.7, 0.8 Hz, 1H), 7.21 (d, J=7.1 Hz, 1H), 7.11 (t, J=7.5 Hz, 1H), 6.89 (d, J=7.8 Hz, 1H), 5.40 (dd, J=9.3, 4.2 Hz, 1H), 3.22 (s, 3H), 3.05 (dd, J=14.9, 9.3 Hz, 1H), 2.72 (dd, J=14.9, 4.2 Hz, 1H), 1.41 (s, 3H).
1, 3-二甲基-5-氯-3-(2, 2, -二氯乙基)吲哚-2-酮(3b)[3i]:产率67%. 1H NMR (500 MHz, CDCl3)δ: 7.44 (dd, J=8.3, 2.0 Hz, 1H), 7.32 (d, J=2.0 Hz, 1H), 6.76 (d, J=8.3 Hz, 1H), 5.42 (dd, J=9.1, 4.4 Hz, 1H), 3.19 (s, 3H), 3.03 (dd, J=14.9, 9.1 Hz, 1H), 2.69 (dd, J=14.9, 4.5 Hz, 1H), 1.39 (s, 3H).
1, 3-二甲基-5-溴-3-(2, 2, -二氯乙基)吲哚-2-酮(3c)[3i]:产率65%. 1H NMR (500 MHz, CDCl3)δ: 7.31 (dd, J=8.3, 2.1 Hz, 1H), 7.20 (d, J=2.1 Hz, 1H), 6.81 (d, J=8.3 Hz, 1H), 5.44 (dd, J=9.0, 4.5 Hz, 1H), 3.21 (s, 3H), 3.04 (dd, J=14.9, 9.0 Hz, 1H), 2.68 (dd, J=14.9, 4.5 Hz, 1H), 1.39 (s, 3H).
1, 3-二甲基-5-氰基-3-(2, 2, -二氯乙基)吲哚-2-酮(3d)[3i]:产率80%. 1H NMR (500 MHz, CDCl3)δ: 7.67 (dd, J=8.2, 1.6 Hz, 1H), 7.48 (d, J=1.5 Hz, 1H), 6.96 (d, J=8.2 Hz, 1H), 5.41 (dd, J=8.7, 4.9 Hz, 1H), 3.26 (s, 3H), 3.07 (dd, J=15.0, 8.7 Hz, 1H), 2.76 (dd, J=14.9, 4.9Hz, 1H), 1.43 (s, 3H).
1, 3-二甲基-4, 6-二氯-3-(2, 2-二氯乙基)吲哚-2-酮(3e):产率69%. 1H NMR (500 MHz, CDCl3)δ: 7.05 (d, J=1.6 Hz, 1H), 6.80 (d, J=1.7 Hz, 1H), 5.37 (dd, J=9.7, 4.1 Hz, 1H), 3.19 (s, 3H), 3.12 (dd, J=14.8, 4.1 Hz, 1H), 3.02 (dd, J=14.8, 9.7 Hz, 1H), 1.48 (s, 3H); 13C NMR (125 MHz, CDCl3)δ: 178.5, 146.2, 135.4, 130.9, 125.9, 123.0, 108.1, 69.7, 48.4, 47.9, 26.8, 22.7; HRMS (ESI) calcd for C12H12Cl4NO (M+H)+ 325.9673, found 325.9669.
1, 3, 5-三甲基-7-溴-3-(2, 2-二氯乙基)吲哚-2-酮(3f)[3i]:产率69%. 1H NMR (400 MHz, CDCl3)δ: 7.25 (d, J=0.8 Hz, 1H), 6.92 (d, J=0.9 Hz, 1H), 5.42 (dd, J=9.2, 4.3 Hz, 1H), 3.58 (s, 3H), 3.03 (dd, J=14.8, 9.2 Hz, 1H), 2.66 (dd, J=14.8, 4.4 Hz, 1H), 2.33 (s, 3H), 1.38 (s, 3H).
辅助材料(Supporting Information)化合物的核磁表征谱图和质谱.这些材料可以免费从本刊网站(http://sioc-journal.cn/)上下载.
-
-
[1]
For reviews, see:
(a) Jensen, B. S. CNS Drug Rev. 2002, 8, 353.
(b) Galliford, C. V.; Scheidt, K. A. Angew. Chem., Int. Ed. 2007, 46, 8748.
(c) Singh, G. S.; Desta, Z. Y. Chem. Rev. 2012, 112, 6104.
(d) Trost, B. M.; Xie, J.; Sieber, J. D. J. Am. Chem. Soc. 2011, 133, 20611.
(e) Zhou, F.; Liu, Y.-L.; Zhou, J. Adv. Synth. Catal. 2010, 352, 1381. -
[2]
For reviews, see:
(a) Wu, T.; Mu, X.; Liu, G. Angew. Chem., Int. Ed. 2011, 50, 12578.
(b) Mu, X.; Wu, T.; Wang, H.-Y.; Guo, Y.-L.; Liu, G. J. Am. Chem. Soc. 2012, 134, 878. -
[3]
For Ag-catalyzed radical cascade synthesis of oxindoles, see:
(a) Li, Y.-M.; Sun, M.; Wang, H.-L.; Tian, Q.-P.; Yang, S.-D. Angew. Chem., Int. Ed. 2013, 52, 3972.
(b) Wang, H.; Guo, L.-N.; Duan, X.-H. Adv. Synth. Catal. 2013, 355, 2222.
(c) Yuan, Y. Z.; Shen, T.; Wang, K.; Jiao, N. Chem. Asian J. 2013, 8, 2932.
(d) Li, Y.-N.; Wang, J.-J.; Wei, X.-H.; Yang, S.-D. Chin. J. Org. Chem. 2015, 35, 638 (in Chinese).
(李永红, 王君姣, 魏小红, 杨尚东, 有机化学, 2015, 35, 638.) For Cu-catalyzed radical cascade synthesis of oxindoles, see:
(e) Li, Z.-J.; Zhang, Y.; Zhang, L.-Z.; Liu, Z.-Q. Org. Lett. 2014, 16, 382.
(f) Li, J.; Wang, Z.-G.; Wu, N.-J.; Gao, G.; You, J.-S. Chem. Commun. 2014, 50, 15049.
(g) Xu, Z.-B.; Yan, C.-X.; Liu, Z.-Q. Org. Lett. 2014, 16, 5670. For Fe-catalyzed radical cascade synthesis of oxindoles, see: (h) Wei, W.-T.; Zhou, M.-B.; Fan, J.-H.; Liu, W.; Song, R.-J.; Liu, Y.; Hu, M.; Xie, P.; Li, J.-H. Angew. Chem., Int. Ed. 2013, 52, 3638.
(i) Lu, M.-Z.; Loh, T.-P. Org. Lett. 2014, 16, 4698.
(j) Shen, T.; Yuan, Y.; Song, S.; Jiao, N. Chem. Commun. 2014, 50, 4115. For Mn-catalyzed radical cascade synthesis of oxindoles, see: (k) Li, X.-Q.; Xu, J.; Gao, Y.-Z.; Fang, H.; Tang, G.; Zhao, Y.-F. J. Org. Chem. 2015, 80, 2621. -
[4]
For the metal-free oxidative difunctionalization of alkenes leading to oxindoles via a radical process, see:
(a) Wu, T.; Zhang, H.; Liu, G. Tetrahedron 2012, 68, 5229.
(b) Zhou, M.-B.; Song, R.-J.; Ouyang, X.-H.; Liu, Y.; Wei, W.-T.; Deng, G.-B.; Li, J.-H. Chem. Sci. 2013, 4, 2690.
(c) Meng, Y.; Guo, L.-N.; Wang, H.; Duan, X.-H. Chem. Commun. 2013, 49, 7540.
(d) Matcha, K.; Narayan, R.; Antonchick, A. P. Angew. Chem., Int. Ed. 2013, 52, 7985.
(e) Li, X.; Xu, X.; Hu, P.; Xiao, X.; Zhou, C. J. Org. Chem. 2013, 78, 7343.
(f) Shen, T.; Yuan Y.-Z.; Jiao, N. Chem. Commun. 2014, 50, 554.
(g) Li, Y. M.; Shen, Y. H.; Chang, K. J.; Yang, S. D. Tetrahedron 2014, 70, 1991. -
[5]
Dneprovskii, A. S.; Kasatochkin, A. N.; Boyarskii, V. P.; Ermoshkin, A. A.; Yakovlev, A. A. Russ. J. Org. Chem. 2006, 42, 1120.
(b) Ashby, E. C.; Coleman, D. J. Org. Chem. 1987, 52, 4554. -
[6]
Tian, Y.-F., Liu, Z.-Q. RSC Adv. 2014, 4, 64855. doi: 10.1039/C4RA12032A
-
[7]
Liu, Y.; Zhang, J. L.; Song, R. J.; Li, J. H. Org. Chem. Front. 2014, 1, 1289. doi: 10.1039/C4QO00251B
-
[8]
A. Pinto, Y. Jia, L. Neuville, J. Zhu, Chem. Eur. J. 2007, 13, 961.
(b) Xie, J.; Xu, P.; Li, H.; Xue, Q.; Jin, H.; Cheng, Y.; Zhu, C. Chem. Commun. 2013, 49, 5672.
(c) Ayitou, A. A.-L.; Sivaguru, J. Chem. Commun. 2011, 47, 2568.
-
[1]
-
表 1 反应条件优化a
Table 1. Optimization of the reaction conditions

Entry Oxidant (equiv.) Base (equiv.) CHCl3/mL Time/h Yield b/% 1 TBHP (2.5) — 3 24 <5, (35)f 2 DTBP (2.5) — 3 24 <5 3 K2S2O8 (2.5) — 3 24 0 4 O2 — 3 24 0 5 BPO (2.5) — 3 3 56 6 c BPO (2.5) — 3 3 52 7 BPO (2.5) K2CO3 (0.5) 3 3 60 8 BPO (2.5) K3PO4"3H2O (0.5) 3 2 70 9 BPO (2.5) NaOAc (0.5) 3 3 35 10 BPO (2.5) NEt3 (0.5) 3 5 51 11 BPO (2.5) K3PO4" 3H2O (0.5) 6 2 80 12 BPO (2.5) K3PO4"3H2O (0.5) 9 2 49 13 BPO (1.5) K3PO4"3H2O (0.5) 6 3 44 14 BPO (3.5) K3PO4"3H2O (0.5) 6 2 55 15 d BPO (2.5) K3PO4"3H2O (0.5) 6 24 0 16 e BPO (2.5) K3PO4"3H2O (0.5) 6 2 47 aReaction conditions: 1a (0.25 mmol, 1 equiv.), oxidant (2.5 equiv.), 80 ℃, under air, sealed tube; TBHP (70% aqueous), BPO (25% water).bIsolated yields. cAnhydrous BPO was used. d 60 ℃. e100 ℃. f110 ℃. 表 2 反应底物拓展a
Table 2. Substrate scope of N-arylacrylamides and CHCl3

Entry Product R1 R2 R3 Time/h Yield b /% 1 2a Me H Me 2 80 2 2b Ph H Me 1.5 83 3 2c Bn H Me 2 72 4 2d H H Me 30 0 5 2e Me 4-CN Me 3.5 79 6 2f Me 4-Cl Me 1.5 68 7 2g Me 4-Br Me 1.5 62 8 2h Me 4-CH3 Me 2 55 9 2i Me 2-Cl Me 2 51 10 2j Me 2-Br Me 2 46 11 2k Me 3, 5-Me2 Me 1.5 60 12 2l Me 3, 5-F2 Me 2.5 75 13 2m Me 3, 5-Cl2 Me 2 64 14 2n Me 4-Me-2-Br Me 4.5 42 15 2o Me H H 30 0 16 2p Me H Ph 24 30 aReaction conditions: 1 (0.25 mmol), BPO (benzoyl peroxide 75%, remainder water, 2.5 equiv.), K3PO4•3H2O (0.5 equiv.), CHCl3 (6.0 mL), 80 ℃, under air, sealed tube; bIsolated yields. 表 3 N-芳基丙烯酰胺与二氯甲烷的反应a
Table 3. Reaction of N-arylacrylamides with CH2Cl2

Entry Product R4 Time/h Yield b /% 1 3a H 2 77 2 3b 4-Cl 2 67 3 3c 4-Br 2 65 4 3d 4-CN 3.5 80 5 3e 3, 5-Cl2 3 69 6 3f 4-Me-6-Br 6 50 aReaction conditions: 1 (0.25 mmol), BPO (benzoyl peroxide 75%, remainder water, 2.5 equiv.), K3PO4•3H2O (0.5 equiv.), CH2Cl2 (6.0 mL), 80 ℃, under air, sealed tube; bIsolated yields. -
扫一扫看文章
计量
- PDF下载量: 0
- 文章访问数: 76
- HTML全文浏览量: 4

下载:
下载: