Citation: Li Pengcheng, Weng Guodong, Zhang Yongdong, Zhang Xingxian. A Highly Efficient Paal-Knorr Synthesis of Chiral Pyrrole Derivatives Catalyzed by MgI2[J]. Chinese Journal of Organic Chemistry, 2015, 36(2): 364-369. doi: 10.6023/cjoc201505041
二碘化镁催化Paal-Knorr反应合成手性吡咯衍生物的方法
-
关键词:
- 2, 5-己二酮
- / 手性氨基酸酯
- / 二碘化镁
- / Paal-Knorr反应
- / 手性吡咯衍生物
English
A Highly Efficient Paal-Knorr Synthesis of Chiral Pyrrole Derivatives Catalyzed by MgI2
-
吡咯衍生物是一类重要的具有显著生物活性的化合物[1], 同时也是天然产物和杂环化合物合成的重要中间体[2, 3](如维生素B12、胆色素、血红素、叶绿素、生物碱等化合物都包含有吡咯片段[4]), 很多合成得到的包含有吡咯片段的化合物都表现出了一定的抗菌[5]、抗病毒[6]以及抗肿瘤[7]生物活性.在氮原子上具有手性取代的吡咯衍生物具有显著的生物活性, 这些吡咯衍生物在合成与其生物活性高度相关的化合物中都是极具潜力的活性片段.
吡咯衍生物已有很多成熟的合成方法, 包括共轭加成[8]、Hantzsch合成法[9]、1, 3-二极环加成反应[10]、过渡金属催化环合反应[11]、aza-Wittig反应[12]、二炔烃在金属钛催化下的氢胺化反应[13]、多组分反应[14]以及其他很多合成方法[15].在这些合成方法中, Paal-Knorr反应仍然是最重要、最简便的方法之一, 它由伯胺和1, 4-二酮进行环合反应, 最终得到N-取代吡咯衍生物.
近年来报道了诸多Lewis酸, 如Ti(Oi-Pr)4[16], ZrO-Cl2·8H2O[17], Sc(OTf)3[18], Bi(NO3)3·5H2O[19], ZrCl4[20], BiCl3/SiO2[21], InCl3[22]和FeCl3[23]催化的伯胺和1, 4-二酮的Paal-Knorr环合反应, 但上述方法存在一定的局限性, 如反应条件苛刻、底物通适性不好以及容易在杂环母核上发生多种取代副反应.因此, 寻找一种反应条件温和、高效、高选择性的Paal-Knorr反应催化剂来合成N-取代吡咯衍生物变得尤为迫切. Lewis酸性镁催化剂已广泛应用于C—C键的形成以及官能团转化的有机化学反应中[24], 论文首次研究二碘化镁催化的手性氨基酸甲酯与2, 5-己二酮的Paal-Knorr缩合反应, 高产率、高立体选择性地合成了多种手性吡咯衍生物, 为制备新型结构手性吡咯衍生物提供了一条新途径(Eq. 1).
1 结果与讨论
1.1 二碘化镁催化2, 5-己二酮与手性氨基酸酯的Paal-Knorr反应
在以往的研究中, 我们已经证实MgI2能非常高效地催化1, 4-二酮与各类伯胺的Paal-Knorr反应[25], 在此, 我们将进一步研究手性氨基酸中伯胺官能团与2, 5-己二酮的Paal-Knorr反应, 以期获得具有光学活性的吡咯衍生物.由于氨基酸极性较大, 在反应溶剂乙腈中几乎不溶解, 在实验中需要将氨基酸在二氯亚砜和甲醇中酯化生成氨基酸甲酯盐酸盐, 然后在三乙胺的存在下进行MgI2催化的Paal-Knorr反应, 结果如表 1所示.实验结果表明, L-丙氨酸甲酯(Entry 1)、D-丙氨酸甲酯(Entry 2)、L-天冬氨酸二甲酯(Entry 3)和L-谷氨酸二甲酯(Entry 4)在MgI2催化体系中反应活性良好, 产率较高且易于提纯. L-苯丙氨酸甲酯(Entry 5)、L-苯甘氨酸甲酯(Entry 6)和D-苯甘氨酸甲酯(Entry 7)可能由于其底物结构的空间位阻较大, 取得中等反应收率.
尤其值得注意的是, 对于空间位阻较大的L-缬氨酸甲酯(Entry 8), 其反应收率较低.由此可见, MgI2催化的Paal-Knorr反应中, 随着氨基邻位基团空间位阻的增大, 反应速度和反应收率随之降低.另外, 含有杂环的氨基酸L-组氨酸甲酯(Entry 9)同样能取得良好的反应收率.在L-赖氨酸甲酯中(Entry 10), 由于其结构中含有两个氨基, 实验发现, 在过量的2, 5-己二酮存在下, 几乎以定量的收率生成双吡咯化合物, 且纯度高.研究结果表明, 不管是L-氨基酸甲酯还是D-氨基酸甲酯, 其与2, 5-己二酮的Paal-Knorr反应, 不仅能取得高的反应收率, 而且在反应过程中产物的绝对构型保留, 不会发生消旋化.遗憾的是, L-苯甘氨酸甲酯和D-苯甘氨酸甲酯在Paal-Knorr反应中发生了消旋化现象, 得到的吡咯化合物基本没有手性含量. L-组氨酸甲酯衍生得到的手性吡咯产物也有部分发生消旋化, 手性含量有所降低.而L-丝氨酸甲酯(Entry 11)和L-半胱氨酸甲酯(Entry 12)在此催化体系下则不发生Paal-Knorr反应, 推测可能受其底物结构中羟基和巯基的影响.
表 1
MgI2催化2, 5-己二酮与手性氨基酸甲酯的Paal-Knorr反应
Table 1.
Paal-Knorr condensation of 2, 5-hexadione with various amino acid methyl esters catalyzed by MgI2
Entry Substrate Target structure Product Time/h Yielda/% 1 

2a 2 95 2 

2b 2 97 3 

2c 3 82 4 

2d 3 95 5 

2e 7 75 6 

2f 7 71 7 

2g 7 77 8 

2h 12 50 9 

2i 4 81 10 

2j 4 98 11 

2k 12 N.R.b 12 

2l 12 N.R.b a Isolated yield by silica gel flash chromatography. b No reaction was occurred. 表 1 MgI2催化2, 5-己二酮与手性氨基酸甲酯的Paal-Knorr反应
Table 1. Paal-Knorr condensation of 2, 5-hexadione with various amino acid methyl esters catalyzed by MgI21.2 MgI2催化的Paal-Knorr反应机理
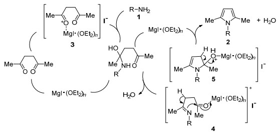
我们对MgI2催化的Paal-Knorr反应机理进行了初步的推测, 如Scheme 1所示.首先MgI2与2, 5-己二酮中的羰基氧原子进行配位, 羰基得到活化, 然后与伯胺进行亲核加成消除反应, 得到中间体4, 再次被MgI2活化以相同的方式发生分子内亲核加成反应生成过渡中间体5, 5发生芳构化得到吡咯衍生物2, 同时催化剂MgI2得到再生, 完成一个催化循环.
2 结论
本文报道了MgI2催化的2, 5-己二酮与多种手性氨基酸酯经Paal-Knorr缩合反应合成手性吡咯衍生物的新方法.研究结果显示, 仅在催化量的MgI2作用下, 多种手性氨基酸酯都可以和2, 5-己二酮高产率地合成相应的手性吡咯衍生物, 且不发生消旋化.该方法以价廉易得的MgI2为催化剂, 避免了使用文献中强酸性、高温等苛刻反应条件或使用价格昂贵的三氟甲磺酸盐催化剂, 具有操作简便、反应条件温和、收率高, 立体选择性好且环境友好等优点, 为寻找具有新型结构手性吡咯化合物及其生物活性研究奠定了基础.
3 实验部分
3.1 仪器与试剂
瑞士Bruker公司ANANCE Ⅲ核磁共振仪, 500 MHz, 溶剂CDCl3, 内标TMS; 美国Waters公司气相色谱-飞行时间质谱仪, EI源; 美国Agilent公司Agilent 6210液相色谱质谱联用仪, ESI源(直接进样); 傅立叶变换显微红外光谱仪(美国Thermo); BUCHI B-540熔点测定仪, 温度未校正.所有反应试剂均为市售分析纯, 购买后未经处理直接使用; 薄层色谱板为青岛海洋公司GF254硅胶板.
3.2 二碘化镁催化的Paal-Knorr反应一般方法
称取氨基酸甲酯盐酸盐(6 mmol)于50 mL单口瓶中, 加15 mL乙腈加热溶解, 磁力搅拌下滴加过量Et3N (2i & 2j: 15 mmol, 其他: 9 mmol), 搅拌5 min后, 滴加2, 5-己二酮(5 mmol)和3 mol%二碘化镁乙醚溶液(0.15 mmol), 75 ℃反应4~7 h (TLC监测反应).反应结束后, 减压蒸出乙腈, 加入乙酸乙酯, 抽滤除去固体, 滤液减压浓缩, 经硅胶柱层析纯化, 可得到纯品化合物2a~2j.
(S)-2-(2, 5-二甲基-1H-吡咯-1-基)丙酸甲酯(2a)[26]:黄色油状物; ee > 99% [HPLC测定, 手性OD柱[V(正己烷):V(异丙醇)=95:5, 1.0 mL/min, λ=254 nm]; Rf=0.58 [V(石油醚):V(乙酸乙酯)=10:1]. [α]D25-135 (c=1.0, CHCl3); lH NMR (500 MHz, CDCl3) δ: 1.70 (d, J=7.4 Hz, 3H), 2.26 (s, 6H), 3.81 (s, 3H), 4.92 (q, J=7.3 Hz, 1H), 5.86 (s, 2H).
(R)-2-(2, 5-二甲基-1H-吡咯-1-基)丙酸甲酯(2b):黄色固体; ee > 99% [HPLC测定, 手性OD柱[V(正己烷):V(异丙醇)=95:5, 1.0 mL/min, λ=254 nm]; Rf=0.38 [V(石油醚):V(乙酸乙酯)=10:1]. m.p. 35.5~37.0 ℃; [α]D25+133 (c=1.0, CHCl3); lH NMR (500 MHz, CDCl3) δ: 1.70 (d, J=7.3 Hz, 3H), 2.25 (s, 6H), 3.80 (s, 3H), 4.91 (q, J=7.3 Hz, 1H), 5.85 (s, 2H); 13C NMR (125 MHz, CDCL3) δ: 13.0, 17.3, 52.3, 106.2, 127.4, 171.4; FT-IR (KBr) v: 2950, 1744, 1579, 1522, 1401, 1223, 1114, 754 cm-1; EI-MS m/z: 181.1 (18), 167.0 (23), 151.1 (13), 149.0 (100), 134.1 (21), 123.1 (18), 95.1 (37), 77.1 (28); HRMS (EI) calcd for C10H15NO2 181.1103, found 181.1108.
(S)-2-(2, 5-二甲基-1H-吡咯-1-基)丁二酸二甲酯(2c):黄色固体; ee > 99%[HPLC测定, 手性OD柱[V(正己烷):V(异丙醇)=95:5, 1.0 mL/min, λ=254 nm]; Rf=0.53 [V(石油醚):V(乙酸乙酯)=3:1]. m.p. 236.0~238.2 ℃; [α]D25-8.55 (c=1.0, CHCl3); lH NMR (500 Hz, CDCl3) δ: 2.23 (s, 6H), 2.23 (d, J=6.1 Hz, 6H), 3.18 (dd, J=8.1, 16.7 Hz, 1H), 3.72 (s, 3H), 3.76 (s, 3H), 5.39 (dd, J=6.4, 7.8 Hz, 1H), 5.80 (s, 2H); 13C NMR (125 MHz, CDCl3) δ: 12.5, 29.4, 36.1, 51.7, 52.8, 77.0, 106.6, 127.7, 170.4; FT-IR (KBr) v: 2951, 2739, 2604, 2497, 1739, 1524, 1438, 1277, 757 cm-1; ESI-MS m/z: 239 [M]+; HRMS (ESI) calcd for C12H17NO4 239.1158, found 239.1155.
(S)-2-(2, 5-二甲基-1H-吡咯-1-基)戊二酸二甲酯(2d)[27]:黄色油状物; ee > 99% [HPLC测定, 手性OD柱[V(正己烷):V(异丙醇)=95:5, 1.0 mL/min, λ=254 nm]; Rf=0.36 [V(石油醚):V(乙酸乙酯)=3:1]. [α]D25-49.6 (c=0.5, CHCl3); lH NMR (500 MHz, CDCl3)δ: 2.15 (s, 6H), 2.20~2.29 (m, 3H), 2.52~2.59 (m, 1H), 3.64 (s, 3H), 3.73 (s, 3H), 4.86 (dd, J=5.8, 9.9 Hz, 1H), 5.77 (s, 2H).
(S)-2-(2, 5-二甲基-1H-吡咯-1-基)-3-苯丙酸甲酯(2e)[26]:黄色油状物; ee=93% [HPLC测定, 手性AD-H柱[V(正己烷):V(异丙醇)=80:20, 1.0 mL/min, λ=254 nm]; Rf=0.38 [V(石油醚):V(乙酸乙酯)=10:1]; [α]D25-155 (c=1.0, CHCl3); lH NMR (500 MHz, CDCl3)δ: 1.99 (s, 6H), 3.20 (dd, J=10.0, 14.0 Hz, 1H), 3.57 (dd, J=4.8, 10.0 Hz, 1H), 3.78 (s, 3H), 4.79 (dd, J=4.8, 10.0 Hz, 1H), 5.76 (s, 2H), 6.91~6.93 (m, 2H), 7.21~7.23 (m, 3H).
(RS)-2-(2, 5-二甲基-1H-吡咯-1-基)-2-苯乙酸甲酯(2f):黄色固体; Rf=0.35 [V(石油醚):V(乙酸乙酯)=15:1]. m.p. 73.0~74.9 ℃; [α]D25-10 (c=1.0, CHCl3); lH NMR (500 MHz, CDCl3) δ: 2.14 (s, 6H), 3.91 (s, 3H), 5.94 (s, 2H), 6.13 (s, 1H), 7.11~7.13 (m, 2H), 7.35~7.42 (m, 3H); 13C NMR (125 MHz, CDCl3) δ: 13.3, 52.8, 60.3, 106.8, 127.3, 127.9, 128.5, 128.9, 135.6, 170.1; FT-IR (KBr) v: 2951, 1752, 1522, 1499, 1399, 1301, 1205, 1010, 763, 697 cm-1; ESI-MS m/z: 244 [M+H]+; HRMS (ESI) calcd for C15H18NO2 [M+H]+ 244.1259, found 244.1244.
(RS)-2-(2, 5-二甲基-1H-吡咯-1-基)-2-苯乙酸甲酯(2g):黄色固体; Rf=0.33 [V(石油醚):V(乙酸乙酯)=15:1]. m.p. 71.4~72.8 ℃; [α]D25+8 (c=1.0, CHCl3); lH NMR (500 MHz, CDCl3) δ: 2.11 (s, 6H), 3.89 (s, 3H), 5.91 (s, 2H), 6.09 (s, 1H), 7.08~7.09 (m, 2H), 7.32~7.39 (m, 3H); 13C NMR (125 MHz, CDCl3) δ: 12.9, 52.5, 60.0, 106.4, 126.8, 127.6, 128.2, 128.5, 135.3, 169.8; FT-IR (KBr) v: 2960, 1740, 1512, 1480, 1362, 1225, 1020, 773, 685 cm-1. ESI-MS m/z: 244 [M+H]+; HRMS (ESI) calcd for C15H18NO2 [M+H]+ 244.1259, found 244.1249.
(S)-2-(2, 5-二甲基-1H-吡咯-1-基)-3-甲基丁酸甲酯(2h)[26]:白色固体; ee > 99% [HPLC测定, 手性AD-H柱[V(正己烷):V(异丙醇)=80:20, 1.0 mL/min, λ=254 nm]; Rf=0.46 [V(石油醚):V(乙酸乙酯)=10:1]. m.p. 82.3~84.7 ℃; lH NMR (500 MHz, CDCl3) δ: 0.67 (d, J=6.9 Hz, 3H), 1.13 (d, J=6.4 Hz, 3H), 2.24 (s, 6H), 3.72 (s, 3H), 4.22 (d, J=11.1 Hz, 1H), 5.78 (s, 2H).
(S)-2-(2, 5-二甲基-1H-吡咯-1-基)-3-(1H-咪唑-4-基)-丙酸甲酯(2i)[28]:棕色油状液体; ee=85% [HPLC测定, 手性OD柱[V(正己烷):V(异丙醇)=90:10, 1.0 mL/min, λ=254 nm]; Rf=0.43[V(石油醚):V(乙酸乙酯)=20:1]. [α]D25-60.3 (c=0.5, CHCl3); lH NMR (500 MHz, CDCl3) δ: 2.06 (d, J=6.3 Hz, 6H), 3.18 (dd, J=9.7, 15.1 Hz, 1H), 3.58 (dd, J=5.6, 15.1 Hz, 1H), 3.78 (s, 3H), 4.96 (dd, J=5.6, 9.4 Hz, 1H), 5.79 (s, 2H), 6.60 (s, 1H), 7.47 (s, 1H).
(S)-2, 6-二(2, 5-二甲基-1H-吡咯-1-基)己酸甲酯(2j):白色固体; ee > 99% [HPLC测定, 手性OD柱[V(正己烷):V(异丙醇)=90:10, 1.0 mL/min, λ=254 nm]; Rf=0.62 [V(石油醚):V(乙酸乙酯)=3:1]. m.p. 92.1~93.7 ℃; [α]D25-28.84 (c=0.5, CHCl3); lH NMR (500 MHz, CDCl3) δ: 1.34 (s, 1H), 1.49 (dd, J=5.3, 10.1 Hz, 1H), 1.73~1.80 (m, 1H), 2.34 (d, J=2.4 Hz, 12H), 2.40~2.45 (m, 1H), 3.81~23.86 (m, 2H), 4.80 (dd, J=5.6, 10.1 Hz, 1H), 5.91 (s, 2H), 5.96 (s, 2H); 13C NMR (125 MHz, CDCl3)δ: 12.2, 13.0, 23.5, 30.4, 30.7, 43.0, 52.2, 56.8, 104.9, 106.4, 126.8, 127.7, 171.0; FT-IR (KBr) v: 3105, 2954, 2933, 1742, 1519, 1435, 1401, 1234, 1122, 1060, 966, 759 cm-1; ESI-MS m/z: 317 [M+H]+; HRMS (ESI) calcd for C19H29N2O2 317.2151, found 317.2136.
辅助材料(Supporting Information) 化合物2a~2j的核磁共振氢谱及化合物2b, 2c, 2f, 2g & 2j的核磁共振碳谱谱图.这些材料可以免费从本刊网站(http://sioc-journal. cn/)上下载.
-
-
[1]
Demirb, A. S. Tetrahedron 2007, 63, 9746. doi: 10.1016/j.tet.2007.07.013
-
[2]
Boger, D. L.; Boyce, C. W.; Labrili, M. A.; Sehon, C. A.; Jin, Q. J. Am. Chem. Soc. 1999, 121, 54; doi: 10.1021/ja982078+
-
[3]
Thirumalairajan, S.; Pearce, B. M.; Thompson, A. Chem. Commun. 2010, 46, 1797. doi: 10.1039/b926045e
-
[4]
Ryzhkov, I. O.; Andreev, I. A.; Belov, G. M.; Kurkin, A. V.; Yurovskaya, M. A. Chem. Heterocycl. Compd. 2011, 47, 182. doi: 10.1007/s10593-011-0739-7
-
[5]
王子时, 叶汉韬, 肖丹, 马东升, 高金胜, 于颖慧, 侯广峰, 闫鹏飞, 有机化学, 2014, 34, 2057. doi: 10.6023/cjoc201404008Wang, Z.-S.; Ye, H.-T. Xiao, D.; Ma, D.-S.; Gao, J.-S.; Yu, Y.-H.; Hou, G.-F.; Yan, P.-F. Chin. J. Org. Chem. 2014, 34, 2057 (in Chinese). doi: 10.6023/cjoc201404008
-
[6]
Dyatkina, N. B.; Roberts, C. D.; Keicher, J. D.; Joshua, Y. D.; Nadherny, P.; Zhang, W.; Schmitz, U.; Kongpachith, A.; Fung, K.; Novikov, A. A.; Lou, L.; Velligan, M.; Khorlin, A. A.; Chen, M. S. J. Med. Chem. 2002, 45, 805. doi: 10.1021/jm010375a
-
[7]
Gupton, J. T. Top. Heterocycl. Chem. 2006, 2, 53.
-
[8]
Dieter, R. K.; Yu, H. Org. Lett. 2000, 2, 2283. doi: 10.1021/ol006050q
-
[9]
Palacios, F.; Aparico, D.; Santos, J. M.; Vicario, J. M. Tetrahedron 2001, 57, 1961. doi: 10.1016/S0040-4020(01)00033-3
-
[10]
Berree, F.; Marchand, E.; Morel, G. Tetrahedron Lett. 1992, 33, 6155. doi: 10.1016/S0040-4039(00)60030-8
-
[11]
Katritzky, A.; Jiang, J.; Steel, P. J. J. Org. Chem. 1994, 59, 4551. doi: 10.1021/jo00095a034
-
[12]
Katritzky, A.; Steel, P. J. J. Org. Chem. 1994, 59, 4551. doi: 10.1021/jo00095a034
-
[13]
Ramanathan, B.; Keith, A. J.; Armstrong, D.; Odom, A. L. Org. Lett. 2004, 6, 2957. doi: 10.1021/ol0489088
-
[14]
Iwasawa, N.; Maeyama, K.; Saitou, M. J. Am. Chem. Soc. 1997, 119, 1486. doi: 10.1021/ja962173n
-
[15]
Hantzsch, A. Chem. Ber. 1890, 23, 1474. (b) Broadbent, H. S.; Burnharm, W. S.; Olsen, R. K.; Sheely, R. M. J. Heterocycl. Chem. 1968, 5, 757. (c) Bayer, H. O.; Gotthardt, H.; Huisgen, R. Chem. Ber. 1970, 103, 2356. (d) Huisgen, R.; Gotthardt, H.; Bayer, H. O.; Schaefter, F. C. Chem. Ber. 1970, 103, 2611. (e) Cooney, J. V.; McEwen, W. E. J. Org. Chem. 1981, 46, 2570. (f) Arcadi, A.; Rossi, E. Tetrahedron 1998, 54, 15253. (g) Periasamy, M.; Srinivas, G.; Bharati, P. J. Org. Chem. 1999, 64, 4204. (h) Srinivas, R.; Thirupathi, B.; Kumar, J. K. Prashanth; Prasad, A. N.; Reddy, B. M. Curr. Org. Chem. 2012, 16, 2482. (i) Yue, M.; Liu, J.; Wang, Y.; Yuan, B. Chin. J. Org. Chem. 2014, 34, 190 (in Chinese). (岳闽敏, 刘巨艳, 王英, 袁斌.有机化学, 2014, 34, 190.) (j) Yuan, D.; Zeng, M.; Bai, C.; Cui, D.; Zhang, C. Chin. J. Org. Chem. 2014, 34, 1231 (in Chinese). (原东鹏, 曾明, 柏春美, 崔冬梅, 张辰, 有机化学, 2014, 34, 1231.) (k) Wu, C.; Zang, H.; Li, D.; Yu, N.; Cheng, B.; Yu, K. Chin. J. Org. Chem. 2013, 33, 2417 (in Chinese). (吴长春, 臧洪俊, 李大庆, 於年琴, 程博闻, 于楷, 有机化学, 2013, 33, 2417.)
-
[16]
Yu, S. X.; Quesne, P. W. L. Tetrahedron Lett. 1995, 36, 6205. doi: 10.1016/0040-4039(95)01250-L
-
[17]
Rahmatpour, A. Appl. Organomet. Chem. 2011, 25, 585. doi: 10.1002/aoc.v25.8
-
[18]
Chen, J.; Wu, H.; Zheng, Z.; Jin, C.; Zhang, X.; Su, W. Tetrahedron Lett. 2006, 47, 5383. doi: 10.1016/j.tetlet.2006.05.085
-
[19]
Banik, B. K.; Banik, I.; Renteria, M.; Dasgupta, S. K. Tetrahedron Lett. 2004, 45, 3417. doi: 10.1016/j.tetlet.2004.03.012
-
[20]
Zhang, Z.-H.; Li, J.-J.; Li, T.-S. Ultrason. Sonochem. 2008, 15, 673. doi: 10.1016/j.ultsonch.2008.02.008
-
[21]
Aghapoor, K.; Ebadi-Nia, L.; Mohsenzadeh, F. J. Organomet. Chem. 2012, 708, 25.
-
[22]
Shanthi, G.; Perumal, P. T. Tetrahedron Lett. 2009, 50, 3959. doi: 10.1016/j.tetlet.2009.04.089
-
[23]
Azizi, N.; Khajeh-Amiri, A.; Ghafuri, H. Synlett 2009, 2245.
-
[24]
张兴贤, 李卫东, 有机化学, 2003, 23, 1185. http://sioc-journal.cn/Jwk_yjhx/CN/abstract/abstract327478.shtmlZhang, X.-X.; Li, W.-D. Chin. J. Org. Chem. 2003, 23, 1185 (in Chinese). http://sioc-journal.cn/Jwk_yjhx/CN/abstract/abstract327478.shtml
-
[25]
Zhang, X.-X.; Weng, G.-D.; Zhang, Y.-D.; Li, P.-C. Tetrahedron 2015, 71, 2595. doi: 10.1016/j.tet.2015.03.035
-
[26]
Kashima, C.; Maruyama, T.; Harada, K.; Hibi, S.; Omote, Y. J. Chem. Res., Synop. 1988, 2, 62.
-
[27]
韩富根, 卢叶, 姬小明, 赵铭钦, 张晓蕴, 刘云, 有机化学, 2010, 30, 1080. http://sioc-journal.cn/Jwk_yjhx/CN/abstract/abstract339087.shtmlHan, F.-G.; Lu, Y.; Ji, X.-M.; Zhao, M.-Q.; Zhang, X.-Y.; Liu, Y. Chin. J. Org. Chem. 2010, 30, 1080 (in Chinese). http://sioc-journal.cn/Jwk_yjhx/CN/abstract/abstract339087.shtml
-
[28]
Santus, R.; Patterson, L. K.; Giraud, M.; Valla, A.; Lafontant, P.; Bazin, M. Free Radical Biol. Med. 1994, 16, 801 doi: 10.1016/0891-5849(94)90196-1
-
[1]
-
表 1 MgI2催化2, 5-己二酮与手性氨基酸甲酯的Paal-Knorr反应
Table 1. Paal-Knorr condensation of 2, 5-hexadione with various amino acid methyl esters catalyzed by MgI2
Entry Substrate Target structure Product Time/h Yielda/% 1 

2a 2 95 2 

2b 2 97 3 

2c 3 82 4 

2d 3 95 5 

2e 7 75 6 

2f 7 71 7 

2g 7 77 8 

2h 12 50 9 

2i 4 81 10 

2j 4 98 11 

2k 12 N.R.b 12 

2l 12 N.R.b a Isolated yield by silica gel flash chromatography. b No reaction was occurred. -
扫一扫看文章
计量
- PDF下载量: 0
- 文章访问数: 63
- HTML全文浏览量: 4

下载:
下载: